Let nr and nb be respectively the number of photons emitted by a red bulb and a blue bulb of equal power in a given time.
10-3 W of 5000 Å light is directed on a photoelectric cell. If the current in the cell is 0.16 mA, the percentage of incident photons which produce photoelectrons, is
If the frequency of light in a photoelectric experiment is doubled, the stopping potential will
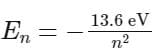
The stopping potential for the photo electrons emitted from a metal surface of work function 1.7eV is 10.4 V. Identify the energy levels corresponding to the transitions in hydrogen atom which will result in emission of wavelength equal to that of incident radiation for the above photoelectric effect
When a photon of light collides with a metal surface, number of electrons, (if any) coming out is
A point source of light is used in photoelectric effect. If the source is removed farther from the emitting metal, the stopping potential
A point source causes photoelectric effect from a small metal plate. Which of the following curves may represent the saturation photocurrent as a function of the distance between the source and the metal?
The maximum kinetic energy of photoelectrons emitted from a surface when photons of energy 6 eV fall on it is 4eV. The stopping potential is Volts is
Radiation of two photon energies twice and five times the work function of metal are incident sucessively on the metal surface. The ratio of the maximum velocity of photoelectrons emitted is the two cases will be
Cut off potentials for a metal in photoelectric effect for light of wavelength l1, l2 and l3 is found to be V1, V2 and V3 volts if V1, V2 and V3 are in Arithmetic Progression and l1, l2 and l3 will be
The energy released by the fission of one uranium atom is 200 MeV. The number of fissions required per second to produce 3.2 W of power is
If in a nuclear fission, a piece of uranium of mass 0.5 g is lost, then the energy obtained in kWh is
Which of the following are not emitted by a radioactive substance?
The half-life of Pa-218 is 3 minutes. What mass of a 16 g sample of Pa-218 will remain after 15 minutes?
Mp denotes the mass of a proton and Mn that of a neutron. A given nucleus of binding energy B contains Z protons and N neutrons. The mass M (N, Z) of the nucleus is given by
The circuit shown in the figure contains two diodes D1 and D2, each with a forward resistance of 50 ohms and infinite backward resistance. If the battery voltage is 6 V, the current (in amperes) through the 100 ohm resistance is

I is the current passing through a circular wire. If the radius of the wire is changed to twice, then what will be the current passing through the wire?
To obtain a p-type semiconductor germanium crystal, it must be doped with foreign atoms whose valency is
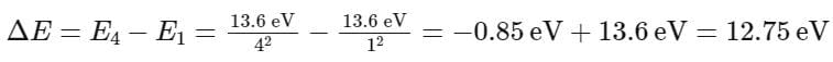
A monochromatic light is incident on a hydrogen sample in ground state. Hydrogen atoms absorb a fraction of light and subsequently emit radiation of six different wavelengths. The frequency of incident light is x × 1015 Hz. The value of x is ____________.
(Given h = 4.25 × 10-15 eVs)
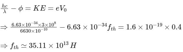
The stopping potential for photoelectrons emitted from a surface illuminated by light of wavelength 6630
is 0.42 V. If the threshold frequency is x × 1013 /s, where x is _________ (nearest integer).
(Given, speed light = 3 × 108 m/s, Planck's constant = 6.63 × 10−34 Js)
When light of frequency twice the threshold frequency is incident on the metal plate, the maximum velocity of emitted electron is v1. When the frequency of incident radiation is increased to five times the threshold value, the maximum velocity of emitted electron becomes v2. If v2 = x v1, the value of x will be __________.
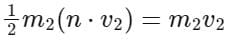
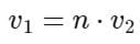
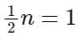
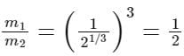
A nucleus disintegrates into two nuclear parts, in such a way that ratio of their nuclear sizes is 1: 21/3 Their respective speed have a ratio of n : 1. The value of n is __________.
A nucleus with mass number 242 and binding energy per nucleon as 7.6 Me V breaks into two fragment each with mass number 121. If each fragment nucleus has binding energy per nucleon as 8.1 MeV, the total gain in binding energy is _________MeV.
Choose the correct statement regarding the physical properties of carbonyl compound.
Ozonolysis of an organic compound gives formaldehyde as one of the products. This confirms the presence of:
Presence of unsaturation in organic compounds can be tested with:
Which of the following will not undergo aldol condensation?
359 docs|100 tests |