The energy required to remove the electron from a singly ionized Helium atom is 2.2 times the energy required to remove an electron from Helium atom. The total energy required to ionize the Helium atom completely is:
A solid sphere of mass 2 kg is resting inside a cube as shown in figure The cube is moving with a velocity
. Here t is time in seconds. All surfaces are smooth. The sphere is at rest with respect to the cube. What is the total force exerted by the sphere on the cube?

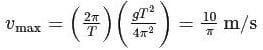
A block is resting on a piston which executes simple harmonic motion in vertical plane with a period of 2.0 s in vertical plane at an amplitude just sufficient for the block to separate from the piston. The maximum velocity of the piston is
Determine the electric field intensity at point P due to quadruple distribution shown in figure for r ≫ a

Two capacitors of capacitances 0.3μF and 0.6μF are connected in series across 6 volts. The ratio of energies stored in them will be
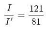
Two coherent sources of intensity ratio 100 : 1, interfere. What is the ratio of the intensity between the maxima and minima in the interference pattern?
A block of pure silicon at 300 K has a length of 10 cm and an area of 1.0 × 10−4 m2. If a battery of emf 2 V is connected across it, what is the electron current? The mobility of electrons is 0.14 m2 V−1 s−1 and their number density is 1.5 × 1016 m−3.
Assertion: The speed of sound in a gas is not affected by change in pressure provided the temperature of the gas remains constant.
Reason: The speed of sound is inversely proportional to the square root of the density of the gas.
Two identical blocks A and B are placed on two inclined planes as shown in diagram. Neglect air resistance and other friction

Read the following statements and choose the correct options.
Statements I : Kinetic energy of 'A' on sliding to J will be greater than the kinetic energy of B on falling to M.
Statements II : Acceleration of ' A ' will be greater than acceleration of ' B ' when both are released to slide on inclined plane
Statements III : Work done by external agent to move block slowly from position B to O is negative
The length, breadth and thickness of a rectangular sheet of metal are 4.234 m, 1.005 m, and 2.01 cm respectively. Give the volume of the sheet to correct significant figures.
A rod PQ of mass M and length L is hinged at end P. The rod is kept horizontal by a massless string tied to point Q as shown in the figure. When the string is cut, the initial angular acceleration of the rod is:
[2013]

A particle is projected with a velocity v, so that its range on a horizontal plane is twice the greatest height attained. If g is acceleration due to gravity, then its range is
A body starts from rest, the ratio of distances travelled by the body during 3rd and 4thseconds is :
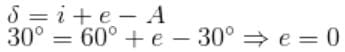
A ray of light is incident at an angle of 60° on one face of a prism of angle 30°. The emergent ray of light makes an angle of 30° with incident ray. The angle made by the emergent ray with second face of prism will be:
The diagram of a logic circuit is given below. The output F of the circuit is given by:

In the circuit shown in the Figure, cell is ideal and R2 = 100Ω. A voltmeter of internal resistance 200Ω reads V12 = 4 V and V23 = 6 V between the pair of points 1 - 2 and 2 - 3 respectively. What will be the reading of the voltmeter between the points 1 - 3.

The energy required to separate the typical middle mass nucleus 12050Sn into its constituent nucleons is:
(Mass of 12050Sn = 119.902199 amu, mass of proton = 1.007825 amu, and mass of neutron = 1.008665 amu)
The astronomical phenomenon when the planet Venus passes directly between the Sun and the earth is known as Venus transit. For two separate persons standing on the earth at points M and N, the Venus appears as black dots at points M' and N' on the Sun. The orbital period of Venus is close to 220 days. Assuming that both earth and Venus revolve on circular paths and taking distance MN = 1000 km, calculate the distance M'N' on the surface of the Sun.
[Take (2.75)1/3 = 1.4]

A straight wire of length L and radius a has a current I. A particle of mass m and charge q approaches the wire moving at a velocity v in a direction anti parallel to the current. The line of motion of the particle is at a distance r from the axis of the wire. Assume that r is slightly larger than a so that the magnetic field seen by the particle is similar to that caused by a long wire. Neglect end effects and assume that speed of the particle is high so that it crosses the wire quickly and suffers a small deflection θ in its path. Calculate θ.

In gravity free space, a bead of charge 1μC and mass 3mg is threaded on a rough rod of friction coefficient μ = 0.3. A magnetic field of magnitude 0.2 T exists perpendicular to the rod. The bead is projected along the rod with a speed of 4 m/s. How much distance (in m) will the bead cover before coming to rest?
A water barrel having water up to depth 'd' is placed on a table of height 'h'. A small hole is made on the wall of the barrel at its bottom. If the stream of water coming out of the hole falls on the ground at a horizontal distance 'R' from the barrel, then the value of 'd' is R^2/kh. what is k?
A reaction mixture containing H2, N2 and NH3 has partial pressures 2 atm,1 atm and 3 atm respectively at 725 K. If the value of Kp for the reaction, N2(g) + 3H2(g) ⇌ 2NH3(g) is 4.28 × 10−5 atm−2 at 725 K, in which direction the net reaction will go ?
If SO2 content in the atmosphere is 0.12ppm by volume, pH of rain water is (assume 100% ionisation of acid rain as monobasic acid)
Consider the following reaction

Which of the following statements are correct ?
a. I is the major product of the reaction
b. II is the major product of the reaction
c. Formation of I is in accordance with Saytzeff's rule
d. II is more stable because it is more substituted
Which of the following statements are correct?
1. Electron density in xy plane in
orbital is zero.
2. Electron density in xy plane in
orbital is zero.
3. 2s orbital has only one spherical node in it.
4. For 2px orbital yz is the nodal plane.
Assertion (A): Mg2+ and Al3+ are isoelectronic but the magnitude of ionic radius of Al3+ is less than that in Mg2+.
Reason (R): The effective nuclear charge on the outermost electrons in Al3+ is greater than that in Mg2+.
The correct option among the following is
If 
and F = [40] are matrices and α, β are roots of equation AB5C10D5E = F then the value of (1 − α)(1 − β) is
359 docs|100 tests |