You can boost your JEE 2026 exam preparation with this JEE Main Mock Test - 4 (available with detailed solutions).. This mock test has been designed with the analysis of important topics, recent trends of the exam, and previous year questions of the last 3-years. All the questions have been designed to mirror the official pattern of JEE 2026 exam, helping you build speed, accuracy as per the actual exam.
Mock Test Highlights:
Sign up on EduRev for free and get access to these mock tests, get your All India Rank, and identify your weak areas to improve your marks & rank in the actual exam.
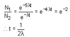
Two radioactive substances A and B have decay constants 5λ and λ, respectively. At t = 0, a sample has the same number of the two nuclei. The time taken for the ratio of the number of nuclei to become (1/e)2 will be:
Detailed Solution: Question 1
The magnetic field and number of turns of the coil of an electric generator is doubled then the magnetic flux of the coil will:
Detailed Solution: Question 2
The frequency f of vibrations of a mass m suspended from a spring of spring consant k is given by f = Cmxky, where C is a dimensionless constant. The values of x and y are, respectively
Detailed Solution: Question 3
Three forces are acting on a particle of mass m initially in equilibrium. If the first 2 forces (R1 and R2) are perpendicular to each other and suddenly the third force (R3) is removed, then the acceleration of the particle is
Detailed Solution: Question 4
The distance x moved by a body of mass 0.5 kg by a force varies with time t as x = 3t2 + 4t + 5 where x is expressed in metre and t in second. What is the work done by the force in the first 2 seconds?
Detailed Solution: Question 5
Frequency of a particle executing SHM is 10 Hz. The particle is suspended from a vertical spring. At the highest point of its oscillation the spring is unstretched Maximum speed of the particle is (g = 10 m/s2)
Detailed Solution: Question 6
If λ1 and λ2 are the wavelengths of the first members of Lyman and Paschen series, respectively, then λ1 : λ2 is:
Detailed Solution: Question 7
Three rods of Copper, Brass and Steel are welded together to from a Y –shaped structure. Area of cross – section of each rod = 4 cm2. End of copper rod is maintained at 100°C where as ends of brass and steel are kept at 0°C. Lengths of the copper, brass and steel rods are 46, 13 and 12 cms respectively. The rods are thermally insulated from surroundings except at ends. Thermal conductivities of copper, brass and steel are 0.92, 0.26 and 0.12 CGS units respectively. Rate of heat flow through copper rod is
Detailed Solution: Question 8
In an experiment for determination of refractive index of glass of a prism by i – δ plot, it was found that a ray incident at an angle of 35° suffers a deviation of 40° and that it emerges at an angle of 79°. In that case, which of the following is closest to the maximum possible value of the refractive index?
Detailed Solution: Question 9
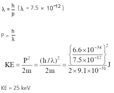
In an electron microscope, the resolution that can be achieved is of the order of the wavelength of electrons used. To resolve a width of 7.5 × 10-12 m, the minimum electron energy required is close to:
Detailed Solution: Question 10
In a circuit for finding the resistance of a galvanometer by half deflection method, a 6 V battery and a high resistance of 11 kΩ are used. The figure of merit of the galvanometer is 60 μA/division. In the absence of shunt resistance, the galvanometer produces a deflection of θ = 9 divisions, when current flows in the circuit. The value of the shunt resistance that can cause the deflection of θ/2 is closest to:
Detailed Solution: Question 11
A current of 1 A is flowing on the sides of an equilateral triangle of side 4.5 × 10-2 m. The magnetic field at the centroid of the triangle will be:
Detailed Solution: Question 12
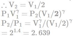
A cylinder with a movable piston contains 3 moles of hydrogen at standard temperature and pressure. The walls of the cylinder are made of a heat insulator, and the piston is insulated by having a pile of sand on it. By what factor does the pressure of the gas increase if the gas is compressed to half its original volume?
Detailed Solution: Question 13
The figure shows a 2.0 V potentiometer used for the determination of the internal resistance of a 1.5 V cell. The balance point of the cell in the open circuit is 76.3 cm. When a resistor of 9.5 Ω is used in the external circuit of the cell, the balance point shifts to 64.8 cm of the potentiometer wire. Determine the internal resistance of the cell.

Detailed Solution: Question 14
What speed should a galaxy move with respect to us so that the sodium line at 589.0 nm is observed at 589.6 nm?
Detailed Solution: Question 15
Light from a point source in the air falls on a spherical glass surface (μ=1.5 and radius of curvature 20cm). The distance of the light source from the glass surface is 100cm. The position where the image is formed is:
Detailed Solution: Question 16
A metal block of area 0.10 m2 is connected to a 0.01 kg mass via a string that passes over a massless and frictionless 0.01 kg pulley as shown in the figure. A liquid with a film thickness of 0.3 mm is placed between the block and the table. When released the block moves to the right with a constant speed of 0.085 ms-1. The coefficient of viscosity of the liquid is: (Take g = 10 ms-2)

Detailed Solution: Question 17
Which of the following statements about H3BO3 is not correct ?
Detailed Solution: Question 18
The kinetic data for the reaction
at 298 is as follows:

The rate low for the formation of OI− is
Detailed Solution: Question 19
The relative basic strength of the compounds is correctly shown in the option.
Detailed Solution: Question 20
Detailed Solution: Question 21
If the standard deviation of x1, x2, …, xn is 3.5, then the standard deviation of – 2x1 – 3, – 2x2 – 3, …, – 2xn – 3 is:
Detailed Solution: Question 22
Consider three observations a, b and c such that b = a + c. If the standard deviation of a + 2, b + 2, c + 2 is d, then which of the following is true?
Detailed Solution: Question 23
In how many different ways can the letters of the word 'GEOGRAPHY' be arranged such that the vowels must always come together?
Detailed Solution: Question 24
The equations ax + 9y = 1 and 9y - x - 1 = 0 represent the same line if a =
Detailed Solution: Question 25
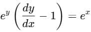
If y = y(x) is the solution of the differential equation ey
such that y(0) = 0, then y(1) is equal to:
Detailed Solution: Question 26
The mean and variance of a binomial distribution are 4 and 2, respectively. What is the probability of two successes?
Detailed Solution: Question 27
The solutions of the equation cos2x + cos22x + cos23x = 1 are given by
Detailed Solution: Question 28
Let A =
R and A4 = [aij]. If a11 = 109, then a22 is equal to _______.
Detailed Solution: Question 29
Detailed Solution: Question 30
360 docs|100 tests |