The following graph represents the variation of photo current with anode potential for a metal surface. Here I1, I2 and I3 represents intensities and γ1,γ2,γ3 represents frequency for curves 1, 2 and 3 respectively, then

The minimum force required to move a body up an inclined plane is three times the minimum force required to prevent it from sliding down the plane. If the coefficient of friction between the body and the inclined plane is 123√, then the angle of the inclined plane is
In the following P−V diagram of an ideal gas, AB and CD are isothermal where as BC and DA are adiabatic process. The value of VB/VC is

A bullet of mass m moving with a speed hits a stationary block of mass M at the topmost point and gets embedded in it. If friction is sufficient to prevent slipping then the block.

A photon of wavelength 300 nm interacts with a stationary hydrogen atom in ground state. During the interaction, whole energy the photon is transferred to the electron of the atom. State which possibility is correct. (Consider, Plank constant =4×10−15eVs, velocity of light =3 × 108m/s, ionisation energy of hydrogen =13.6eV )
Which of the following pairs of physical quantities does not have same dimensional formula ?
A force
= αî + 3ĵ + 6k̂ is acting at a point
= 2î - 6ĵ - 12k̂. The value of α for which angular momentum about origin is conserved is:
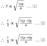
The frequency of a sonometer wire is f but when the weights producing tension are completely immersed in water the frequency becomes f/2 and on immersing the weights in certain liquid the frequency becomes f/3. The specific gravity of the liquid is
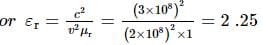
Electromagnetic waves travel in a medium with a speed of 2×108 m s−1. The relative permeability of the medium is 1. Find the relative permittivity.
A certain mass of gas undergoes a process given by dU = dW/2. If the molar heat capacity of the gas for this process is 15/2R, then the gas is
The ratio of voltage sensitivity (Vs) and current sensitivity (Is) of a moving coil galvanometer is:
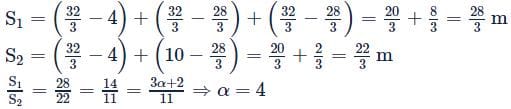
Position (in m) of a particle moving on a straight line varies with time (in sec) as x = t3/3 − 3t2 + 8t + 4(m). Consider the motion of the particle from t = 0 to t = 5 sec. S1 is the total distance travelled and S2 is the distance travelled during retardation. If S1/S2 = (3α + 2) / 11 then find α .
Identify correct statements about NO molecule:
(i) When NO is ionized to NO+, the electron is removed from the π*2p orbital.
(ii) Bond order of NO is 2.5 and bond order of NO+ is 3.
(iii) Bond length of NO+ is greater than that of NO.
(iv) It is similar to N2− in all respect.
A mixture of all stereoisomers possible from the structure is subjected to fractional distillation. How many fractions will be obtained from the following?

Which of the following carbonyl compounds will exhibit enolization?

Which is the correct increasing order of boiling points of the following compounds?
1−Bromoethane, 1−Bromopropane, 1−Bromobutane, Bromobenzene.
Two mole of an ideal gas is isothermally compressed in two stages starting from ( 1 atm, 20 lit) to 10 lit. at external pressure P1 then upto 2 lit at external pressure P2. Find work done (lit-atm) in the process.
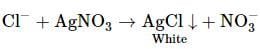
The aqueous solution of a inorganic compound (X) yielded a white precipitate when treated with dil HNO3 and AgNO3. Another sample of the solution of (X) when treated with NaOH gave a white precipitate first which dissolved in excess of NaOH yielding a colorless solution. When H2S gas was passed through that solution a white precipitate was obtained. Identify the atomic number of cation which is present in compound (X)?
If the density of some lake water is 1.25 g mL-1 and contains 92 g of Na+ ions per kg of water, calculate the molality of Na+ ions in the lake.
The mean and standard deviation of 10 observations x₁, x₂, x₃, ... x₁₀ are x̄ and σ respectively. Let 10 be added to x₁, x₂, ... x₉ and 90 be subtracted from x₁₀. If the standard deviation remains the same, then x₁₀ - x̄ is equal to:
A(1,0) and B(0,1) are two fixed points on the circle x² + y² = 1. C is a variable point on this circle. As C moves, the locus of the orthocentre of the triangle ABC is
The number of quadratic equations that are unchanged by squaring their roots is
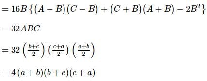
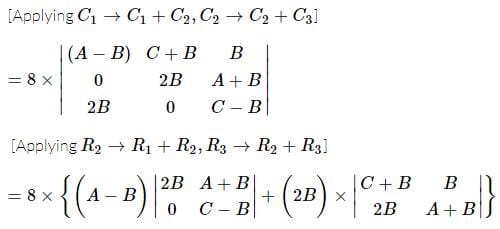
Using the factor theorem it is found that b + c, c + a and a + b are three factors of the determinant
The other factor in the value of the determinant is
In the quadratic equation
with α,β as its roots. If
and B = sum of the infinite G.P as
where k
. Then the value of C16 =
Number of skew-symmetric matrices of order 3 whose elements are 0, 0, 0, 1, −1, 2, −2, 3, −3 is
If
be any point on a line, then the number of integral values of α for which the point P lies between the parallel lines x + 2y = 1 and 2x + 4y = 15 is
359 docs|100 tests |