All Exams  >   CLAT  >   4 Months Preparation Course for CLAT UG  >   All Questions

All questions of Simplification for CLAT Exam

7.8 + 5.4 x 8.2 = ?
  • a)
    52.08
  • b)
    108.24
  • c)
    48.05
  • d)
    102.05
  • e)
    None of these
Correct answer is option 'A'. Can you explain this answer?

Solution for 7.8 + 5.4 × 8.2
We solve using the order of operations (BODMAS):
  1. First, perform the multiplication:
    5.4 × 8.2 = 44.28
  2. Next, add the result to 7.8:
    7.8 + 44.28 = 52.08
Correct Answer: A: 52.08

  • a)
    2 - √3
  • b)
    2 + √3
  • c)
    16 - √3
  • d)
    14 - √3
  • e)
    None of these
Correct answer is option 'C'. Can you explain this answer?

Given expression:
[(2 + √3) / (2 - √3)] + [(2 - √3) / (2 + √3)] + [(√3 - 1) / (√3 + 1)]
  1. Simplify the first two terms:
    • The denominator simplifies to 1.
    • The numerator becomes 14.
    • Result: 14.
  2. Simplify the third term:
    • Rationalize the denominator to get 2 - √3.
  3. Add the results:
    • 14 + (2 - √3) = 14 - √3.
Correct Answer: C: 14 - √3

(?)3 x (55) ÷ 225 = 3000
  • a)
    6
  • b)
    8
  • c)
    5
  • d)
    9
  • e)
    None of these
Correct answer is option 'A'. Can you explain this answer?

 
To solve (?)³ × (5⁵) ÷ 225 = 3000, follow these steps:
  1. Rearrange the equation:
    (?)³ = (3000 × 225) ÷ 5⁵
  2. Calculate 5⁵:
    5⁵ = 3125
  3. Simplify the numerator:
    3000 × 225 = 675000
  4. Divide:
    675000 ÷ 3125 = 216
  5. Find the cube root of 216:
    √³(216) = 6
Correct Answer: A: 6

  • a)
    51
  • b)
    59
  • c)
    57
  • d)
    53
  • e)
    None of these
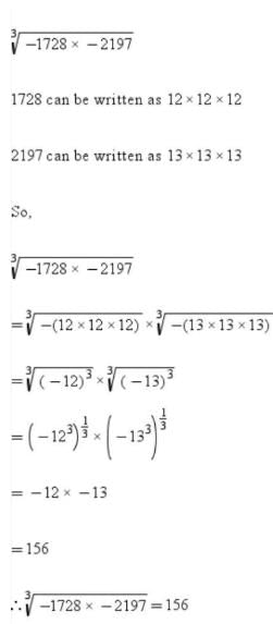
Correct answer is option 'C'. Can you explain this answer?

Solution for ∛185193
To solve ∛185193, we find the cube root:
  • The cube root of 185193 is 57, since 57³ = 185193.
Correct Answer: C: 57

47.932 + 56 + 97.168 – 67 – 78.3 – 22.7
  • a)
    33    
  • b)
    32.1
  • c)
    33.1   
  • d)
    34.1
  • e)
    None
Correct answer is option 'C'. Can you explain this answer?

Expression:
( 47.932 + 56 + 97.168 - 67 - 78.3 - 22.7 )
Step 1: Add the positive terms:
( 47.932 + 56 + 97.168 = 201.1 )
Step 2: Add the negative terms:
( 67 + 78.3 + 22.7 = 168 )
Step 3: Subtract the sum of negative terms from the sum of positive terms:
( 201.1 - 168 = 33.1 )
Final Answer: The result of the expression is 33.1.

(169 – 144)½ ÷ (64 + 36)½ = ?
  • a)
    0.5
  • b)
    0.25
  • c)
    2.5
  • d)
    5
  • e)
    None of these
Correct answer is option 'A'. Can you explain this answer?

To solve the given expression:

1. Calculate the values inside the parentheses first: √(169 - 144 = 25) and √(64 + 36 = 100).
2. Now simplify the expression further: √25/√100 .
3. Calculate the square roots: 5/10
4. Finally, divide the two results: 0.5

Therefore, the correct answer is A: 0.5.

  • a)
    62
  • b)
    58
  • c)
    68
  • d)
    66
  • e)
    None of these
Correct answer is option 'E'. Can you explain this answer?

Solution for ( ? )² / 4 + √1521 = 1063
To solve ( ? )² / 4 + √1521 = 1063, follow these steps:
  1. Calculate the square root of 1521:
    √1521 = 39
  2. Substitute into the equation and simplify:
    ( ? )² / 4 + 39 = 1063
    ( ? )² / 4 = 1063 - 39 = 1024
  3. Multiply by 4:
    ( ? )² = 1024 × 4 = 4096
  4. Take the square root:
    ? = √4096 = 64
Correct Answer: E: None of these

–224 + (–314) x (–9) = ?
  • a)
    2602
  • b)
    547
  • c)
    – 547
  • d)
    –2602
  • e)
    None of these
Correct answer is option 'A'. Can you explain this answer?

Anaya Patel answered
Option (a) 2602 is correct. 
Explanation:- 
 
{ Given,   
-224 + ( - 314) * (-9) 
 According to BODMASS ; 
=>  -224 -314  * -9
=>  -224 +  2826
=>   2602

12.5% of 350 * 8.4% of 250 = ?
  • a)
    912.75
  • b)
    915.75
  • c)
    913.75
  • d)
    918.75
  • e)
    916.75
Correct answer is option 'D'. Can you explain this answer?

Aarav Sharma answered
Given: 12.5% of 350 * 8.4% of 250

Calculation:

Step 1: Find 12.5% of 350
= (12.5/100) * 350
= 43.75

Step 2: Find 8.4% of 250
= (8.4/100) * 250
= 21

Step 3: Multiply the results of step 1 and step 2
= 43.75 * 21
= 918.75

Therefore, the answer is option D) 918.75.

  • a)
    6241
  • b)
    6889
  • c)
    6561
  • d)
    5929
  • e)
    None of thes
Correct answer is option 'C'. Can you explain this answer?

Anaya Patel answered
C is the correct option. Solution- 
4028÷53=76
6156÷76=81
So the value needed is a square of 81 which is 6561.

  • a)
  • b)
  • c)
    4
  • d)
  • e)
    None of these
Correct answer is 'C'. Can you explain this answer?

To solve 82/3, follow these steps:
  1. Interpret the fractional exponent:
    82/3 = (∛8)2
  2. Find the cube root of 8:
    ∛8 = 2
  3. Square the result:
    2² = 4
Correct Answer: C: 4

[(272-32)(124+176)]/(17*15-15) = ?
  • a)
    240
  • b)
    320
  • c)
    400
  • d)
    380
  • e)
    300
Correct answer is option 'E'. Can you explain this answer?

Aarav Sharma answered
Given expression: [(272-32)(124 176)]/(17*15-15)

Simplifying the expression step by step:

1. [(272-32)(124 176)] = 24000
2. (17*15-15) = 240
3. [(272-32)(124 176)]/(17*15-15) = 24000/240
4. [(272-32)(124 176)]/(17*15-15) = 100

Therefore, the correct answer is option 'E': 300.

  • a)
  • b)
  • c)
  • d)
  • e)
Correct answer is option 'C'. Can you explain this answer?

= we know,
(4-3+13-8)+(1/2 - 1/7 + 2/7 -1/4)
= 6 + 11/28

= option C 

856 x 567 = ?
  • a)
    487064
  • b)
    484218
  • c)
    482784
  • d)
    485352
  • e)
    None of these
Correct answer is option 'D'. Can you explain this answer?

Sajal Bdw answered
An easy way (here) just multiply units digit of two number
6×7=42 so whatever the number will be it will have unit place 2 therefore the answer is D

8934 – 3257 + 481 = ? + 2578
  • a)
    3250
  • b)
    3580
  • c)
    3560
  • d)
    3480
  • e)
    3520
Correct answer is option 'B'. Can you explain this answer?

Preeti Khanna answered
Calculation:

- First, perform the subtraction: 8934 - 3257 = 5677
- Then, add 481 to the result: 5677 + 481 = 6158
- Finally, subtract 2578 from both sides to find the missing value: 6158 - 2578 = 3580

Therefore, the missing value is 3580. So, the answer is B: 3580.

(764 x ?) ÷ 250 = 382
  • a)
    135
  • b)
    125
  • c)
    115
  • d)
    145
  • e)
    None of these
Correct answer is option 'B'. Can you explain this answer?

Solution:

Given equation:

(764 x ?) ÷ 250 = 382

Solving for ?:

(764 x ?) = 382 x 250

? = (382 x 250) / 764

? = 125

Therefore, the value of ? is 125.

So, the correct answer is B: 125.

The sum of the digits of a two-digit number is 8. If the digits are reversed, the number is decreased by 54. Find the number.
  • a)
    42   
  • b)
    53  
  • c)
    17  
  • d)
    71  
  • e)
    None
Correct answer is option 'D'. Can you explain this answer?

Let the two-digit number be represented as 10a + b, where:
  • a is the tens digit.
  • b is the one digit.
According to the problem:
  1. The sum of the digits is 8:
    a+b=8
  2. When the digits are reversed, the number is decreased by 54. The number with reversed digits is 10b + a. So:
    10a+b−(10b+a)=54
    Simplifying this equation:
    10a+b−10b−a=54
    9a−9b=54
    a−b=6
Now, we have two equations:
  1. a+b=8
  2. a−b=6
Add these two equations:
(a+b)+(a−b)=8+6
2a = 14
a=7
Substitute a=7 into a+b=8:
7+b=8 , b = 1
So, the number is 10a+b=10×7+1=71
Answer: The number is 71.

Find the number in the unit place in (321)321 x (325)326.
  • a)
    1   
  • b)
    5  
  • c)
    6   
  • d)
    8
  • e)
    None
Correct answer is option 'B'. Can you explain this answer?

Faizan Khan answered
321 raised to 321=1 in unit digit and any number ending in 5 raised to any number has always 5 as unit digit, so 1×5=5

444 ÷ (16*1.5) = ?
  • a)
    14.5
  • b)
    16.5
  • c)
    18.5
  • d)
    20.5
  • e)
    None of these
Correct answer is option 'C'. Can you explain this answer?

Rhea Reddy answered
Given expression:
444 ÷ (16 × 1.5)
Step 1: Calculate the denominator
The denominator is: 16 × 1.5
16 × 1.5 = 24
Denominator = 24
Step 2: Divide the numerator by the denominator
Now divide: 444 ÷ 24 = 18.5
Final result = 18.5
The correct answer is: c) 18.5

  • a)
    12      
  • b)
    15        
  • c)
    17    
  • d)
    16      
  • e)
    None
Correct answer is option 'D'. Can you explain this answer?

Vidya Mishra answered
Answer: The root of no. 169 is 13 and same as the square of 256 is 16 and this equals to on the right hand side. Hence the 16 is a sure answer....

Chapter doubts & questions for Simplification - 4 Months Preparation Course for CLAT UG 2025 is part of CLAT exam preparation. The chapters have been prepared according to the CLAT exam syllabus. The Chapter doubts & questions, notes, tests & MCQs are made for CLAT 2025 Exam. Find important definitions, questions, notes, meanings, examples, exercises, MCQs and online tests here.

Chapter doubts & questions of Simplification - 4 Months Preparation Course for CLAT UG in English & Hindi are available as part of CLAT exam. Download more important topics, notes, lectures and mock test series for CLAT Exam by signing up for free.

Top Courses CLAT

Related CLAT Content