All Exams  >   Class 10  >   6 Months Boards Preparation for Class 10 (CBSE)  >   All Questions

All questions of Introduction to Trigonometry for Class 10 Exam

If tan A = 3/2, then the value of cos A is
  • a)
  • b)
  • c)
    2/3
  • d)
Correct answer is option 'B'. Can you explain this answer?

Tanθ = Perpendicular / Base
We are given that TanA = 3/2
On comparing
Perpendicular = 3
Base = 2
To fing hypotenuse
Hypotenuse2 = Perpendicular2 + Base2
Hypotenuse2 = 32 + 22
Hypotenuse = 
Hypotenuse = 3.6
Cosθ = Base / Hypotenuse
CosA = 2 / 3.6
Hence the value of Cos A is 2/3.6=2/√13

The value of (sin 30° + cos 30°) - (sin 60° + cos 60°) is
  • a)
    -1
  • b)
    0
  • c)
    1
  • d)
    2
Correct answer is option 'B'. Can you explain this answer?

Ritu Saxena answered
sin 30° = 1/2,
cos 30°=√3/2,
sin 60°=√3/2,
cos 60°=1/2,
By putting the value of sin 30°, cos 30°, sin 60° and cos 60° in equation
We get=
(sin30°+cos30°)-(sin60°+cos60°)=(1/2+√3/2)-(√3/2+1/2)
=0

Can you explain the answer of this question below:
If 7sin2x + 3cos2x = 4 then , secx + cosecx =
  • A:
  • B:
  • C:
  • D:
The answer is a.

Gunjan Lakhani answered
7sin2x+3cosx=4
7sin2x+3(1-sin2x)=4
7sin2x+3-3sin2x=4
4sin2x=4-3
4sin2x=1
sin2x=¼
sinx=½
Cosec x=1/sinx=2
Cos x= 
Sec x= 1/cos x= 
Cosec x + sec x=2+ 

The value of the expression  is
  • a)
    √3/2
  • b)
    1/2
  • c)
    1
  • d)
    2
Correct answer is option 'C'. Can you explain this answer?

Krishna Iyer answered
We know that sin 60 =√3/2 and cos 30 = √3/2.
Therefore , Sin 60/cos 30= (√3/2)/(√3/2) = 1

If tan θ = a/b then the value of 
  • a)
  • b)
  • c)
  • d)
Correct answer is option 'B'. Can you explain this answer?

Vp Classes answered
Let,angle= θ
(asinθ + bcosθ)/(asinθ - bcosθ)
Dividing both numerator and denominator from cosθ
We get,
atanθ +b/atanθ - b
= ( a.a/b + b) /(a.a/b - b) =(a²/b +b)/(a²/b - b)
=(a² + b²/a²- b²) 

If ΔABC is right angled at C, then the value of cos (A + B) is
  • a)
    0
  • b)
    1
  • c)
    1/2
  • d)
    √3/2
Correct answer is option 'A'. Can you explain this answer?

Aniket Chavan answered
Since ABC is right-angled and angle C is 90degree

therefore,

A+B=180degree - C

A+B=180degree-90degree

A+B= 90degree

Therefore,cos (A+B)=cos90degree

=0

Match the Columns:
  • a)
    1 - A, 2 - C, 3 - B
  • b)
    1 - B, 2 - C, 3 - A
  • c)
    1 - B, 2 - C, 3 - D 
  • d)
    1 - D , 2 - B , 3 - A
Correct answer is option 'B'. Can you explain this answer?

Krishna Iyer answered
Correct Answer :- b
Explanation : If θ is one of the acute angles in a triangle, then the sine of theta is the ratio of the opposite side to the hypotenuse, the cosine is the ratio of the adjacent side to the hypotenuse, and the tangent is the ratio of the opposite side to the adjacent side.

If cosec A - cot A = 4/5, then cosec A = 
  • a)
    47/40
  • b)
    59/40
  • c)
    51/40
  • d)
    41/40
Correct answer is option 'D'. Can you explain this answer?

Abhiram Malik answered
cosecA = 41/40

Explanation :

cosecA - cotA = 4/5 ---( 1 )

=> (cosecA - cotA)(cosecA + cotA)=(4/5) (cosecA + cotA)

=> (cosec�A-cot�A) = (4/5)(cosecA +cotA)

=> 1 = (4/5)(cosecA + cotA)

=> cosecA +cotA = 5/4 ---(2)

Now ,

Add (1) and (2 ), we get

=> 2coseecA = (4/5+5/4)

=> 2cosecA = (16+25)/20

=> cosecA = 41/40

Therefore,

cosecA = 41/40

7 sin2 θ + 3 cos2 θ = 4 then :
  • a)
    tan θ = 1/√2
  • b)
    tan θ = 1/2
  • c)
    tan θ = 1/3
  • d)
    tan θ = 1/√3
Correct answer is option 'D'. Can you explain this answer?

Nirmal Kumar answered
7Sin²A+3Cos²A=4,
3Cos²A+3Sin²A+4Sin²A=4,
3(sin²A+Cos²A)+4sin²A=4,
4Sin²A=1,
sin²A=1/2×1/2,
SinA=1/2=Sin 30,
A=30,
tanA=tan30=1/√3

The value of 3/4 tan2 30° – 3 sin2 60° + cosec2 45° is
  • a)
    1
  • b)
    8
  • c)
    0
  • d)
    12
Correct answer is option 'C'. Can you explain this answer?

Malini shah answered


To solve for the value of 3/4tan230, we need to use a calculator. Here are the steps:

1. Press the "tan" button on your calculator.
2. Type in "230".
3. Press the "equals" button.
4. Take note of the value shown on the screen.
5. Divide the value by 4.
6. Multiply the result by 3.

The final answer will depend on the degree of accuracy you need. Rounded to two decimal places, the value of 3/4tan230 is approximately -1.42.

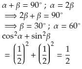
In sin 3θ = cos (θ – 26°), where 3θ and (θ – 26°) are acute angles, then value of θ is :
  • a)
    30°
  • b)
    29°
  • c)
    27°
  • d)
    26°
Correct answer is option 'B'. Can you explain this answer?

Krishna Iyer answered
sin3θ = cos(θ - 26°)

=> cos(90° - 3θ) = cos(θ - 26°)

=> 90° - 3θ = θ - 26°

=> 3θ + θ = 90° + 26°

=> 4θ = 116°

=> θ = 116°/4

=> θ = 29°

If angle A is acute and cos A = 8/17 then cot A is :
  • a)
    8/15
  • b)
    17/8
  • c)
    15/8
  • d)
    17/15
Correct answer is option 'A'. Can you explain this answer?

Pooja Shah answered
Cos A=8/17=B/H
base=8x, hypotenuse=17x
By pythagoras theorem,
H=P+ B2
289x= P+ 64x2

Cot A=B/P=8x/15x=8/15

The angles of elevation of the top of a tower from two points at a distance of 4 m and 9 m from the base of the tower and in the same straight line with it are complementary. The height of the tower is:
  • a)
    √5 m
  • b)
    √15 m
  • c)
    6 m
  • d)
    2.25 m.
Correct answer is option 'C'. Can you explain this answer?

Pooja Shah answered
Given AB is the tower.
P and Q are the points at distance of 4m and 9m respectively.
From fig, PB = 4m, QB = 9m.
Let angle of elevation from P be α and angle of elevation from Q be β.
Given that α and β are supplementary. Thus, α + β = 90
In triangle ABP,
tan α = AB/BP – (i)
In triangle ABQ,
tan β = AB/BQ
tan (90 – α) = AB/BQ (Since, α + β = 90)
cot α = AB/BQ
1/tan α = AB/BQ
So, tan α = BQ/AB – (ii)
From (i) and (ii)
AB/BP = BQ/AB
AB^2 = BQ x BP
AB^2 = 4 x 9
AB^2 = 36
Therefore, AB = 6.
Hence, height of tower is 6m.

If 3 cot θ = 2, then the value of tan θ
  • a)
    2/3
  • b)
    3/2
  • c)
  • d)
Correct answer is option 'B'. Can you explain this answer?

3cot theta =2

=> cot theta = 2/3

=> 1/tan theta =2/3

=>. tan theta = 3/2

hence, the answer is tan theta =3/2

From a point on a bridge across a river, the angles of depression of the banks on opposite sides of the river are 30° and 45° respectively. If the bridge is at a height of 3 m from the banks then the width of the river is :
  • a)
    3 (√3 –1)m
  • b)
    3 (√3 +1)m
  • c)
    (3 + √3)m
  • d)
    (3 – √3 )m.
Correct answer is option 'B'. Can you explain this answer?

Subham Ghosh answered
° and 45°. If the bridge is 80 meters long, how wide is the river?

Let's label the diagram:

We want to find the width of the river, which is represented by the distance between points A and B.

To solve this problem, we need to use trigonometry. Specifically, we can use the tangent function:

tan(angle) = opposite/adjacent

We can use this formula for both angles of depression:

tan(30°) = AB/80

tan(45°) = AC/80

Simplifying these equations, we get:

AB = 80 tan(30°) ≈ 46.4 meters

AC = 80 tan(45°) ≈ 80 meters

Now we can use the Pythagorean theorem to find the length of BC:

BC^2 = AC^2 - AB^2

BC^2 = (80)^2 - (46.4)^2

BC ≈ 64.1 meters

Therefore, the width of the river (AB) is approximately 46.4 meters, and the length of the bridge (BC) is approximately 64.1 meters.

The value of 2 tan2 60° – 4 cos2 45° – 3 sec2 30° is :
  • a)
    o
  • b)
    1
  • c)
    12
  • d)
    8
Correct answer is option 'A'. Can you explain this answer?

Ananya Das answered
Step-by-step explanation:
2tan2 60° - 4 cos2 45° -3sec2 30° ----(1)
tan 60° = √3
cos 45° = 1/√2
sec 30° = 2/√3
 
putting value in equation (1)
2(√3)2 - 4(1/√2)2 - 3(2/√3)2
=2(3) - 4(1/2) - 3(4/3)
=6-2-4
=6-6
=0 ANS

If sin A = 1/2,  then the value of cot A is
  • a)
    √3
  • b)
    1/√3
  • c)
    √3/2
  • d)
    1
Correct answer is option 'A'. Can you explain this answer?

Here is the solution to your question:


So, Correct Answer is Option A

P.S. You can understand all the concepts of Class 10 Trigonometry by going through the chapters:

1. Introduction to Trigonometry:

2. Some Applications of Trigonometry:

A tree is broken by the wind. Its top struck the ground at an angle 30° at a distance of 30 m from its foot. The whole height of the tree is :
  • a)
    10 √3 m
  • b)
    20 √3 m
  • c)
    40 √3 m
  • d)
    30 √3 m .
Correct answer is option 'D'. Can you explain this answer?

Degrees from the vertical. The broken section of the tree makes an angle of 60 degrees with the ground. What is the height of the tree before it was broken?

Let's call the height of the tree "h" and the distance from the base of the tree to where it broke "x". We can use trigonometry to solve for these values.

First, we can use the angle of 30 degrees to find the length of the broken section of the tree, which we'll call "y". Using the sine function:

sin(30) = y/h

y = h*sin(30)

y = 0.5h

Next, we can use the angle of 60 degrees and the Pythagorean theorem to find the length of the entire broken section of the tree (including the part still standing). Let's call this length "z".

cos(60) = x/z

z = x/cos(60)

z = 2x

Using the Pythagorean theorem:

z^2 = y^2 + h^2

(2x)^2 = (0.5h)^2 + h^2

4x^2 = 0.25h^2 + h^2

4x^2 = 1.25h^2

h^2 = 4x^2/1.25

h^2 = 3.2x^2

h = sqrt(3.2)x

So the height of the tree before it was broken is equal to the square root of 3.2 times the distance from the base to where it broke. We don't have a specific value for x, so we can't give an exact height, but we can say that it's proportional to the square root of 3.2x.

The value of  is :
  • a)
    Zero
  • b)
    1
  • c)
    61/29
  • d)
    29/61
Correct answer is option 'A'. Can you explain this answer?

A. is ri8
Sin29/Sin61-Cos61/Cos29
=>sin29/sin61-cos(90-29)/cos(90-61)
=>sin29/sin61-sin29/sin61
=0

If 7sin2x + 3cos2x = 4 then , secx + cosecx =
  • a)
  • b)
  • c)
  • d)
Correct answer is 'A'. Can you explain this answer?

Naina Sharma answered
7sin2x+3cosx=4
7sin2x+3(1-sin2x)=4
7sin2x+3-3sin2x=4
4sin2x=4-3
4sin2x=1
sin2x=¼
sinx=½
Cosec x=1/sinx=2
Cos x= 
Sec x= 1/cos x= 
Cosec x + sec x=2+ 

Which of the following identities is correct?
  • a)
    sin A × tan A = cos A
  • b)
    tan A = sin A / cos A
  • c)
    sec A = 1 / sin A
  • d)
    cos A = 1 / cosec A
Correct answer is option 'B'. Can you explain this answer?

Aryan Pillai answered
Understanding Trigonometric Identities
In trigonometry, various identities help us simplify and solve problems. Let's evaluate the given options to find the correct identity.
Option A: sin A × tan A = cos A
- This identity is incorrect.
- The tangent function is defined as tan A = sin A / cos A, so the left side does not equal cos A.
Option B: tan A = sin A / cos A
- This identity is correct.
- The tangent function is defined in terms of sine and cosine.
- Hence, tan A = sin A / cos A accurately represents the relationship between these three functions.
Option C: sec A = 1 / sin A
- This identity is incorrect.
- The secant function is defined as sec A = 1 / cos A, not sine.
Option D: cos A = 1 / cosec A
- This identity is also incorrect.
- The cosecant function is defined as cosec A = 1 / sin A, so cos A cannot equal 1 / cosec A.
Conclusion
- The only correct identity among the options is option B: tan A = sin A / cos A.
- This fundamental relationship is essential in trigonometry and is widely used in various calculations and proofs.

Solve:  (Sin 30°+cos 60°)-(sin 60° + cos 30°) is equal to:
  • a)
    0
  • b)
    1+2√3
  • c)
    1-√3
  • d)
    1+√3
Correct answer is option 'C'. Can you explain this answer?

Kds Coaching answered
Answer: (c) 1-√3
Explanation: sin 30° = ½, sin 60° = √3/2, cos 30° = √3/2 and cos 60° = ½
Putting these values, we get:
(½+½)-(√3/2+√3/2)
= 1 – [(2√3)/2]
= 1 – √3

Chapter doubts & questions for Introduction to Trigonometry - 6 Months Boards Preparation for Class 10 (CBSE) 2025 is part of Class 10 exam preparation. The chapters have been prepared according to the Class 10 exam syllabus. The Chapter doubts & questions, notes, tests & MCQs are made for Class 10 2025 Exam. Find important definitions, questions, notes, meanings, examples, exercises, MCQs and online tests here.

Chapter doubts & questions of Introduction to Trigonometry - 6 Months Boards Preparation for Class 10 (CBSE) in English & Hindi are available as part of Class 10 exam. Download more important topics, notes, lectures and mock test series for Class 10 Exam by signing up for free.

Top Courses Class 10

Related Class 10 Content