All Exams  >   MCAT  >   MCAT Chemical and Physical Foundations  >   All Questions

All questions of Light / EM Radiation (PHY) for MCAT Exam

A child stands between two mirrors with his arms out, perpendicular to the mirrors. One plane mirror is 5 m away from his left hand and another plane mirror is 7 m away from his right hand. How far apart are the two images produced by the mirrors if the child has an arm span of 0.5 m?
  • a)
    2 m
  • b)
    12 m
  • c)
    12.5 m
  • d)
    24.5 m
Correct answer is option 'D'. Can you explain this answer?

Orion Classes answered
In plane mirrors, the image is as far away from the mirror as the object is. In other words, the image produced by the left mirror is 5 m away from the mirror because the child is standing 5 m away from the mirror. Similarly, the right mirror produces an image that is 7 m away from the center of the mirror. To calculate how far away the two images are, take into consideration not only the image distance but also the distance of the object (the child) from the mirrors and the child's arm span of 0.5 m. Therefore, the images are 5 + 5 + 0.5 + 7 + 7 = 24.5 m apart.

A submarine is inspecting the surface of the water with a laser that points from the submarine to the surface of the water and through the air. At what angle will the laser not penetrate the surface of the water but rather reflect entirely back into the water? (Assume nwater = 1.33 and nair = 1.)
  • a)
    19°
  • b)
    29°
  • c)
    39°
  • d)
    49°
Correct answer is option 'D'. Can you explain this answer?

Orion Classes answered
This question is testing our understanding of total internal reflection. As the laser beam travels from water to air—that is, from a higher to a lower index of refraction—the angle of refraction increases. At the critical angle (θc), the angle of refraction becomes 90°; at this point, the refracted ray is parallel to the surface of the water. When the angle of incidence is greater than the critical angle, all the light is reflected back into the water. The question is asking for the critical angle:

The inverse sine of 0.75 must be slightly higher than  48.59° is the exact answer.

A ray of light (f = 5 × 1014 Hz) travels from air into crystal into chromium. If the indices of refraction of air, crystal, and chromium are 1, 2, and 3, respectively, and the incident angle is 30°, then which of the following describes the frequency and the angle of refraction in the chromium?
  • a)
    5 × 1014 Hz; 9.6°
  • b)
    5 × 1014 Hz; 57°
  • c)
    1.0 × 1010 Hz; 9.6°
  • d)
    1.0 × 1010 Hz; 57°
Correct answer is option 'A'. Can you explain this answer?

Orion Classes answered
This question contains two parts—we have to determine the frequency and the angle of refraction of the light ray. The first part, however, is straightforward because the frequency of a light ray traveling from one medium to another does not change. Because the frequency must be 5 × 1014 Hz, we can eliminate choices (C) and (D). For the angle of refraction, we can either calculate it or determine it using logic. First, the light ray goes from air into crystal; that is, from a low index of refraction to a higher one. According to Snell's law, the angle of refraction will be smaller than the incident angle (closer to the normal). When the light ray moves from crystal to chromium, it again goes from a lower index of refraction into a higher one, thus making the angle of refraction even smaller, eliminating choice (B). This question could also be answered by calculation using Snell's law, but the calculations are time consuming and unnecessary.

Which of the following will not result in the splitting of white light into its component colors?
  • a)
    Dispersion through a prism
  • b)
    Diffraction through a grating
  • c)
    Refraction within a thin film
  • d)
    Reflection from an ideal convex mirror
Correct answer is option 'D'. Can you explain this answer?

Orion Classes answered
Light can be split into its component colors by dispersion, such as that through a prism, eliminating choice (A). Diffraction by a diffraction grating will also separate colors by their wavelengths, eliminating choice (B). The refraction of light within a thin film also leads to light dispersion as the different colors are refracted at slightly different angles in the film, eliminating choice (C). A mirror with significant aberration could lead to a separation of light into its component colors, but we are told that this is an ideal mirror. Thus, choice (D) is the correct answer.

Which of the following are able to produce a virtual image?
I. Convex lens
II. Concave lens
III. Plane mirror
  • a)
    I only
  • b)
    III only
  • c)
    II and III only
  • d)
    I, II, and III
Correct answer is option 'D'. Can you explain this answer?

Orion Classes answered
All images produced by plane mirrors will be virtual, so statement III is true. The same goes for diverging species (convex mirrors and concave lenses), so statement II is true. Converging species (concave mirrors and convex lenses) can produce real or virtual images, depending on how far the object is from the species, so statement I is also true.

When monochromatic light is refracted as it passes from air to glass, which of the following does NOT remain the same? (Note: Assume that the wave is fully transmitted.)
  • a)
    Wavelength
  • b)
    Frequency
  • c)
    Amplitude
  • d)
    Period
Correct answer is option 'A'. Can you explain this answer?

Orion Classes answered
As light rays travel from one medium to another, their wavelengths change. Even if we did not know this immediately, we can determine the answer through process of elimination. Frequency and period are inverses of each other, so if either of these quantities changes, the other would have to change as well, eliminating choices (B) and (D). Further, because the wave is fully transmitted, there is no absorption or reflection, and the amplitude (which is related to intensity) should not change, eliminating choice (C). When light is refracted, its speed changes; although the frequency does not change, the wavelength does.

Which phenomenon would cause monochromatic light entering the prism along path AB to leave along path CD?
  • a)
    Dispersion
  • b)
    Refraction
  • c)
    Diffraction
  • d)
    Polarization
Correct answer is option 'B'. Can you explain this answer?

Orion Classes answered
Even though the light is traveling through a prism, the change in the light's direction is caused by refraction, not dispersion. Dispersion involves the breaking up of polychromatic light into its component wavelengths because the degree of refraction depends on the wavelength. We are told that the incident light is monochromatic or, in other words, of only one wavelength; therefore, light will not be dispersed, eliminating choice (A). Diffraction, choice (C), describes the spreading of light waves as they pass through a small opening. Polarization, choice (D), is the alignment of the electric field component of light waves.

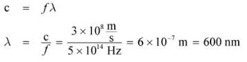
If a light ray has a frequency of 5.0 × 1014 Hz, in which region of the electromagnetic spectrum is it located?
  • a)
    X-ray
  • b)
    UV
  • c)
    Visible
  • d)
    Infrared
Correct answer is option 'C'. Can you explain this answer?

Orion Classes answered
It is unnecessary to memorize the entire electromagnetic spectrum for Test Day; however, it is important to know that the visible spectrum runs from 400–700 nm. We can calculate the wavelength of this light ray:

This wavelength falls within the visible spectrum has a red-orange color.

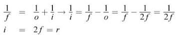
An object is placed at the center of curvature of a concave mirror. Which of the following is true about the image?
  • a)
    It is real and inverted.
  • b)
    It is virtual and inverted.
  • c)
    It is virtual and upright.
  • d)
    It is real and upright.
Correct answer is option 'A'. Can you explain this answer?

Orion Classes answered
One could solve this question with a ray diagram, but be wary about using ray diagrams on Test Day. It is easy to make small mistakes that cause the light rays not to intersect. Therefore, solve the question using the sign convention. If the object is at the center of curvature, its distance is 2f. We can plug into the optics equation:

Because i is positive, the image is real. For single mirrors or lenses, all real images are inverted.

Chapter doubts & questions for Light / EM Radiation (PHY) - MCAT Chemical and Physical Foundations 2025 is part of MCAT exam preparation. The chapters have been prepared according to the MCAT exam syllabus. The Chapter doubts & questions, notes, tests & MCQs are made for MCAT 2025 Exam. Find important definitions, questions, notes, meanings, examples, exercises, MCQs and online tests here.

Chapter doubts & questions of Light / EM Radiation (PHY) - MCAT Chemical and Physical Foundations in English & Hindi are available as part of MCAT exam. Download more important topics, notes, lectures and mock test series for MCAT Exam by signing up for free.

Top Courses MCAT