All Exams  >   Class 10  >   NTSE for Class 10  >   All Questions

All questions of NTSE Mock Tests with Solutions for Class 10 Exam

DIRECTIONS : Select the meaning of the given phrases/idioms.
Q. By  hook or by crook
  • a)
    In a completely insane manner
  • b)
    In whatever way one can
  • c)
    Being very evil and destructive
  • d)
    To be very tenacious
Correct answer is option 'B'. Can you explain this answer?

Understanding the Idiom: By Hook or By Crook
The phrase "by hook or by crook" is commonly used to express determination in achieving a goal, regardless of the method employed. The correct interpretation of this idiom aligns with option 'B': "In whatever way one can."
Origin and Meaning
- The phrase is believed to have originated in the 14th century and has various interpretations.
- It suggests a sense of resourcefulness and tenacity, indicating that one is willing to use any means necessary—whether they are straightforward or dubious—to accomplish a task.
Key Aspects of the Idiom
- Determination: The expression emphasizes the importance of being resolute in pursuit of one's objectives.
- Flexibility in Methods: It implies that the person is open to different strategies, whether they are conventional (hook) or unconventional (crook).
- Pragmatism: The idiom indicates a practical approach to problem-solving, highlighting the readiness to adapt as needed.
Examples in Context
- "She was determined to finish the project by hook or by crook, even if it meant working late into the night."
- "He wanted to win the championship by hook or by crook, showing his unwavering commitment to success."
Conclusion
In summary, "by hook or by crook" encapsulates the spirit of persistence and adaptability in achieving one’s goals, making option 'B' the correct interpretation of this idiom. It serves as a reminder that sometimes, unconventional methods are necessary to reach an objective.

If a point C lies between two points A and B such that AC = BC, then AB is equal to
  • a)
    2AC
  • b)
    3AC
  • c)
    4AC
  • d)
    AC
Correct answer is option 'A'. Can you explain this answer?

Vivek Bansal answered
In figure, point C is between A and B.

[Things which coincide with one another are equal]
∴ AC + CB = AB [Given]
But AC = BC
∴ AC + AC = AB
⇒ 2AC = AB
⇒ AB = 2AC

Water flows out through a circular pipe whose internal diameter is 2 cm, at the rate of 6 metres per second into a cylindrical tank. The radius of whose base is 60 cm. The rise in the level of water in 30 minutes is
  • a)
    3 m
  • b)
    – 3 m
  • c)
    6  m
  • d)
    – 6 m
Correct answer is option 'A'. Can you explain this answer?

Rohan Rane answered

Given Data:
- Internal diameter of the circular pipe = 2 cm
- Rate of water flow = 6 m/s
- Radius of the base of cylindrical tank = 60 cm
- Time taken = 30 minutes

Calculations:
1. Convert the time from minutes to seconds:
30 minutes = 30 x 60 seconds = 1800 seconds

2. Calculate the volume of water flowing in 30 minutes:
Volume = Area of pipe x Speed x Time
Area of pipe = πr^2 (r = radius = diameter/2)
Area = π(1 cm)^2 = π cm^2
Volume = π x 1800 x 6 cm^3 = 10800π cm^3

3. Convert the volume to cubic meters:
1 m^3 = 1000000 cm^3
Volume = 10800π / 1000000 m^3 = 0.0108π m^3

4. Calculate the rise in water level in the cylindrical tank:
Volume = πr^2h (h = rise in water level)
0.0108π = π(60 cm)^2h
0.0108 = 3600h
h = 0.0108 / 3600 = 0.000003 m = 0.003 m

Conclusion:
The rise in the level of water in the tank after 30 minutes is 0.003 meters or 3 millimeters. Therefore, the correct answer is option A.

DIRECTIONS: These questions are based on letter series. Study the series carefully to determine the order (Pattern). Select the answer from the choices given :
Q. X U S P N K ?
  • a)
    I
  • b)
    L
  • c)
    M
  • d)
    Q
Correct answer is option 'A'. Can you explain this answer?

Akshat Malik answered
Pattern Analysis:
The given series is: Q X U S P N K ?

Observations:
- The letters in the series are arranged in descending order of their positions in the English alphabet.
- The first letter is 'Q' which is the 17th letter of the alphabet.
- The second letter is 'X' which is the 24th letter of the alphabet.
- The third letter is 'U' which is the 21st letter of the alphabet.
- The pattern continues in the same manner.

Identifying the Next Letter:
- Following the pattern observed, the next letter should be the 9th letter of the alphabet which is 'I'.
Therefore, the next letter in the series after K is I. So, the correct answer is option 'A' - I.

At my house I am facing East. Then I turn left and go 10 m, then I turned right and go 5 m. Then I go 5 m to the South and from there 5 m to the West. In which direction am I from my house? 
  • a)
    North
  • b)
    South
  • c)
    East
  • d)
    West
Correct answer is option 'A'. Can you explain this answer?

Swara desai answered
Steps to Determine Direction:
1. Initial Position:
- Starting from your house, you are facing East.
2. Movement:
- Turn left and go 10 m (North).
- Turn right and go 5 m (East).
- Go 5 m to the South.
- Go 5 m to the West.
3. Final Position:
- You have moved North, East, South, and West from your house.
4. Analysis:
- Net movement in the North direction = 10 m (initial move) - 5 m (South move) = 5 m North.
- Net movement in the East direction = 5 m (initial move) - 5 m (West move) = 0 m East.
5. Conclusion:
- You are 5 m North and 0 m East from your house.
- Therefore, you are in the North direction from your house.
Hence, the correct answer is option 'A' - North.

DIRECTIONS : Read the following passage and answer the questions given after it.
Freedom has assuredly given us a new status and new opportunities. But it also implies that we should discard selfishness, laziness and all narrowness of outlook. Our state of freedom implies toil and new values for old things. We should so discipline ourselves as to be able to discharge our new responsibilities satisfactorily. If there is any one thing that needs to be stressed more than any other in the new set-up, it is that we should put into action our full capacity, each one of us, in productive effort---each one of us in his own sphere, however humble. Work, increasing work should be our watchword. Work is wealth and service is happiness. The greatest crime in India today is idleness. If we root our idleness, all our difficulties including our conflicts, will gradually disappear. Whether as a constable or as a high official of the state, whether as a businessman or industrialist or artisan or farmer, we should all discharge our obligations to the state and contribute to the welfare of the country. Honest work is the sheet anchor to which if we cling, we shall be saved in spite of every danger or difficulty. Honest work is the fundamental law of progress.
Q. How should we discipline ourselves?
  • a)
    by criticizing the loopholes of others
  • b)
    by striving to get more freedom in all activities
  • c)
    by discharge our new responsibilities satisfactorily
  • d)
    by broadening our viewpoints in all spheres of life
Correct answer is option 'C'. Can you explain this answer?

Ritu Saxena answered
We should so discipline ourselves as to be able to discharge our new responsibilities satisfactorily.

DIRECTIONS : Choose the word which best fills the blank from the four options given.
Q. Mr. Singh ________ his son for breaking the window- pane. 
  • a)
    coerced
  • b)
    relegated
  • c)
    expropriated
  • d)
    chastised
Correct answer is option 'D'. Can you explain this answer?

Sushant Unni answered
Explanation:

Chastise means to scold or rebuke someone, especially a child or student, in order to correct their behavior. In this sentence, Mr. Singh scolded or rebuked his son for breaking the window-pane. Therefore, option D, chastised, is the correct answer.

- Word Meaning: Chastise means to scold or rebuke someone, especially a child or student, in order to correct their behavior.
- Context: Mr. Singh scolded or rebuked his son for breaking the window-pane.
- Sentence Structure: Mr. Singh ________ his son for breaking the window-pane.
- Options:
- Coerced: to persuade someone to do something using force or threats. This option does not fit in the sentence as there is no mention of force or threats being used.
- Relegated: to move something or someone to a lower position or rank. This option does not fit in the sentence as there is no mention of Mr. Singh moving his son to a lower position or rank.
- Expropriated: to take away property or possessions from someone, especially for public use. This option does not fit in the sentence as there is no mention of Mr. Singh taking away his son's property or possessions.
- Chastised: to scold or rebuke someone, especially a child or student, in order to correct their behavior. This option fits in the sentence as Mr. Singh scolded or rebuked his son for breaking the window-pane.

Therefore, option D, chastised, is the correct answer.

In each of the four groups of letters, one is different from others. Pick the odd one out.
  • a)
    TSRQ
  • b)
    MLKJ
  • c)
    YXWV
  • d)
    NMLK
Correct answer is option 'D'. Can you explain this answer?

Varsha jain answered
Understanding the Groups
In the given options, we have four groups of letters:
- a) TSRQ
- b) MLKJ
- c) YXWV
- d) NMLK
Each group consists of four letters arranged in reverse alphabetical order.
Analyzing the Options
- TSRQ: This group consists of letters T, S, R, and Q. Each letter is the preceding letter of the alphabet in reverse order.
- MLKJ: This group includes M, L, K, and J, also arranged in reverse alphabetical order.
- YXWV: This group contains Y, X, W, and V, similarly organized in reverse order.
- NMLK: This group consists of N, M, L, and K.
Identifying the Odd One Out
- The first three groups (TSRQ, MLKJ, YXWV) each contain letters that are four consecutive letters in reverse alphabetical order.
- NMLK, however, is a group of letters where N is not in the same sequence. It breaks the pattern of having four consecutive letters in reverse order since N does not follow the same sequence as the other groups.
Conclusion
Thus, the correct answer is option D (NMLK), as it does not fit the established pattern of four consecutive letters in reverse order.

The sulphide ore among the following is:
  • a)
    Haematite
  • b)
    Bauxite
  • c)
    Rock salt
  • d)
    Zinc blende
Correct answer is option 'D'. Can you explain this answer?

Rohit Verma answered
The sulphide ore among the given options is Zinc blende (option D).

Zinc blende, also known as sphalerite, is a mineral that consists of zinc sulfide (ZnS). It is the most important ore of zinc and is commonly found in deposits alongside other valuable minerals. Here is a detailed explanation of why zinc blende is the correct answer:

1. What is an ore?
- An ore is a naturally occurring rock or mineral from which a valuable substance, usually a metal, can be extracted profitably. Ores are typically mined and processed to extract the desired metal.

2. Understanding sulphide ores:
- Sulphide ores are those ores that contain sulfide minerals, which are compounds of sulfur and a metal. These ores are generally processed through various methods to extract the metal. The metal sulfides are usually dense and have a characteristic metallic luster.

3. Haematite (option A):
- Haematite is an iron oxide mineral (Fe2O3). It is not a sulphide ore but an oxide ore. Haematite is the most important ore of iron and is widely used in the production of iron and steel.

4. Bauxite (option B):
- Bauxite is an aluminum ore. It is not a sulphide ore but an oxide ore. Bauxite is the primary source of aluminum and is used in the production of aluminum metal.

5. Rock salt (option C):
- Rock salt, also known as halite, is a mineral composed mainly of sodium chloride (NaCl). It is not a sulphide ore but a halide mineral. Rock salt is commonly used as a seasoning and for various industrial applications.

6. Zinc blende (option D):
- Zinc blende, or sphalerite, is a sulphide ore of zinc (ZnS). It is the main ore mineral for zinc and is typically found in association with other sulfide minerals such as galena (lead sulfide). Zinc is widely used in various industries, including construction, automotive, and electronics.

In summary, among the given options, only zinc blende (sphalerite) is a sulphide ore. Haematite is an oxide ore, bauxite is also an oxide ore, and rock salt is a halide mineral.

If sin 5θ = cos 4θ, where 5θ and 4θ are acute angles, then the value of θ is
  • a)
    15°
  • b)
  • c)
    10°
  • d)
    12°
Correct answer is option 'C'. Can you explain this answer?

Riddhi patil answered
Given Information:
- sin 5θ = cos 4θ
- 5θ and 4θ are acute angles

Solution:

Step 1: Use Trigonometric Identities
- We know that sin(90° - θ) = cosθ
- Therefore, sin(90° - 5θ) = cos 5θ
- Similarly, sin(90° - 4θ) = cos 4θ

Step 2: Substitute the Values
- Given sin 5θ = cos 4θ
- This can be rewritten as sin(90° - 5θ) = sin(90° - 4θ)

Step 3: Equate the Angles
- Setting the angles equal to each other:
90° - 5θ = 90° - 4θ
- Simplifying the equation:
-5θ = -4θ
θ = 10°
Therefore, the value of θ is 10°.

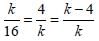
The value of k for which the system of linear equation: kx + 4y = k – 4,  16x + ky = k, has many solutions, is
  • a)
    0
  • b)
    8
  • c)
    –8
  • d)
    4
Correct answer is option 'B'. Can you explain this answer?

Ritu Saxena answered
kx + 4y = k – 4
16x + ky = k
a1 = k, b1 = 4, c1 = – (k – 4)
a2 = 16, b2 = k, c2 = – k
Here condition is 


k = 0 or k = 8 but k = 0 is not possible otherwise equation will be one variable.
∴ k = 8 is correct value for many solution.

In a quadrilateral the angles are in the ratio 3 : 4 : 5 : 6. Then the difference between the greatest and the smallest angle is
  • a)
    108°
  • b)
    60°
  • c)
    180°
  • d)
    360°
Correct answer is option 'B'. Can you explain this answer?

Vivek Bansal answered
Let the angles be 3x, 4x, 5x and 6x.
We have 3x + 4x + 5x + 6x = 360°
[sum of angles of a quadrilateral is equal to 360°]
18x = 360°
x = 20°
Difference between greatest and smallest angles = 6x – 3x = 3x = 3 × 20° = 60°.

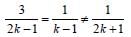
If the system of equations 3x + y = 1
(2k – 1)x + (k – 1)y = 2k + 1 is inconsistent, then k =
  • a)
    1
  • b)
    -1
  • c)
    -2
  • d)
    2
Correct answer is option 'D'. Can you explain this answer?

Vivek Bansal answered
The system of equations is inconsistent if

⇒ 3k – 3 = 2 k – 1and 2k + 1 ≠ k – 1
⇒ k = 2 ∴ (4) is true and k ≠ – 2 ∴ (3) is false
Also 

This means, equations are consistent. Thus (4) holds.

DIRECTIONS : Read the following passage and answer the questions given after it.
In the early 1920's, settlers came to Alaska looking for gold. They travelled by boat to the coastal towns of Seward and Knik, and from there by land into the gold fields. The trail they used to travel inland is known today as the Iditarod Trail, one of the National Historic Trails designated by the Congress of the United States. The Iditarod Trail quickly became a major thoroughfare in Alaska, as the mail and supplies were carried across this trail. People also used it to get from place to place, including the priests, ministers, and judges who had to travel between villages. In the winter, the settlers' only means of travel down this trail was via dog sled. Once the gold rush ended, many gold-seekers went back to where they had come from, and suddenly there was much less travel on the Iditarod Trail. The introduction of the airplane in the late 1920's meant dog teams were no longer the standard mode of transportation, and of course with the airplane carrying the mail and supplies, there was less need for land travel in general. The final blow to the use of the dog teams was the appearance of snowmobiles.
By the mid 1960's, most Alaskans didn't even know the Iditarod Trail existed, or that dog teams had played a crucial role in Alaska's early settlements. Dorothy G. Page, a self-made historian, recognized how few people knew about the former use of sled dogs as working animals and about the Iditarod Trail's role in Alaska's colourful history.
To raise awareness about this aspect of Alaskan history, she came up with the idea to have a dog sled race over the Iditarod Trail. She presented her idea to an enthusiastic musher, as dog sled drivers are known, named Joe Redington, Sr. Soon the Pages and the Redingtons were working together to promote the idea of the Iditarod race.
Many people worked to make the first Iditarod Trail Sled Dog Race a reality in 1967. The Aurora Dog Mushers Club, along with men from the Adult Camp in Sutton, helped clear years of overgrowth from the first nine miles of the Iditarod Trail. To raise interest in the race, a $25,000 purse was offered, with Joe Redington donating one acre of his land to help raise the funds. The short race, approximately 27 miles long, was put on a second time in 1969.
After these first two successful races, the goal was to lengthen the race a little further to the ghost town of Iditarod by 1973. However in 1972, the U.S. Army reopened the trail as a winter exercise, and so in 1973, the decision was made to take the race all the way to the city of Nome-over 1,000 miles. There were many who believed it could not be done and that it was crazy to send a bunch of mushers out into the vast, uninhabited Alaskan wilderness. But the race went! 22 mushers finished that year, and to date over 400 people have completed it.
Q. The primary purpose of this passage is to
  • a)
    recount the history of the Iditarod trail and the race that memorializes it
  • b)
    describe the obstacles involved in founding the Iditarod race
  • c)
    outline the circumstances that led to the establishment of the Iditarod Trail
  • d)
    re-establish the important place of the Iditarod Trail in Alaska's history
Correct answer is option 'A'. Can you explain this answer?

Ritika Mishra answered
Explanation:

Overview:
The primary purpose of this passage is to recount the history of the Iditarod trail and the race that memorializes it.

Details:
- The passage provides a detailed account of how settlers came to Alaska in the early 1920s looking for gold and used the Iditarod Trail as a major thoroughfare for travel, mail, and supply transportation.
- It explains how the introduction of the airplane and snowmobiles led to the decline in the use of dog teams for transportation, resulting in the Iditarod Trail being forgotten by most Alaskans by the mid-1960s.
- Dorothy G. Page's initiative to raise awareness about the historical significance of dog teams and the Iditarod Trail by organizing a dog sled race is highlighted in the passage.
- The passage describes the efforts made by various individuals and groups to make the Iditarod Trail Sled Dog Race a reality, starting with clearing the trail, offering a purse for the race, and eventually extending the race to over 1,000 miles.
- It concludes by mentioning the initial skepticism surrounding the race but highlights the success of the first race in 1973, with 22 mushers finishing and over 400 people completing it to date.

This detailed recounting of the establishment and evolution of the Iditarod Trail Sled Dog Race serves to highlight the historical importance of the Iditarod trail and the race that now commemorates it.

DIRECTIONS : This question is based on letter series from which some of the letters are missing. The missing letters are given in the proper sequence as one of the alternatives.  Find the correct alternative :
Q. __ b __ abb __ __ bab __ __ bba
  • a)
    bababa
  • b)
    ababba
  • c)
    bbbaaa
  • d)
    ababab
Correct answer is option 'B'. Can you explain this answer?

Parth Chawla answered
Explanation:

To solve this question, we need to identify the pattern in the given letter series and determine the missing letters.

Pattern:
Let's analyze the given letter series:
Q.__ b __ abb __ __ bab __ __ bba

From the given series, we can observe the following pattern:
- The series starts with the letter 'b'.
- The second letter is repeated three times ('b', 'b', 'b').
- The third letter is repeated two times ('a', 'a').
- The fourth letter is repeated two times ('b', 'b').

Based on this pattern, we can determine the missing letters.

Missing Letters:
Using the pattern, we can fill in the missing letters as follows:

Q. b __ abb __ __ bab __ __ bba
So, the missing letters are 'a', 'b'.

Options:
Now let's evaluate the given options and find the correct one:

a) bababab
b) ababbab
c) bbbaaa
d) ababab

Evaluating the Options:
a) bababab: This option does not follow the pattern as it repeats 'bab' three times instead of 'abb'. Therefore, this option is incorrect.

b) ababbab: This option correctly follows the pattern as it repeats 'abb' three times, followed by 'bab' and 'bba'. Therefore, this option is correct.

c) bbbaaa: This option does not follow the pattern as it repeats 'bba' three times instead of 'abb'. Therefore, this option is incorrect.

d) ababab: This option does not follow the pattern as it repeats 'aba' three times instead of 'abb'. Therefore, this option is incorrect.

Conclusion:
Based on the analysis, the correct option is b) ababbab as it follows the given pattern.

A student tested the pH of distilled water and found that the colour of pH paper changed to green. He checked the pH again after dissolving a pinch of common salt in water. The colour of the pH paper this time was:
  • a)
    green
  • b)
    yellow
  • c)
    red
  • d)
    blue
Correct answer is option 'A'. Can you explain this answer?

Abhay Dasgupta answered
Distilled Water:
When distilled water is tested with pH paper, the color change indicates the pH level of the water. pH paper is a type of indicator paper that changes color depending on the acidity or alkalinity of a substance. In this case, the color change to green suggests that the pH of distilled water is neutral.

Neutral pH:
A neutral pH is typically indicated by a green color on pH paper. A pH of 7 is considered neutral, meaning that the substance is neither acidic nor alkaline. Distilled water, which is pure water, has a pH of around 7.

Adding Common Salt:
When a pinch of common salt is dissolved in water, it dissociates into its constituent ions: sodium (Na+) and chloride (Cl-). These ions can interact with water molecules through a process called ionization.

Ionization of Salt:
The ionization of salt in water leads to the formation of hydrogen ions (H+) and hydroxide ions (OH-). The hydrogen ions make the solution slightly acidic, while the hydroxide ions make it slightly alkaline.

Effect on pH:
The addition of common salt does not significantly change the pH of water. The pH paper will still indicate a neutral pH, which is represented by the color green. This is because the concentration of hydrogen ions and hydroxide ions produced by the ionization of salt is relatively low and does not shift the pH towards acidity or alkalinity.

Conclusion:
In summary, when distilled water is tested with pH paper, it changes to green, indicating a neutral pH. Adding a pinch of common salt to the water does not significantly alter the pH, and the pH paper will still show a green color.

Vijay’s position is 14th from upwards in a class of 43 students. What will be his position from downwards?
  • a)
    30th
  • b)
    28th
  • c)
    29th
  • d)
    31st
Correct answer is option 'A'. Can you explain this answer?

Meera Mehta answered
Vijay is a popular Indian actor and playback singer who primarily works in the Tamil film industry. He is one of the highest-paid actors in the country and has a huge fan following. Vijay has acted in numerous successful films and has won several awards for his performances. Apart from his acting career, he is also known for his philanthropic work.

Consider the following statements:
(a) Sudden action in response to something in the environment is called reflex action.
(b) Sensory neurons carry signals from spinal cord to muscles.
(c) Motor neurons carry signals from receptors to spinal cord.
(d) The path through which signals are transmitted from a receptor to a muscle or a gland is called reflex arc.
Which of the above statements are correct?
  • a)
    (a) and (b)
  • b)
    (a) and (c)
  • c)
    (a) and (d)
  • d)
    (a), (b) and (c)
Correct answer is option 'C'. Can you explain this answer?

Gourav suri answered
Understanding the Statements
To determine the correctness of the statements regarding reflex actions and the nervous system, let's analyze each one:
Statement (a): Sudden action in response to something in the environment is called reflex action.
- This statement is correct. Reflex actions are involuntary and automatic responses to stimuli, such as pulling your hand away from a hot surface.
Statement (b): Sensory neurons carry signals from spinal cord to muscles.
- This statement is incorrect. Sensory neurons actually carry signals from sensory receptors (like skin, eyes) to the spinal cord and brain, not from the spinal cord to muscles.
Statement (c): Motor neurons carry signals from receptors to spinal cord.
- This statement is incorrect. Motor neurons transmit signals from the spinal cord to muscles or glands, enabling movement or action. They do not carry signals from receptors.
Statement (d): The path through which signals are transmitted from a receptor to a muscle or a gland is called reflex arc.
- This statement is correct. A reflex arc is the neural pathway that controls a reflex action, consisting of sensory neurons, interneurons (in the spinal cord), and motor neurons.
Conclusion
From the analysis:
- Statements (a) and (d) are correct.
- Statements (b) and (c) are incorrect.
Thus, the correct option is (c): (a) and (d). This option accurately reflects the correct understanding of reflex actions and the function of different types of neurons.

In the following numbers series, how many even numbers are immediately preceded by 6 as well as immediately followed by 3?
6   6   5   6   8   3   9   4   3   6   7   3   6   4   3   2   8   6   4   6   8 2   6   6   3
  • a)
    1
  • b)
    2
  • c)
    3
  • d)
    4
Correct answer is option 'C'. Can you explain this answer?

Understanding the Series
In the given number series, we need to identify how many even numbers are immediately preceded by 6 and immediately followed by 3. The series provided is:
6, 6, 5, 6, 8, 3, 9, 4, 3, 6, 7, 3, 6, 4, 3, 2, 8, 6, 4, 6, 8, 2, 6, 6, 3
Identifying Even Numbers
Even numbers in this series are:
- 6
- 6
- 6
- 8
- 4
- 6
- 2
- 8
- 6
- 4
- 6
- 2
- 6
- 6
Finding Candidates
Now, we need to find even numbers that fit the criteria of being preceded by 6 and followed by 3.
Evaluating Each Even Number
1. First 6: Preceded by nothing, followed by 6 (not valid).
2. Second 6: Preceded by 6, followed by 5 (not valid).
3. Third 6: Preceded by 6, followed by 8 (not valid).
4. 8: Preceded by 6, followed by 3 (valid).
5. 4: Preceded by 9, followed by 3 (not valid).
6. 6: Preceded by 4, followed by 7 (not valid).
7. 4: Preceded by 6, followed by 3 (valid).
8. 2: Preceded by 6, followed by 8 (not valid).
9. 8: Preceded by 6, followed by 4 (not valid).
10. 4: Preceded by 6, followed by 6 (not valid).
11. 6: Preceded by 2, followed by 3 (valid).
Counting Valid Instances
From the evaluations, we find the valid even numbers that are preceded by 6 and followed by 3:
- 8 (6, 8, 3)
- 4 (6, 4, 3)
- 6 (6, 6, 3)
Conclusion
Thus, there are 3 even numbers that fit the criteria of being immediately preceded by 6 and followed by 3. The correct answer is option C) 3.

In a class of 60, where girls are twice that of boys, Kamal ranked seventeenth from the top? If there are 9 girls ahead of Kamal, how many boys are after him in rank?
  • a)
    3
  • b)
    7
  • c)
    12
  • d)
    23
Correct answer is option 'C'. Can you explain this answer?

Given:
- Total number of students in the class = 60
- Number of girls = twice the number of boys
- Kamal is ranked seventeenth from the top
- There are 9 girls ahead of Kamal in rank

Let's solve this step by step:

1. Determine the number of girls and boys in the class:
Let the number of boys be x.
Therefore, the number of girls will be 2x (twice the number of boys).

The total number of students in the class is given as 60:
x + 2x = 60
3x = 60
x = 60/3
x = 20

So, there are 20 boys and 2x = 2*20 = 40 girls in the class.

2. Determine Kamal's position from the bottom:
Since Kamal is ranked seventeenth from the top, we can determine his position from the bottom using the formula:
Position from the bottom = Total number of students - Kamal's position from the top + 1

Position from the bottom = 60 - 17 + 1
Position from the bottom = 44

3. Determine the number of boys after Kamal in rank:
We know that there are 9 girls ahead of Kamal. So, the remaining students ahead of him must be boys.

Number of boys ahead of Kamal = Kamal's position from the bottom - Number of girls ahead of Kamal
Number of boys ahead of Kamal = 44 - 9
Number of boys ahead of Kamal = 35

But we need to determine the number of boys after Kamal in rank. Since there are a total of 20 boys in the class, the number of boys after Kamal will be:
Number of boys after Kamal = Total number of boys - Number of boys ahead of Kamal
Number of boys after Kamal = 20 - 35
Number of boys after Kamal = -15

Since we cannot have a negative number of boys, it means there are no boys after Kamal in rank.

Therefore, the correct answer is option C) 12 boys after Kamal in rank.

The ratio in which the point (1/2,6) divides the line segment joining the points (3, 5) and  (–7, 9) is
  • a)
    3 : 1
  • b)
    1 : 3
  • c)
    1 : 2
  • d)
    2 : 1
Correct answer is option 'B'. Can you explain this answer?

Ritu Saxena answered
Let (1/2, 6) divide the line segment joining the points (3, 5) and (–7, 9) in the ratio of K: 1
Using section formula, the co–ordinate of the dividing point are given as

DIRECTIONS : Read the following passage and answer the questions given after it.
In the early 1920's, settlers came to Alaska looking for gold. They travelled by boat to the coastal towns of Seward and Knik, and from there by land into the gold fields. The trail they used to travel inland is known today as the Iditarod Trail, one of the National Historic Trails designated by the Congress of the United States. The Iditarod Trail quickly became a major thoroughfare in Alaska, as the mail and supplies were carried across this trail. People also used it to get from place to place, including the priests, ministers, and judges who had to travel between villages. In the winter, the settlers' only means of travel down this trail was via dog sled. Once the gold rush ended, many gold-seekers went back to where they had come from, and suddenly there was much less travel on the Iditarod Trail. The introduction of the airplane in the late 1920's meant dog teams were no longer the standard mode of transportation, and of course with the airplane carrying the mail and supplies, there was less need for land travel in general. The final blow to the use of the dog teams was the appearance of snowmobiles.
By the mid 1960's, most Alaskans didn't even know the Iditarod Trail existed, or that dog teams had played a crucial role in Alaska's early settlements. Dorothy G. Page, a self-made historian, recognized how few people knew about the former use of sled dogs as working animals and about the Iditarod Trail's role in Alaska's colourful history.
To raise awareness about this aspect of Alaskan history, she came up with the idea to have a dog sled race over the Iditarod Trail. She presented her idea to an enthusiastic musher, as dog sled drivers are known, named Joe Redington, Sr. Soon the Pages and the Redingtons were working together to promote the idea of the Iditarod race.
Many people worked to make the first Iditarod Trail Sled Dog Race a reality in 1967. The Aurora Dog Mushers Club, along with men from the Adult Camp in Sutton, helped clear years of overgrowth from the first nine miles of the Iditarod Trail. To raise interest in the race, a $25,000 purse was offered, with Joe Redington donating one acre of his land to help raise the funds. The short race, approximately 27 miles long, was put on a second time in 1969.
After these first two successful races, the goal was to lengthen the race a little further to the ghost town of Iditarod by 1973. However in 1972, the U.S. Army reopened the trail as a winter exercise, and so in 1973, the decision was made to take the race all the way to the city of Nome-over 1,000 miles. There were many who believed it could not be done and that it was crazy to send a bunch of mushers out into the vast, uninhabited Alaskan wilderness. But the race went! 22 mushers finished that year, and to date over 400 people have completed it.
Q. In 1925, when a diphtheria outbreak threatened the lives of people in the remote town of Nome, the government used the Iditarod Trail to transport medicine nearly 700 miles to the town. If the author chose to include this fact in the passage, it would best fit in
  • a)
    paragraph 1
  • b)
    paragraph 2
  • c)
    paragraph 3
  • d)
    paragraph 5
Correct answer is option 'A'. Can you explain this answer?

Understanding the Context of the Passage
The passage discusses the history of the Iditarod Trail in Alaska, detailing its significance during the gold rush and its later revitalization through the sled dog races initiated by Dorothy G. Page and Joe Redington, Sr.

Placement of the Diphtheria Outbreak Fact
Including the fact about the diphtheria outbreak would best fit in:
  • Paragraph 1: This paragraph introduces the early settlers and their use of the Iditarod Trail primarily for travel and transportation of goods.



Reasons for This Placement
  • Historical Significance: The outbreak serves as a critical historical event that underscores the importance of the Iditarod Trail in emergency situations, reinforcing its role in Alaska's history beyond just gold transportation.
  • Connection to the Trail's Purpose: The mention of transporting medicine would align well with the paragraph's focus on how the trail was utilized for crucial needs, such as mail and supplies.
  • Enhancing Awareness: By including this event, the passage would provide a broader understanding of the trail's historical importance, which resonates with the themes of awareness and recognition discussed later on.



Conclusion
Incorporating the diphtheria outbreak into paragraph 1 would effectively contextualize the Iditarod Trail's utility and historical relevance, enhancing the reader's understanding of its significance in both everyday life and emergencies in early Alaska.

If REASON is coded as 5, BELIEVED as 7, what is the code number of GOVERNMENT?
  • a)
    6
  • b)
    8
  • c)
    9
  • d)
    10
Correct answer is option 'C'. Can you explain this answer?

Ritu Saxena answered
No. of alphabets in REASON = 6 – 1 = 5
No. of alphabets in BELIEVED = 8 – 1 = 7
∴ GOVERNMENT = 10 – 1 = 9.

DIRECTIONS : Choose the word which best fills the blank from the four options given.
Q. Success comes to those who are vigilant not to permit ______ from the chosen path.
  • a)
    distraction
  • b)
    deviation
  • c)
    alienation
  • d)
    diversion
Correct answer is option 'B'. Can you explain this answer?

Explanation:

Deviation
- Deviation means the act of departing from the usual or accepted standard.
- In the context of the sentence, the word "deviation" fits best as it implies straying from the chosen path.
- Distraction refers to something that prevents someone from giving full attention to something else.
- Alienation refers to the state of being isolated or estranged from a group or activity.
- Diversion means turning something aside from its course.
Therefore, in the given sentence, the word 'deviation' is the most appropriate choice as it aligns perfectly with the idea of staying focused and not straying from the chosen path to achieve success.

Consider the following statements :
(a) Real image is always inverted.
(b) Virtual image is always erect.
(c) Image formed by a concave lens is always real and inverted
Which of the above statement(s) is/are correct?
  • a)
    Only (a)
  • b)
    Only (b)
  • c)
    (a) and (b)
  • d)
    All of the above
Correct answer is option 'C'. Can you explain this answer?

Supriya dubey answered
Real image is always inverted:
- A real image is formed when the light rays actually meet at a point after passing through a lens or reflecting off a mirror.
- In the case of a real image, the image formed is always inverted, meaning that the top and bottom of the object are switched in the image. This is because the light rays cross each other at the focal point, resulting in the inversion of the image.

Virtual image is always erect:
- A virtual image is formed when the light rays appear to come from a point after passing through a lens or reflecting off a mirror, but they do not actually meet at that point.
- In the case of a virtual image, the image formed is always erect, meaning that the top and bottom of the object are in the same orientation as the object itself. This is because the light rays do not actually cross each other and continue their path without intersecting.

Image formed by a concave lens is always real and inverted:
- A concave lens is a lens that is thinner in the middle and thicker at the edges. This type of lens causes light rays to diverge when they pass through it.
- When an object is placed in front of a concave lens, the image formed is always real and inverted. This is because the light rays diverge after passing through the lens, and when traced back, they appear to meet at a point behind the lens.
- The distance between the object and the lens, as well as the focal length of the lens, determine the size and location of the image formed.

Combining the statements:
- From the given statements, we can conclude that both statement (a) and (b) are correct.
- A real image is always inverted, and a virtual image is always erect.
- However, statement (c) is incorrect. An image formed by a concave lens can be real and inverted, but it can also be virtual and erect, depending on the position of the object relative to the lens.

The captain of a cricket team of 11 players is 25 years oldest and the wicketkeeper is 3 years older than the captain. If the ages of these two are excluded, the average age of the remaining players is 1 year less than the average age of the whole team. The average of the whole team is:
  • a)
    21.5 year
  • b)
    22 year
  • c)
    22.5 year
  • d)
    23 year
Correct answer is option 'B'. Can you explain this answer?

Let a1, a2, a3, .....all be the 11 players of the team.
Let a10 represents the captain and a11 represents the wicketkeeper.
Given: Age of captain = 25 yrs., i.e. a10 = 25
And age of wicketkeeper = 25 + 3 = 28 yrs., i.e. a11 = 28
To find: 
According to the question,

∴ Average age of whole team = 22 years.

DIRECTIONS : Study the given information carefully and answer the questions given below :
(i) A, B, C, D, E, F and G are sitting on wall and facing east.
(ii) C is on the immediate right to D.
(iii) B is at an extreme end and has E as his neighbour.
(iv) G is between E and F.
(v) D is sitting third from south end.
Q. Immediately between which of the following pairs of people is D sitting?
  • a)
    AC
  • b)
    AF
  • c)
    CE
  • d)
    CF
Correct answer is option 'D'. Can you explain this answer?

Given information:
- A, B, C, D, E, F, and G are sitting on a wall facing east.
- C is on the immediate right of D.
- B is at an extreme end and has E as his neighbor.
- G is between E and F.
- D is sitting third from the south end.

To find: Between which pair of people is D sitting.

Solution:
- We know that D is sitting third from the south end. Therefore, there are two people sitting south of D.
- Since C is on the immediate right of D, C cannot be sitting south of D. Therefore, the two people sitting south of D must be B and A.
- B is at an extreme end and has E as his neighbor. Therefore, B must be sitting at the south end and A must be sitting to the immediate right of B.
- G is between E and F. Therefore, G cannot be sitting south of D, and F must be sitting to the immediate right of G.
- Thus, the seating arrangement from south to north is B, E, G, F, D, C, and A.
- We can see that D is sitting between C and F.

Therefore, the correct answer is option D, i.e., CF.

The decimal expansion of π is
  • a)
    terminating
  • b)
    non-terminating and non-recurring
  • c)
    non-terminating and recurring.
  • d)
    does not exist
Correct answer is option 'B'. Can you explain this answer?

Shama nayar answered
The decimal expansion of a number is the representation of the number in base 10 using decimal digits (0-9). It is a way of expressing a number as a series of digits to the right of the decimal point.

For example, the decimal expansion of the number 3.14 is 3.14, where 3 is the whole number part and .14 is the decimal part.

The decimal expansion of a number can be finite or infinite. A finite decimal expansion has a specific number of decimal places, while an infinite decimal expansion continues indefinitely.

For example, the decimal expansion of the number 1/2 is 0.5, which is a finite decimal. However, the decimal expansion of the number 1/3 is 0.333..., which is an infinite decimal.

In some cases, the decimal expansion of a number can be a repeating decimal, where a digit or a group of digits repeats indefinitely.

For example, the decimal expansion of the number 1/7 is 0.142857142857..., where the group of digits 142857 repeats indefinitely.

The decimal expansion of a number is a useful representation for performing arithmetic operations, as it allows for easy addition, subtraction, multiplication, and division. It is also commonly used in everyday life for expressing measurements, monetary values, and other quantities.

DIRECTIONS : Read the following passage and answer the questions given after it.
The greatest enemy of mankind, as people have discovered is not science, but war. Science merely reflects the social forces by which it is surrounded. It is found that when there is peace, science is constructive, when there is war, and science is perverted to destructive ends. The weapons which science gives us do not necessarily create war; these make war increasingly more terrible.
Until now it has brought us to the doorstep of doom. Our main problem, therefore, is not to curb science, but to stop war to substitute law for force and international government for anarchy in the relations of one nation with another. That is a job in which everybody must participate, including the scientists. But the bomb of Hiroshima suddenly woke us up to the fact that we have very little time. The hour is late and our work has scarcely begun. Now we are face to face with this urgent question, "Can education and tolerance, understanding and creative intelligence run fast enough to keep us abreast with our own mounting capacity to destroy?"
That is the question which we shall have to answer one way or the other in this generation. Science must help us in the answer, but the main decision lies within ourselves.
Q. War can be stopped if, 
  • a)
    weapons invented by science are not used to launch a war
  • b)
    science is restricted to be utilised only during war time
  • c)
    science is not allowed to lead us to utter destruction
  • d)
    we replace force and lawlessness by law and international government
Correct answer is option 'D'. Can you explain this answer?

Ayushi reddy answered
Stopping War through Law and International Government
War can be stopped if we replace force and lawlessness with law and international government. This means that instead of resorting to violence and conflict to resolve disputes between nations, we should establish and adhere to international laws and agreements that promote peace and cooperation.

Preventing the Use of Science for Destructive Purposes
By implementing laws and regulations that govern the use of scientific advancements, we can ensure that science is not perverted to destructive ends during times of war. This involves promoting ethical practices in scientific research and development, as well as holding individuals and institutions accountable for any misuse of scientific knowledge.

Emphasizing Education, Tolerance, and Understanding
Educating people about the consequences of war, promoting tolerance and understanding towards different cultures and beliefs, and fostering creative intelligence can help prevent conflicts from escalating into full-blown wars. By promoting these values, we can work towards building a more peaceful and harmonious world.

Collaboration and Participation
It is essential for everyone, including scientists, policymakers, and the general public, to actively participate in efforts to stop war and promote peace. By working together towards common goals, we can create a world where conflicts are resolved through dialogue and diplomacy rather than violence and destruction.
In conclusion, by replacing force with law, preventing the misuse of science, promoting education and tolerance, and fostering collaboration and participation, we can work towards stopping war and building a more peaceful world for future generations.

If the displacement of an object is proportional to square of time, then the object moves with
  • a)
    uniform velocity
  • b)
    uniform acceleration
  • c)
    increasing acceleration
  • d)
    decreasing acceleration
Correct answer is option 'B'. Can you explain this answer?

Explanation:
The displacement of an object is given by the formula:

s = kt²

where s is the displacement of the object, t is the time taken, and k is a constant.

We can differentiate this equation with respect to time to find the velocity of the object:

v = ds/dt = 2kt

We can differentiate again to find the acceleration of the object:

a = dv/dt = 2k

Therefore, we can see that the acceleration of the object is constant and proportional to the displacement. Hence, the object moves with uniform acceleration, option (B) is correct.

Chapter doubts & questions for NTSE Mock Tests with Solutions - NTSE for Class 10 2025 is part of Class 10 exam preparation. The chapters have been prepared according to the Class 10 exam syllabus. The Chapter doubts & questions, notes, tests & MCQs are made for Class 10 2025 Exam. Find important definitions, questions, notes, meanings, examples, exercises, MCQs and online tests here.

Chapter doubts & questions of NTSE Mock Tests with Solutions - NTSE for Class 10 in English & Hindi are available as part of Class 10 exam. Download more important topics, notes, lectures and mock test series for Class 10 Exam by signing up for free.

Top Courses Class 10

Related Class 10 Content