All Exams  >   MCAT  >   General Chemistry for MCAT  >   All Questions

All questions of Solubility Equilibria for MCAT Exam

Calcium fluoride (CaF2) has a Ksp value of 4.0 x 10−11. Which of the following statements correctly describes the solubility of CaF2 in a solution containing 0.10 M Ca(NO3)2 versus a solution containing 0.10 M NaF?
  • a)
    CaF2 is approximately 4 times more soluble in a solution containing 0.10 M Ca(NO3)2​ than in a solution containing 0.10 M NaF.
  • b)
    CaF2 is approximately 2500 times more soluble in a solution containing 0.10 M Ca(NO3)2 than in a solution containing 0.10 M NaF.
  • c)
    The molar solubility of CaF2 in a solution containing 0.10 M NaF is 4.0 x 10−10 M.
  • d)
    The molar solubility of CaF2 in a solution containing 0.10 M Ca(NO3)is 1 x 10−3 M.
Correct answer is option 'B'. Can you explain this answer?

Orion Classes answered
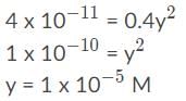
To calculate the molar solubility of CaF2 in a solution containing 0.10 M Ca(NO3)2, start with the Ksp equation and then replace the right side with actual concentration values:
4.0 x 10−11 = (Ca2+)(F⁻)2
4.0 x 10−11 = (0.1 + y)(2y)2
When the existing concentration in the solution and the Ksp value differ by more than a power of 3, which means 103 or 1000, the equation can be simplified by approximating (0.1 + y) as 0.1. Ultimately the value of y would be 1000 times less compared to 0.10 M and can be ignored; for instance, 0.1003 or 0.1009 would round to 0.10.
After the approximation, isolate the variable y by dividing both sides by 0.4 and finding the square root of both sides by taking the square root of 1 and dividing the exponent by 2:
To calculate the molar solubility of CaF2 in a solution containing 0.10 M NaF, start with the equation:
4.0 x 10−11 =  (y)(0.1 + 2y)2
Simplify the equation by approximating (0.1 + 2y) to be 0.1 and solve for y by dividing both sides of the equation by 0.01:
4.0 x 10−11 =  (y)(0.1)2
y = 4.0 x 10−9 M
Note the vast difference in solubility due to the common ion effect. 1.0 x 10−5 M and 4.0 x 10−9 M are the two molar solubilities, and they differ by a factor of about 2500. So CaF2 is approximately 2500 times more soluble in a solution containing 0.10 M Ca(NO3)2 than in a solution containing 0.10 M NaF.

Which of the following Lewis dot structures of polyatomic ions has or have an overall charge of -2?
I. 
II. 
III. 
IV. 
  • a)
    I, III, and IV
  • b)
    III and IV
  • c)
    I, II, and IV
  • d)
    III only
Correct answer is option 'B'. Can you explain this answer?

Ayesha Joshi answered
It should be emphasized that these common polyatomic ions and their charges should be memorized for the MCAT. We may not be accustomed to looking at the Lewis dot structures for these polyatomic ions.
In analyzing the nitrite ion, NO2 when oxygen has 1 bond, it has a negative charge. When N has 3 and O has 2 bonds, they are uncharged, leaving nitrite ion with an overall charge of -1. It is worth noting that both nitrate (NO3) and nitrite (NO2), and have a charge of -1.
In analyzing the phosphite ion, PO3, since there are 3 single-bonded oxygen, they have a negative charge of -3. Phosphorus is in the same group as nitrogen, and so similarly, when P has 3 bonds, it is uncharged, leaving phosphite with an overall charge of -3. It is worth noting that both phosphate (PO4) and phosphite (PO3) have a charge of -3.
In analyzing the sulfite ion, SO3, we have an element that perpetually expands its octet. Sulfur has 6 valence electrons, so it can form up to 6 bonds. Since 4 are in single bonds and 2 in the lone pair, its formal charge is zero.
Applying the same logic, oxygen has 6 valence electrons. Since 1 is in the single bond and 6 are in the lone pairs, its formal charge is -1, leaving sulfite with an overall charge of -2. It is worth noting that both sulfate (SO4) and sulfite (SO3) have a charge of -2.
Lastly, chromate (CrO4) must be memorized separately with a charge of -2. Therefore, the correct answer is III and IV. For sake of thoroughness, all the oxyhalide anions, perchlorate (ClO4), chlorate (ClO3), chlorite (ClO2), and hypochlorite (ClO), all have a charge of -1.

Which of the following statements most accurately describes the data depicted in the graph depicting the concentration of silver ion at varying concentrations of chloride ion in a saturated solution of AgCl? (Ksp of Agcl = 1.8 x 10-10)
  • a)
    Points B and D are both in equilibrium, but point B represents a case when there is a common ion effect.
  • b)
    Point B has a greater concentration of ions dissolved than at point C. It would really help if this graph had a title and the solubility product of of AgCl were given.
  • c)
    Point E has the greatest concentration of ions dissolved.
  • d)
    Point D has a greater concentration of chloride ions dissolved than at point A, but both points have the same Ksp value.
Correct answer is option 'A'. Can you explain this answer?

Orion Classes answered
This is a graph of the inverse relationship between Agand Cl⁻, as expressed by the solubility product constant expression, Ksp = (Ag+)(Cl⁻).
All the points that make up the graph represents all the possible concentrations of Agand Cl⁻ such that their product equals Ksp
Any points above or to the right of the graph would produce ion products of supersaturated solutions (Q > Ksp). Any points below or to the left of the graph would produce ion products of unsaturated solutions (Q < Ksp).
Point D does have a greater concentration of chloride ions dissolved than point A, but only point D has a Ksp value.
Point E does not have the greatest concentration of ions dissolved, but point C. It is the only point that is the supersaturated area.
Point B does not have a greater concentration of ions dissolved than at point C since point C is a supersaturated solution.
Points B and D are both in equilibrium since they lie on the graph. Point B could represent the case where there is an existing concentration of Ag+ in the solution. Point D represents the point where the two ion concentrations are equal.

Which of the following conditions will allow cupric hydroxide to dissolve in a saturated solution of Cu(OH)2?
  • a)
    Increasing the pH of the solution
  • b)
    Adding copper phosphate to the solution
  • c)
    Adding sodium hydroxide to the solution
  • d)
    Adding ammonia to the solution
Correct answer is option 'D'. Can you explain this answer?

Ayesha Joshi answered
Apply Le Châtelier’s principle to the below solubility equilibrium. Depending on the stress that is applied on the system, more may precipitate or dissolve.
By adding NaOH to the solution, the concentration of hydroxide ion will increase. When the concentration of a product increases, the reaction shifts back to the left, and here, more Cu(OH)2 will precipitate.
By adding copper phosphate to the solution, there will be little effect on the equilibrium since Cu3(PO4)2 is an insoluble solid.
Increasing the pH is the same as increasing the basicity, which can be achieved by adding more hydroxide ion or removing hydronium ion. In either case, more Cu(OH)will not dissolve.
The goal of adding ammonia was not to increase the basicity of the solution, but act as a ligand that binds to a central metal atom to form a coordination complex. The halides and pseudohalides are important anionic ligands whereas ammonia, carbon monoxide, and water are common charge-neutral ligands.
By adding ammonia to the solution, copper forms a complex ion with ammonia to become the copper ammine complex [Cu(NH3)4]2+. This will remove Cu2+ from the solution, and more Cu(OH)2 will dissolve.
The correct answer is to add ammonia to the solution to allow more cupric hydroxide to dissolve.

Based on the solubility product constants below, what is the correct order of the following hydroxide solutions in increasing pH?
  • a)
    III →  I →  II →  IV
  • b)
    III →  lI →  I →  IV
  • c)
    IV →  I →  II →  III
  • d)
    IV →  II →  I →  III
Correct answer is option 'B'. Can you explain this answer?

Orion Classes answered
The temptation is to use the solubility product constants (Ksp) as a direct measure of concentration, but the proper method is to compare the molar solubilities. Ksp values can be used when all the compounds dissociate into the same number of ions, but since the solids here dissociate into a different number of ions, the molar solubilities should be calculated.
Here is a shortcut to determine the rank without much math. Divide the exponent by the number of ions to give you a rough estimate of the magnitude of the negative exponent. For instance, for compound I, divide -22 by 4 to obtain -5.5.
Continue for the rest of the compounds. For compound II, divide -22 by 3 to get -7.3. For compound III, divide -39 by 4 to get -9.75. For compound IV, divide -13 by 3 to get -4.3. If the powers are within one of each other, then the shortcut should not be used but rather the full math.
Remember that these numbers represent negative exponents. Depending on what the question is asking for, the correct order can be IV →  I →  II →  III or III →→right arrow III →  lI →  I →  IV
The question stem is asking for increasing pH, which means increasing basicity or OH⁻ concentration. Compound III has a molar solubility of about 10−9.75 while compound IV about 10−4.3
Since compound III has the lowest molar solubility, the correct order is the following: III →  lI →  I →  IV

AgBr is a sparingly soluble salt and has a Ksp value of 5 x 10−13 By adding thiosulfate, we are able to dramatically increase the solubility of AgBr. Given the equation and equilibrium constant below, what is the formation constant (Kf) of the complex ion [Ag(S2O3)2]2-?,
  • a)
    6.7 x 1012
  • b)
    3.0 x 1013
  • c)
    7.5 x 10-12
  • d)
    15
Correct answer is option 'B'. Can you explain this answer?

Orion Classes answered
Let’s write out the equation for the solubility product constant:
The formation reaction of a complex ion consists of the metal ion and the ligands on the reactant side and the complex ion on the product side:
Combining the two equations together produces the original equation:
When adding or combining equations together, the equilibrium constants must be multiplied. So here is the correct answer:

Which of the following statements most accurately describes the data in the following chart depicting solubility of various compounds in water at varying temperatures?
  • a)
    The solubility of solids increases as temperature increases because the dissolution of solids is an exothermic process.
  • b)
    The solubility of gases decreases as temperature increases because the dissolution of gas is an endothermic process.
  • c)
    The solubility of HCl decreases due to the extensive hydrogen bonding that occurs between HCl molecules.
  • d)
    The solubility of cesium sulfate decreases since the enthalpy of hydration releases more heat than is needed for the lattice dissociation energy.
Correct answer is option 'D'. Can you explain this answer?

Orion Classes answered
If we look at the chart, all the gases (HCl and NH3) decreases in solubility as the temperature increases. When gases dissolve in a liquid, it is an exothermic process due to the latent heat released when the gas is brought from the gaseous to liquid or aqueous phase.
As for HCl, there is no hydrogen bonding since only F, O, and N can H-bond. Additionally, gas molecules do not H-bond since the particles are far apart.
Most of the solids increases its solubility as the temperature increase because the dissolution of solids is an endothermic process. Heat would be on the reactant side, and by adding more reactant, the equilibrium shifts to the right.
When considering the dissolution of solids, there are 2 possibilities: endothermic and exothermic. When dissolution is exothermic, more will not dissolve when the temperature increases.
For cesium sulfate, the heat released when new bonds are formed between the ions and water molecules or the enthalpy of hydration is very exothermic. It exceeds the energy required to break the lattice, which is equal to the lattice energy.
The correct answer is that the solubility of cesium sulfate decreases since the enthalpy of hydration releases more heat than is needed for the lattice dissociation energy.

Which of the following compounds will not create a precipitate upon addition into a saturated solution of potassium nitrate?
  • a)
    KOH
  • b)
    Ag2SO4
  • c)
    Hg2(NO3)2
  • d)
    NH4NO3
Correct answer is option 'B'. Can you explain this answer?

Evelyn Clark answered
Understanding Precipitation Reactions
In saturated solutions, the solubility of salts is at its maximum. When another compound is added, it can either remain dissolved or form a precipitate. The formation of a precipitate depends on the solubility of the resultant salt.
Analyzing the Compounds
- KOH:
- Potassium hydroxide is soluble in water. In the presence of potassium nitrate, it can react to form soluble potassium nitrate and a hydroxide ion, so no precipitate is formed.
- Ag2SO4:
- Silver sulfate is only moderately soluble in water. When added to a saturated potassium nitrate solution, it can lead to the formation of insoluble silver salts (like AgNO3), resulting in a precipitate.
- Hg2(NO3)2:
- Mercury(I) nitrate is also soluble. However, in specific conditions, it can lead to the formation of insoluble mercury salts when reacting with other compounds in the solution, potentially causing precipitation.
- NH4NO3:
- Ammonium nitrate is highly soluble and will not cause any precipitation when added to a saturated potassium nitrate solution since both nitrates remain dissolved.
Conclusion
The correct answer is option B (Ag2SO4), as it can lead to the formation of a precipitate due to the low solubility of silver salts in comparison to the other compounds listed. Therefore, adding Ag2SO4 leads to the formation of a precipitate in a saturated potassium nitrate solution.

Based on general solubility rules, which of the following compounds is considered soluble?
  • a)
    Cs2CrO4
  • b)
    PbCl2
  • c)
    Al(OH)3
  • d)
    CaSO4
Correct answer is option 'A'. Can you explain this answer?

Ayesha Joshi answered
CASH-N-GIA is a mnemonic for solubility rules. Chlorates, Acetates, Sulfates, Halides (not Fluorides), Nitrates, Group I metals, Ammonium. These compounds are generally soluble.
Lead chloride, PbCl2 is a halide or chloride, but it is one of the exceptions which include mercury Hg22+, silver Ag+, and lead Pb2+. Think HAPpy.
Calcium sulfate, CaSO4, is a sulfate, but it is one of the exceptions which include the HAPpy group from above, but also CBS for the Group II metals, calcium Ca2+, barium Ba2+, and strontium Sr2+.
The hydroxides are not part of CASHNGIA and should be considered insoluble. The expected exceptions are the Group I metals and ammonium. Aluminum hydroxide, Al(OH)3, therefore, is considered insoluble.
The chromates are also not part of CASHNGIA, but cesium Cs is a Group I metal, and therefore, caesium chromate, Cs2CrO4 is considered soluble.
The correct answer is Cs2CrO4.

Which of the following statements most accurately describes the solubility product constant?
  • a)
    The most direct measure of how much a solid dissolves is the solubility product constant.
  • b)
    When the solubility product is greater than the ion product, the solution is considered supersaturated.
  • c)
    The molar solubility of a solid is always less than the solubility product constant.
  • d)
    Each concentration in the Ksp expression is raised to the power of the charge of the opposing ion.
Correct answer is option 'D'. Can you explain this answer?

Ayesha Joshi answered
The direct measure of how much solid dissolves is the molar solubility which is expressed in moles solute per liter of solution. The solubility product constant represents the product of the concentrations of the ions present in solution.
The ion product is the product of the concentrations of the ions at any moment in time. When the ion product is greater than the solubility product constant, the solution is considered unsaturated
The molar solubility is always greater than the solubility product constant. Since we are dealing only with sparingly soluble solutes, the constant is expressed with negative exponents. Multiplying two numbers with negative exponents will always yield a smaller number.
Each concentration in the Ksp expression is raised to the stoichiometric coefficient, which happens to the same as the power of the charge of the opposing ion.

Chapter doubts & questions for Solubility Equilibria - General Chemistry for MCAT 2025 is part of MCAT exam preparation. The chapters have been prepared according to the MCAT exam syllabus. The Chapter doubts & questions, notes, tests & MCQs are made for MCAT 2025 Exam. Find important definitions, questions, notes, meanings, examples, exercises, MCQs and online tests here.

Chapter doubts & questions of Solubility Equilibria - General Chemistry for MCAT in English & Hindi are available as part of MCAT exam. Download more important topics, notes, lectures and mock test series for MCAT Exam by signing up for free.

General Chemistry for MCAT

164 videos|11 docs|16 tests

Top Courses MCAT