All Exams  >   NEET  >   NEET Mock Test Series - Updated 2026 Pattern  >   All Questions

All questions of Physics: Topic-wise Test for NEET Exam

An athlete completes one round of a circular track of radius R in 40 seconds. The displacement at the end of 2 minutes 20 seconds is
  • a)
    0
  • b)
    2R
  • c)
  • d)
Correct answer is option 'B'. Can you explain this answer?

2 min 20 second = 140 second.
he completed one round in 40 second.
in 140 second, he will cover= 140/40=3.5 round.
after 3.5 round, he would be on the opposite side of the starting point. 
So the displacement will be the diameter or 2R.

A man walks over a rough surface; the angle between force of friction and the instantaneous velocity of the person is
  • a)
    π
  • b)
    π/2
  • c)
  • d)
    zero
Correct answer is option 'D'. Can you explain this answer?

Anjali Iyer answered
The correct option is D zero
Instantaneous velocity will be in forward direction.
When the man push the ground to move then its the friction which oppose the man from slipping so its the friction which help us to move on ground means the friction is in the direction of motion i.e., in forward direction.
So the angle is 00 means zero
Justification-
At smooth surfaces like that if an ice slab, when we push it to move forward our feet slip backward due to lack of forward friction.

A body slides down a smooth curved track which is one quadrant of a circle having radius 10 m. The speed of the body at the bottom of the track is:
  • a)
  • b)
    10 m/s
  • c)
    2 m/s
  • d)
    None of these
Correct answer is option 'A'. Can you explain this answer?

Surya answered
Yes option A is correct answer. u can get the answer by applying conservation of energy; KEf+PEf=KE+PE 1/2mv^2+0=0+mgh solve u get; v^2=2×g×h v=√2×10×10 v=√200 therefore. V=10√2 m/s....hope u clear...😊👍...

An engine pumps up 100 kg of water through a height of 10m in 5 sec then if the efficiency of the engine os 60% then calculate the power of the engine where g = 10m/s
  • a)
    33 kW
  • b)
    3.3 kW
  • c)
    0.33 kW
  • d)
    0.033 kW
Correct answer is option 'B'. Can you explain this answer?

Rohan Singh answered
Output power = mgh/t
= 100 kg x 10 m/s^2 x 10 m / 5 s
= 2 x 10^3 Watt
= 2 kW

Effeciency = [(Output power) / (Input power)] x 100
60 = [2 kW / (Input power)] x 100
Input power = 3.33 kW

Power of engine is 3.33 kW

In case of uniform circular motion which of the 
following physical quantities do not remain 
constant?
 
  • a)
    speed
  • b)
    kinetic energy
  • c)
    angular momentum
  • d)
    momentum
Correct answer is option 'D'. Can you explain this answer?

Change in direction of velocity means the velocity is changing (no matter whether it's magnitude changes or not). So linear momentum is not a constant in circular motion. But it is possible to have a uniform acceleration in circular motion if we keep the rate of change in velocity is constant.

A block of mass 4 kg is placed on a rough horizontal 
plane. A time dependent force 

F = kt^2

 acts on the 
block, where 

k = 2 N/s^2

 Force of friction between 
block and the plane at t = 2 sec (given coefficient of friction is 0.3)
  • a)
    8N
  • b)
    4N
  • c)
    12N
  • d)
    zero
Correct answer is option 'A'. Can you explain this answer?

Rohit Shah answered
F = kt^2
F = 2t^2 --- k = 2
Fmax = μmg
= (0.8) (4) (10)
= 32 N
applied force = F = 2t^2
at t = 2s,       F = 2 (2)^2 = 8N
Hence body cannot move.
And force of friction between block and plane = applied farce = 8 N   

A particle moves along a straight line such that its 
displacement at any time is given by 
meters . Th e velocity when the 
acceleration is zero is
  • a)
    3
  • b)
    -12
  • c)
    42
  • d)
    -9
Correct answer is option 'D'. Can you explain this answer?

Rohan Singh answered
Velocity, v=  ds/dt=3t^2  -12 t+3
Acceleration a = ds/dt = 6t - 12; For a = 0 we have, 0 = 6 t - 12 or t= 2s. Hence, at t = 2 s the velocity will be 
v = 3 X 22 – 12X 2 + 3 = -9 ms-1 

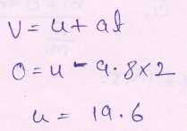
A helicopter flying at 20 m/s horizontally drops a 
rescue bag. Ignoring air resistance & taking g = 10
, the displacement of the bag 5 seconds after the 
drop began is nearly
  • a)
    100 m
  • b)
    125 m
  • c)
    160 m
  • d)
    225 m
Correct answer is option 'C'. Can you explain this answer?

And assuming the bag falls vertically, the bag will accelerate downwards at a rate of 9.8 m/s^2 (acceleration due to gravity).

Using the formula for distance traveled under constant acceleration:

d = 1/2at^2

where d is the distance, a is the acceleration, and t is the time,

we can calculate the time it takes for the bag to reach the ground:

d = 1/2at^2
d = 1/2(9.8)(t^2)
d = 4.9t^2

When the bag is dropped, it has an initial velocity of 0 m/s in the vertical direction. The final velocity when it hits the ground will be the maximum velocity it reaches due to gravity, which we can calculate using the formula:

vf = vi + at

where vf is the final velocity, vi is the initial velocity, a is the acceleration, and t is the time.

Since the bag is dropped from rest, vi = 0, so:

vf = at

vf = 9.8t

We can now use the fact that the horizontal velocity of the helicopter does not affect the vertical motion of the bag, and the time it takes for the bag to fall to the ground is the same as the time it takes for the helicopter to travel a horizontal distance of 20 meters.

Using the formula for distance traveled at constant velocity:

d = vt

where d is the distance, v is the velocity, and t is the time,

we can solve for t:

20 = 20t

t = 1 second

Therefore, the bag will hit the ground after 1 second of falling, and its final velocity will be:

vf = 9.8(1)

vf = 9.8 m/s

Note that if the bag were dropped from a higher altitude, it would take longer to reach the ground and would have a higher final velocity due to the longer time of acceleration.

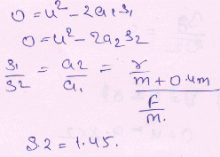
When the angular velocity of a uniformly rotating 
body has increased thrice, the resultant of forces 
applied to it increase by 60 N. Find the acceleration 
of the body in the two cases. The mass of the 
body, m=3kg
  • a)
    2.5 
     , 7.5 
  • b)
    7.5 
     , 22.5 
  • c)
    , 45 
  • d)
    2.5 
     , 22.5 
Correct answer is option 'D'. Can you explain this answer?

Dipanjan Malik answered
Given:
m = 3 kg (mass of the body)
Let the initial angular velocity of the body be w1 and the final angular velocity be w2.
Let the initial resultant force applied be F1 and the final resultant force be F2.

Formula used:
For a uniformly rotating body, the angular velocity is given by: w = v/r, where v is the tangential velocity and r is the radius of rotation.
The tangential acceleration of a rotating body is given by: a = rα, where α is the angular acceleration.
The resultant force acting on a body is given by: F = ma, where m is the mass of the body and a is the acceleration.

Calculation:
Let the initial angular velocity be w1.
So, the initial tangential velocity v1 = r*w1
Let the final angular velocity be w2.
So, the final tangential velocity v2 = r*w2

First case:
Initial angular velocity = w1
Final angular velocity = 3*w1
So, the final tangential velocity is v2 = r*(3*w1) = 3*(r*w1) = 3*v1

Acceleration in this case:
Tangential acceleration = (v2 - v1)/t, where t is the time taken to increase the angular velocity from w1 to 3*w1.
Since the body is uniformly rotating, the time taken to increase the angular velocity is the same as the time taken for one rotation.
So, t = 2*pi*r/v1
Substituting the values of v1 and t, we get:
Tangential acceleration = (3*v1 - v1)/(2*pi*r/v1) = 2*v1^2/(pi*r)

Resultant force in this case:
The final resultant force is F2 = m*a = 3*2*v1^2/(pi*r) = 6*v1^2/(pi*r)

Second case:
Initial angular velocity = w1
Final angular velocity = 3*w1
The final resultant force is increased by 60 N.
So, F2 = F1 + 60

Acceleration in this case:
Using the formula F = ma, we get:
m*a = F2 = F1 + 60
Substituting the values of F1 and F2, we get:
3*a = a + 60/3
2*a = 20
a = 10 m/s^2

So, the initial acceleration is a = 2.5 m/s^2 and the final acceleration is a = 3*2.5 = 7.5 m/s^2.

Therefore, option D is the correct answer.

Chapter doubts & questions for Physics: Topic-wise Test - NEET Mock Test Series - Updated 2026 Pattern 2025 is part of NEET exam preparation. The chapters have been prepared according to the NEET exam syllabus. The Chapter doubts & questions, notes, tests & MCQs are made for NEET 2025 Exam. Find important definitions, questions, notes, meanings, examples, exercises, MCQs and online tests here.

Chapter doubts & questions of Physics: Topic-wise Test - NEET Mock Test Series - Updated 2026 Pattern in English & Hindi are available as part of NEET exam. Download more important topics, notes, lectures and mock test series for NEET Exam by signing up for free.

Top Courses NEET

Related NEET Content