All Exams  >   JEE  >   JEE Main & Advanced Mock Test Series 2025  >   All Questions

All questions of JEE Main & Advanced (2015) for JEE Exam

The synthesis of alkyl fluorides is best accomplished by
  • a)
    Free radical fluorination
  • b)
    Sandmeyer's reaction
  • c)
    Finkelstein reaction
  • d)
    Swarts reaction
Correct answer is option 'D'. Can you explain this answer?

T.ttttt answered
The synthesis of alkyl fluorides is best accomplished by Swarts reaction.
Alkyl bromides or alkyl chlorides are heated in presence of metallifluorides such as AgF,CoF2​,SbF5​orHg2​F2​ to obtain alkyl fluorides.
CH3​−Cl+AgF→CH3​−F+AgCl

A signal of 5 kHz frequency is amplitude modulated on a carrier wave of frequency 2 MHz. The frequencies of the resultant signal is/are
  • a)
    2 MHz only
  • b)
    2005 kHz and 1995 kHz
  • c)
    2005 kHz, 2000 kHz and 1995 kHz
  • d)
    2000 kHz and 1995 kHz
Correct answer is option 'C'. Can you explain this answer?

Md Jisan answered
C, if the frequency of the carrier wave is Fc and the frequency of the modulating wave is Fm then we know that the original will be the same as Fc and the side bands will be (Fc+Fm)and (Fc -Fm) ,so finally we will able to get the solution

The % yield of ammonia as a function of time in the reaction
If this reaction is conducted at (P, T2), with T2 > T1, the % yield of ammonia as a function of time is
represented by
  • a)
  • b)
  • c)
  • d)
Correct answer is option 'B'. Can you explain this answer?

Krishna Iyer answered
Increasing the temperature lowers equilibrium yield of ammonia.
However, at higher temperature the initial rate of forward reaction would be greater than at lower
temperature that is why the percentage yield of NH3 too would be more initially.

Which of the following compounds is not colored yellow?
  • a)
    Zn2[Fe(CN)6]
  • b)
    K3[Co(NO2)6]
  • c)
    (NH4)3[As (Mo3O10)4]
  • d)
    BaCrO4
Correct answer is option 'A'. Can you explain this answer?

Chirag Verma answered
(NH4)3[As (Mo3O10)4], BaCrO4 and K3[Co(NO2)6] are yellow colored compounds but Zn2[Fe(CN)6] is not yellow colored compound.

​Which one has the highest boiling point?
  • a)
    He
  • b)
    Ne
  • c)
    Kr
  • d)
    Xe
Correct answer is option 'D'. Can you explain this answer?

Sanat Kumar answered
As we go down the group the atomic size increases, melting point n Boiling point increases. so,Here Xe is the very last element out there among the options given so the answer is Xe.

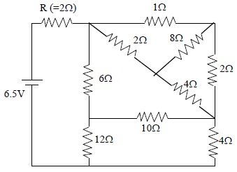
In the following circuit, the current through the resistor R (=2) is I Amperes. The value of I is
    Correct answer is '1'. Can you explain this answer?

    Vikas Saini answered
    1ohm/2ohm and 2ohm/4ohm are balanced wheat stone bridge,so 8ohm R will be removed then after solvinge them 2ohm R will come.Then 6ohm/12ohm And 2ohm/4ohm are in balanced wheat stone bridge then 10ohm resistance will be removed.Reff comes 6.5 ohm.I=V/R=6.5/6.5=1ANS

    In the long form of the periodic table, the valence shell electronic configuration of 5s2 5p4 corresponds to the element present in :
    • a)
      Group 16 and period 6
    • b)
      Group 17 and period 5
    • c)
      Group 16 and period 5
    • d)
      Group 17 and period 6
    Correct answer is option 'C'. Can you explain this answer?

    Shaurya Goel answered
    For finding the period and the group of an element whose valence orbital configuration is given-

    (i) Check the principal 'n' value. The 'n' value gives the period in which the element is present.

    Here 'n' is 5.
    Therefore, the element is present in the 5th period.

    (ii) Check the number of electrons in the valence shell.

    No. of electrons in the valence shell = 4 + 2 = 6

    Since the number of electrons is greater than 2, we must add 10 to get the group in which this element in present.

    So, 10 + 6 = 16

    Therefore, this element is present in the 16th group.

    Match the catalysts to the correct processes :
    Catalyst                 Process
    a. TiCl3          (i) Wacker process
    b. PdCl       (ii) Ziegler-Natta polymerization
    c. CuCl2        (iii) Contact process
    d. V2O5         (iv) Deacon's process
    • a)
      a(iii), b(ii), c(iv), d(i)
    • b)
      a(ii), b(i), c(iv), d(iii)
    • c)
      a(ii), b(iii), c(iv), d(i)
    • d)
      a(iii), b(i), c(ii), d(iv)
    Correct answer is option 'B'. Can you explain this answer?

    Akash Kumar answered
    You see the given reactions are direct reactions from ncert.However i'll give u a short idea about that all.

    TiCl3-- zeigler nata catalyst( used to prepare high demsity polythene also known as orlon)

    PdCl3-- it is a reagent in wakers process.we prepare aldehyde in this process.

    CuCl2-- it is a famous catalyst which is used to prepare chlorine gas.And the process is known as deccan process.

    V2O5--we use this catalyst in contact process to convert sulphur dioxide into sulphur trioxide to prapare a final product i.e, sulphuric acid.

    The area (in sq. units) of the quadrilateral formed by the tangents at the end points of the latera recta to the ellipse  , is
    • a)
      27/4
    • b)
      18
    • c)
      27/2
    • d)
      27
    Correct answer is option 'D'. Can you explain this answer?

    Aditya Oza answered
    . I can help you out with the objective approach . Once draw the diagram and you would find that the rectangle formed by the latus rectum with each other is fully enclosed by the asked quad. so obviously the req quad. will have larger area . find area of the rectangle formed by latus rectums and you would find it more than three options leaving out the correct option . Hope this would help . Ask me if you want the subjective approach too .
    Have a nice day :)

    When O2  is adsorbed on a metallic surface, electron transfer occurs from the metal to O2. The TRUE
    statement(s) regarding this adsorption is(are)
    • a)
      O2 is physisorbed
    • b)
      heat is released
    • c)
      occupancy of π*2p of O2 is increased
    • d)
      bond length of O2 is increased
    Correct answer is option 'B,C,D'. Can you explain this answer?

    Disha Khanna answered
    * Adsorption of O2 on metal surface is exothermic.
    * During electron transfer from metal to O2 electron occupies π*2p orbital of O2.
    * Due to electron transfer to O2 the bond order of O2 decreases hence bond length increases

    The least value of the product xyz for which the determinant  is non-negative, is :
    • a)
      - 2√2
    • b)
      - 16√2
    • c)
      - 8
    • d)
      - 1
    Correct answer is option 'C'. Can you explain this answer?

    Saanket Mondal answered
    On solving, xyz-x-y-z+2 is value of the determinant. It is non negative also. Thus xyz-x-y-z+2=0(least non negative)

    So xyz-(x+y+z)=-2
    By hit and trial method, we can see x=y=z=-2 satisfies above equation. So xyz= -2×-2×-2=-8

    A block of mass m = 0.1 kg is connected to a spring of unknown spring constant k. It is compressed to a distance x from its equilibrium position and released from rest. After approaching half the distance (x/2) from equilibrium position, it hits another block and comes to rest momentarily, while the other block moves with a velocity 3 ms-1 . The total initial energy of the spring is :
    • a)
      1.5 J
    • b)
      0.6 J
    • c)
      0.3 J
    • d)
      0.8 J
    Correct answer is option 'B'. Can you explain this answer?

    Maya Chopra answered
    Given:
    - Mass of the block, m = 0.1 kg
    - Distance the spring is compressed, x
    - Velocity of the other block after collision, v = 3 m/s

    To find:
    Total initial energy of the spring

    Assumptions:
    - The collision between the two blocks is perfectly elastic, i.e., no energy is lost during the collision.
    - There is no external force acting on the system except gravity.

    Analysis:
    1. When the block is compressed to a distance x from its equilibrium position, it possesses potential energy due to the compressed spring.
    2. The potential energy stored in a spring is given by the formula: PE = (1/2)kx^2, where k is the spring constant.
    3. When the block is released, it starts oscillating back and forth around its equilibrium position.
    4. At the midpoint of its oscillation, i.e., when it is at a distance of x/2 from the equilibrium position, it comes to rest momentarily.
    5. At this point, all its potential energy has been converted into kinetic energy.
    6. The kinetic energy of an object is given by the formula: KE = (1/2)mv^2, where m is the mass of the object and v is its velocity.
    7. Since the block comes to rest momentarily, its velocity at that point is zero. Therefore, the kinetic energy at that point is also zero.
    8. At this point, the other block, with a velocity of 3 m/s, collides with the first block.
    9. Since the collision is perfectly elastic, the total kinetic energy of the system remains conserved.
    10. After the collision, the first block comes to rest and its kinetic energy becomes zero again.
    11. The total initial energy of the spring is equal to the sum of the potential energy and kinetic energy of the first block just before the collision.

    Solution:
    1. The potential energy of the spring at distance x is given by PE = (1/2)kx^2.
    2. At the midpoint of the oscillation, the block comes to rest and all its potential energy is converted into kinetic energy. Therefore, (1/2)k(x/2)^2 = (1/2)mv^2.
    3. Solving this equation for k, we get k = (m*v^2)/(x^2/4) = 4m*v^2/x^2.
    4. The total initial energy of the spring is given by the sum of potential energy and kinetic energy just before the collision.
    Total initial energy = PE + KE = (1/2)kx^2 + (1/2)mv^2.
    5. Substituting the value of k, we get Total initial energy = (1/2)(4m*v^2/x^2)*x^2 + (1/2)mv^2 = 2mv^2 + (1/2)mv^2 = 5/2mv^2.
    6. Substituting the given values, Total initial energy = (5/2)*(0.1)*(3)^2 = 0.6 J.

    Therefore, the correct answer is option 'B': 0.6 J.

    Chapter doubts & questions for JEE Main & Advanced (2015) - JEE Main & Advanced Mock Test Series 2025 2025 is part of JEE exam preparation. The chapters have been prepared according to the JEE exam syllabus. The Chapter doubts & questions, notes, tests & MCQs are made for JEE 2025 Exam. Find important definitions, questions, notes, meanings, examples, exercises, MCQs and online tests here.

    Chapter doubts & questions of JEE Main & Advanced (2015) - JEE Main & Advanced Mock Test Series 2025 in English & Hindi are available as part of JEE exam. Download more important topics, notes, lectures and mock test series for JEE Exam by signing up for free.

    Top Courses JEE

    Related JEE Content