Civil Engineering (CE) Exam  >  Civil Engineering (CE) Questions  >  Minimum percentage of tension steel required ... Start Learning for Free
Minimum percentage of tension steel required in an RCC beam for steel of grade Fe-415 is?
  • a)
    0.12
  • b)
    0.20
  • c)
    0.22
  • d)
    0.60
Correct answer is option 'B'. Can you explain this answer?
Verified Answer
Minimum percentage of tension steel required in an RCC beam for steel ...
View all questions of this test
Most Upvoted Answer
Minimum percentage of tension steel required in an RCC beam for steel ...
Minimum Percentage of Tension Steel in RCC Beam

The minimum percentage of tension steel required in an RCC beam for steel of grade Fe-415 is 0.20.

Explanation

The grade Fe-415 signifies the yield strength of the steel used in the beam is 415 N/mm². As per the Indian Standard Code IS 456:2000, the minimum percentage of steel reinforcement required for an RCC beam is calculated based on the following factors:

- The cross-sectional area of the beam
- The compressive strength of concrete
- The yield strength of steel reinforcement

Based on the above factors, the minimum percentage of tension steel required in an RCC beam for steel of grade Fe-415 is 0.20.

Conclusion

Hence, the minimum percentage of tension steel required in an RCC beam for steel of grade Fe-415 is 0.20. It is important to follow the guidelines mentioned in the Indian Standard Code IS 456:2000 to ensure the safety and stability of the structure.
Free Test
Community Answer
Minimum percentage of tension steel required in an RCC beam for steel ...
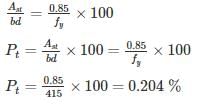
(0.85/415)*100=0.20
Explore Courses for Civil Engineering (CE) exam
Question Description
Minimum percentage of tension steel required in an RCC beam for steel of grade Fe-415 is?a)0.12b)0.20c)0.22d)0.60Correct answer is option 'B'. Can you explain this answer? for Civil Engineering (CE) 2025 is part of Civil Engineering (CE) preparation. The Question and answers have been prepared according to the Civil Engineering (CE) exam syllabus. Information about Minimum percentage of tension steel required in an RCC beam for steel of grade Fe-415 is?a)0.12b)0.20c)0.22d)0.60Correct answer is option 'B'. Can you explain this answer? covers all topics & solutions for Civil Engineering (CE) 2025 Exam. Find important definitions, questions, meanings, examples, exercises and tests below for Minimum percentage of tension steel required in an RCC beam for steel of grade Fe-415 is?a)0.12b)0.20c)0.22d)0.60Correct answer is option 'B'. Can you explain this answer?.
Solutions for Minimum percentage of tension steel required in an RCC beam for steel of grade Fe-415 is?a)0.12b)0.20c)0.22d)0.60Correct answer is option 'B'. Can you explain this answer? in English & in Hindi are available as part of our courses for Civil Engineering (CE). Download more important topics, notes, lectures and mock test series for Civil Engineering (CE) Exam by signing up for free.
Here you can find the meaning of Minimum percentage of tension steel required in an RCC beam for steel of grade Fe-415 is?a)0.12b)0.20c)0.22d)0.60Correct answer is option 'B'. Can you explain this answer? defined & explained in the simplest way possible. Besides giving the explanation of Minimum percentage of tension steel required in an RCC beam for steel of grade Fe-415 is?a)0.12b)0.20c)0.22d)0.60Correct answer is option 'B'. Can you explain this answer?, a detailed solution for Minimum percentage of tension steel required in an RCC beam for steel of grade Fe-415 is?a)0.12b)0.20c)0.22d)0.60Correct answer is option 'B'. Can you explain this answer? has been provided alongside types of Minimum percentage of tension steel required in an RCC beam for steel of grade Fe-415 is?a)0.12b)0.20c)0.22d)0.60Correct answer is option 'B'. Can you explain this answer? theory, EduRev gives you an ample number of questions to practice Minimum percentage of tension steel required in an RCC beam for steel of grade Fe-415 is?a)0.12b)0.20c)0.22d)0.60Correct answer is option 'B'. Can you explain this answer? tests, examples and also practice Civil Engineering (CE) tests.
Explore Courses for Civil Engineering (CE) exam

Top Courses for Civil Engineering (CE)

Explore Courses
Signup for Free!
Signup to see your scores go up within 7 days! Learn & Practice with 1000+ FREE Notes, Videos & Tests.
10M+ students study on EduRev