JEE Exam  >  JEE Questions  >  If 1,α1,α2 ,.......α99 are ... Start Learning for Free
If 1, α1, α2 ,.......α99 are roots of Z100 = 1 then equal to
  • a)
    0
  • b)
    1
  • c)
    99
  • d)
    100
Correct answer is option 'B'. Can you explain this answer?
Verified Answer
If 1,α1,α2 ,.......α99 are roots of Z100 = 1 thenequ...
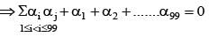
z100 - 1 = (z - 1)(z - α1) (z - α2) ...(z - α99) = 0
Sum of roots = 1 + α1 + α2 + ....+ α99 =0
Sum of roots taken two at a time = 0

View all questions of this test
Explore Courses for JEE exam
Question Description
If 1,α1,α2 ,.......α99 are roots of Z100 = 1 thenequal toa)0b)1c)99d)100Correct answer is option 'B'. Can you explain this answer? for JEE 2025 is part of JEE preparation. The Question and answers have been prepared according to the JEE exam syllabus. Information about If 1,α1,α2 ,.......α99 are roots of Z100 = 1 thenequal toa)0b)1c)99d)100Correct answer is option 'B'. Can you explain this answer? covers all topics & solutions for JEE 2025 Exam. Find important definitions, questions, meanings, examples, exercises and tests below for If 1,α1,α2 ,.......α99 are roots of Z100 = 1 thenequal toa)0b)1c)99d)100Correct answer is option 'B'. Can you explain this answer?.
Solutions for If 1,α1,α2 ,.......α99 are roots of Z100 = 1 thenequal toa)0b)1c)99d)100Correct answer is option 'B'. Can you explain this answer? in English & in Hindi are available as part of our courses for JEE. Download more important topics, notes, lectures and mock test series for JEE Exam by signing up for free.
Here you can find the meaning of If 1,α1,α2 ,.......α99 are roots of Z100 = 1 thenequal toa)0b)1c)99d)100Correct answer is option 'B'. Can you explain this answer? defined & explained in the simplest way possible. Besides giving the explanation of If 1,α1,α2 ,.......α99 are roots of Z100 = 1 thenequal toa)0b)1c)99d)100Correct answer is option 'B'. Can you explain this answer?, a detailed solution for If 1,α1,α2 ,.......α99 are roots of Z100 = 1 thenequal toa)0b)1c)99d)100Correct answer is option 'B'. Can you explain this answer? has been provided alongside types of If 1,α1,α2 ,.......α99 are roots of Z100 = 1 thenequal toa)0b)1c)99d)100Correct answer is option 'B'. Can you explain this answer? theory, EduRev gives you an ample number of questions to practice If 1,α1,α2 ,.......α99 are roots of Z100 = 1 thenequal toa)0b)1c)99d)100Correct answer is option 'B'. Can you explain this answer? tests, examples and also practice JEE tests.
Explore Courses for JEE exam

Top Courses for JEE

Explore Courses
Signup for Free!
Signup to see your scores go up within 7 days! Learn & Practice with 1000+ FREE Notes, Videos & Tests.
10M+ students study on EduRev