Mathematics Exam  >  Mathematics Questions  >  Consider the seriesthen its sum is equals to ... Start Learning for Free
Consider the series  then its sum is equals to _____.
    Correct answer is '0.5'. Can you explain this answer?
    Verified Answer
    Consider the seriesthen its sum is equals to _____.Correct answer is '...
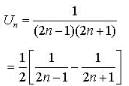
    Here,

    thus the sequence of partial sums is given by,

    thus the sum of series is 1/2.
    View all questions of this test
    Most Upvoted Answer
    Consider the seriesthen its sum is equals to _____.Correct answer is '...
    Free Test
    Community Answer
    Consider the seriesthen its sum is equals to _____.Correct answer is '...
    Here,

    thus the sequence of partial sums is given by,

    thus the sum of series is 1/2.
    Explore Courses for Mathematics exam
    Question Description
    Consider the seriesthen its sum is equals to _____.Correct answer is '0.5'. Can you explain this answer? for Mathematics 2025 is part of Mathematics preparation. The Question and answers have been prepared according to the Mathematics exam syllabus. Information about Consider the seriesthen its sum is equals to _____.Correct answer is '0.5'. Can you explain this answer? covers all topics & solutions for Mathematics 2025 Exam. Find important definitions, questions, meanings, examples, exercises and tests below for Consider the seriesthen its sum is equals to _____.Correct answer is '0.5'. Can you explain this answer?.
    Solutions for Consider the seriesthen its sum is equals to _____.Correct answer is '0.5'. Can you explain this answer? in English & in Hindi are available as part of our courses for Mathematics. Download more important topics, notes, lectures and mock test series for Mathematics Exam by signing up for free.
    Here you can find the meaning of Consider the seriesthen its sum is equals to _____.Correct answer is '0.5'. Can you explain this answer? defined & explained in the simplest way possible. Besides giving the explanation of Consider the seriesthen its sum is equals to _____.Correct answer is '0.5'. Can you explain this answer?, a detailed solution for Consider the seriesthen its sum is equals to _____.Correct answer is '0.5'. Can you explain this answer? has been provided alongside types of Consider the seriesthen its sum is equals to _____.Correct answer is '0.5'. Can you explain this answer? theory, EduRev gives you an ample number of questions to practice Consider the seriesthen its sum is equals to _____.Correct answer is '0.5'. Can you explain this answer? tests, examples and also practice Mathematics tests.
    Explore Courses for Mathematics exam

    Top Courses for Mathematics

    Explore Courses
    Signup for Free!
    Signup to see your scores go up within 7 days! Learn & Practice with 1000+ FREE Notes, Videos & Tests.
    10M+ students study on EduRev