JEE Exam  >  JEE Questions  >  One mole of an ideal monatomic gas is taken a... Start Learning for Free
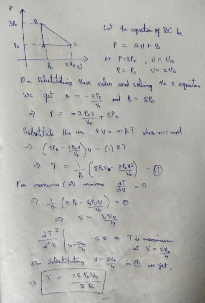
One mole of an ideal monatomic gas is taken along the path ABCA as shown in the PV diagram. The maximum temperature attained by the gas along the path BC is given by :
  • a)
  • b)
  • c)
  • d)
Correct answer is option 'C'. Can you explain this answer?
Verified Answer
One mole of an ideal monatomic gas is taken along the path ABCA as sho...
Equation of line BC 







View all questions of this test
Most Upvoted Answer
One mole of an ideal monatomic gas is taken along the path ABCA as sho...
Free Test
Community Answer
One mole of an ideal monatomic gas is taken along the path ABCA as sho...
Equation of line BC 







Explore Courses for JEE exam
Question Description
One mole of an ideal monatomic gas is taken along the path ABCA as shown in the PV diagram. The maximum temperature attained by the gas along the path BC is given by :a)b)c)d)Correct answer is option 'C'. Can you explain this answer? for JEE 2025 is part of JEE preparation. The Question and answers have been prepared according to the JEE exam syllabus. Information about One mole of an ideal monatomic gas is taken along the path ABCA as shown in the PV diagram. The maximum temperature attained by the gas along the path BC is given by :a)b)c)d)Correct answer is option 'C'. Can you explain this answer? covers all topics & solutions for JEE 2025 Exam. Find important definitions, questions, meanings, examples, exercises and tests below for One mole of an ideal monatomic gas is taken along the path ABCA as shown in the PV diagram. The maximum temperature attained by the gas along the path BC is given by :a)b)c)d)Correct answer is option 'C'. Can you explain this answer?.
Solutions for One mole of an ideal monatomic gas is taken along the path ABCA as shown in the PV diagram. The maximum temperature attained by the gas along the path BC is given by :a)b)c)d)Correct answer is option 'C'. Can you explain this answer? in English & in Hindi are available as part of our courses for JEE. Download more important topics, notes, lectures and mock test series for JEE Exam by signing up for free.
Here you can find the meaning of One mole of an ideal monatomic gas is taken along the path ABCA as shown in the PV diagram. The maximum temperature attained by the gas along the path BC is given by :a)b)c)d)Correct answer is option 'C'. Can you explain this answer? defined & explained in the simplest way possible. Besides giving the explanation of One mole of an ideal monatomic gas is taken along the path ABCA as shown in the PV diagram. The maximum temperature attained by the gas along the path BC is given by :a)b)c)d)Correct answer is option 'C'. Can you explain this answer?, a detailed solution for One mole of an ideal monatomic gas is taken along the path ABCA as shown in the PV diagram. The maximum temperature attained by the gas along the path BC is given by :a)b)c)d)Correct answer is option 'C'. Can you explain this answer? has been provided alongside types of One mole of an ideal monatomic gas is taken along the path ABCA as shown in the PV diagram. The maximum temperature attained by the gas along the path BC is given by :a)b)c)d)Correct answer is option 'C'. Can you explain this answer? theory, EduRev gives you an ample number of questions to practice One mole of an ideal monatomic gas is taken along the path ABCA as shown in the PV diagram. The maximum temperature attained by the gas along the path BC is given by :a)b)c)d)Correct answer is option 'C'. Can you explain this answer? tests, examples and also practice JEE tests.
Explore Courses for JEE exam

Top Courses for JEE

Explore Courses
Signup for Free!
Signup to see your scores go up within 7 days! Learn & Practice with 1000+ FREE Notes, Videos & Tests.
10M+ students study on EduRev