JEE Exam  >  JEE Questions  >  Let P be a point on the parabola, x2 = 4y. If... Start Learning for Free
Let P be a point on the parabola, x2 = 4y. If the distance of P from the centre of the circle, x2 + y2 + 6x + 8 = 0 is minimum, then the equation of the tangent to the parabola at P, is :
  • a)
    x + y + 1 = 0
  • b)
    x + 4y – 2 = 0
  • c)
    x + 2y = 0
  • d)
    x – y + 3 = 0
Correct answer is option 'A'. Can you explain this answer?
Most Upvoted Answer
Let P be a point on the parabola, x2 = 4y. If the distance of P from t...
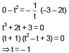
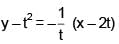
Let P (2t, t2
equation normal at P to x2 = 4y be 

it passes through (–3,0) 

Point P is (–2,1) 
equation of tangent to x2 = 4y at (–2,1) 
x(–2) = 2 (y + 1) 
x + y + 1 = 0 
Free Test
Community Answer
Let P be a point on the parabola, x2 = 4y. If the distance of P from t...
Explore Courses for JEE exam
Question Description
Let P be a point on the parabola, x2 = 4y. If the distance of P from the centre of the circle, x2 + y2 + 6x + 8 = 0 is minimum, then the equation of the tangent to the parabola at P, is :a)x + y + 1 = 0b)x + 4y – 2 = 0c)x + 2y = 0d)x – y + 3 = 0Correct answer is option 'A'. Can you explain this answer? for JEE 2025 is part of JEE preparation. The Question and answers have been prepared according to the JEE exam syllabus. Information about Let P be a point on the parabola, x2 = 4y. If the distance of P from the centre of the circle, x2 + y2 + 6x + 8 = 0 is minimum, then the equation of the tangent to the parabola at P, is :a)x + y + 1 = 0b)x + 4y – 2 = 0c)x + 2y = 0d)x – y + 3 = 0Correct answer is option 'A'. Can you explain this answer? covers all topics & solutions for JEE 2025 Exam. Find important definitions, questions, meanings, examples, exercises and tests below for Let P be a point on the parabola, x2 = 4y. If the distance of P from the centre of the circle, x2 + y2 + 6x + 8 = 0 is minimum, then the equation of the tangent to the parabola at P, is :a)x + y + 1 = 0b)x + 4y – 2 = 0c)x + 2y = 0d)x – y + 3 = 0Correct answer is option 'A'. Can you explain this answer?.
Solutions for Let P be a point on the parabola, x2 = 4y. If the distance of P from the centre of the circle, x2 + y2 + 6x + 8 = 0 is minimum, then the equation of the tangent to the parabola at P, is :a)x + y + 1 = 0b)x + 4y – 2 = 0c)x + 2y = 0d)x – y + 3 = 0Correct answer is option 'A'. Can you explain this answer? in English & in Hindi are available as part of our courses for JEE. Download more important topics, notes, lectures and mock test series for JEE Exam by signing up for free.
Here you can find the meaning of Let P be a point on the parabola, x2 = 4y. If the distance of P from the centre of the circle, x2 + y2 + 6x + 8 = 0 is minimum, then the equation of the tangent to the parabola at P, is :a)x + y + 1 = 0b)x + 4y – 2 = 0c)x + 2y = 0d)x – y + 3 = 0Correct answer is option 'A'. Can you explain this answer? defined & explained in the simplest way possible. Besides giving the explanation of Let P be a point on the parabola, x2 = 4y. If the distance of P from the centre of the circle, x2 + y2 + 6x + 8 = 0 is minimum, then the equation of the tangent to the parabola at P, is :a)x + y + 1 = 0b)x + 4y – 2 = 0c)x + 2y = 0d)x – y + 3 = 0Correct answer is option 'A'. Can you explain this answer?, a detailed solution for Let P be a point on the parabola, x2 = 4y. If the distance of P from the centre of the circle, x2 + y2 + 6x + 8 = 0 is minimum, then the equation of the tangent to the parabola at P, is :a)x + y + 1 = 0b)x + 4y – 2 = 0c)x + 2y = 0d)x – y + 3 = 0Correct answer is option 'A'. Can you explain this answer? has been provided alongside types of Let P be a point on the parabola, x2 = 4y. If the distance of P from the centre of the circle, x2 + y2 + 6x + 8 = 0 is minimum, then the equation of the tangent to the parabola at P, is :a)x + y + 1 = 0b)x + 4y – 2 = 0c)x + 2y = 0d)x – y + 3 = 0Correct answer is option 'A'. Can you explain this answer? theory, EduRev gives you an ample number of questions to practice Let P be a point on the parabola, x2 = 4y. If the distance of P from the centre of the circle, x2 + y2 + 6x + 8 = 0 is minimum, then the equation of the tangent to the parabola at P, is :a)x + y + 1 = 0b)x + 4y – 2 = 0c)x + 2y = 0d)x – y + 3 = 0Correct answer is option 'A'. Can you explain this answer? tests, examples and also practice JEE tests.
Explore Courses for JEE exam

Top Courses for JEE

Explore Courses
Signup for Free!
Signup to see your scores go up within 7 days! Learn & Practice with 1000+ FREE Notes, Videos & Tests.
10M+ students study on EduRev