JEE Exam  >  JEE Questions  >  The marks obtained by 60 students in a certai... Start Learning for Free
The marks obtained by 60 students in a certain test are given below:

Median of the above data is
  • a)
    68.33
  • b)
    70
  • c)
    68.11
  • d)
    None of these
Correct answer is option 'A'. Can you explain this answer?
Most Upvoted Answer
The marks obtained by 60 students in a certain test are given below:Me...
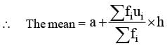
We construct the followin g table taking assumed mean a = 55 (step deviation method).



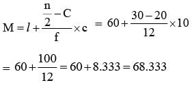
Here n = 60 ⇒ n/2 = 30 therefore, 60–70 is
the median class
Using the formula :
Free Test
Community Answer
The marks obtained by 60 students in a certain test are given below:Me...
We construct the followin g table taking assumed mean a = 55 (step deviation method).



Here n = 60 ⇒ n/2 = 30 therefore, 60–70 is
the median class
Using the formula :
Explore Courses for JEE exam
Question Description
The marks obtained by 60 students in a certain test are given below:Median of the above data isa)68.33b)70c)68.11d)None of theseCorrect answer is option 'A'. Can you explain this answer? for JEE 2025 is part of JEE preparation. The Question and answers have been prepared according to the JEE exam syllabus. Information about The marks obtained by 60 students in a certain test are given below:Median of the above data isa)68.33b)70c)68.11d)None of theseCorrect answer is option 'A'. Can you explain this answer? covers all topics & solutions for JEE 2025 Exam. Find important definitions, questions, meanings, examples, exercises and tests below for The marks obtained by 60 students in a certain test are given below:Median of the above data isa)68.33b)70c)68.11d)None of theseCorrect answer is option 'A'. Can you explain this answer?.
Solutions for The marks obtained by 60 students in a certain test are given below:Median of the above data isa)68.33b)70c)68.11d)None of theseCorrect answer is option 'A'. Can you explain this answer? in English & in Hindi are available as part of our courses for JEE. Download more important topics, notes, lectures and mock test series for JEE Exam by signing up for free.
Here you can find the meaning of The marks obtained by 60 students in a certain test are given below:Median of the above data isa)68.33b)70c)68.11d)None of theseCorrect answer is option 'A'. Can you explain this answer? defined & explained in the simplest way possible. Besides giving the explanation of The marks obtained by 60 students in a certain test are given below:Median of the above data isa)68.33b)70c)68.11d)None of theseCorrect answer is option 'A'. Can you explain this answer?, a detailed solution for The marks obtained by 60 students in a certain test are given below:Median of the above data isa)68.33b)70c)68.11d)None of theseCorrect answer is option 'A'. Can you explain this answer? has been provided alongside types of The marks obtained by 60 students in a certain test are given below:Median of the above data isa)68.33b)70c)68.11d)None of theseCorrect answer is option 'A'. Can you explain this answer? theory, EduRev gives you an ample number of questions to practice The marks obtained by 60 students in a certain test are given below:Median of the above data isa)68.33b)70c)68.11d)None of theseCorrect answer is option 'A'. Can you explain this answer? tests, examples and also practice JEE tests.
Explore Courses for JEE exam

Top Courses for JEE

Explore Courses
Signup for Free!
Signup to see your scores go up within 7 days! Learn & Practice with 1000+ FREE Notes, Videos & Tests.
10M+ students study on EduRev