Railways Exam  >  Railways Questions  >   The equivalent stiffness of two springs of s... Start Learning for Free
The equivalent stiffness of two springs of stiffness S1 and S2 joined in series is given by:
  • a)
    S1S2/(S1 + S2)
  • b)
    (S1/S2) × (S1 + S2)
  • c)
    S1 + S2
  • d)
    S1S2
Correct answer is option 'A'. Can you explain this answer?
Verified Answer
The equivalent stiffness of two springs of stiffness S1 and S2 joined...
Equivalent stiffness of spring for series combination
Equivalent stiffness of spring for parallel combination:
Seq = S1 + S2
View all questions of this test
Most Upvoted Answer
The equivalent stiffness of two springs of stiffness S1 and S2 joined...
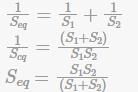
Equivalent stiffness of two springs in series:
When two springs are joined in series, their equivalent stiffness can be calculated using the formula:

Equivalent stiffness (Se) = S1 * S2 / (S1 + S2)

Where,
S1 = Stiffness of the first spring
S2 = Stiffness of the second spring

Now, let's understand why the correct answer is option 'A'.

Explanation:

To find the equivalent stiffness of two springs joined in series, we need to consider how the springs behave when they are connected in this manner.

When springs are connected in series, they experience the same force. The total displacement of the springs is the sum of their individual displacements.

Let's consider the displacements of the two springs as x1 and x2 respectively. The force acting on each spring can be calculated using Hooke's law:

Force1 = S1 * x1
Force2 = S2 * x2

Since the force acting on both springs is the same (as they are connected in series), we can equate the forces:

S1 * x1 = S2 * x2

Now, let's find the equivalent stiffness (Se) using the definition of stiffness:

Se = Force / Displacement

For the equivalent stiffness of the two springs in series, we can write:

Se = (S1 * x1 + S2 * x2) / (x1 + x2)

Now, let's simplify the equation further:

Se = (S1 * x1 + S2 * x2) / (x1 + x2)
= (S1 * (x1 + x2) + S2 * (x1 + x2)) / (x1 + x2)
= (S1 + S2) * (x1 + x2) / (x1 + x2)
= S1 + S2

So, the equivalent stiffness (Se) of two springs joined in series is given by S1 + S2, which corresponds to option 'A': S1S2/(S1 + S2).

Hence, option 'A' is the correct answer.
Explore Courses for Railways exam
Question Description
The equivalent stiffness of two springs of stiffness S1 and S2 joined in series is given by:a)S1S2/(S1 + S2)b)(S1/S2) × (S1 + S2)c)S1 + S2d)S1S2Correct answer is option 'A'. Can you explain this answer? for Railways 2025 is part of Railways preparation. The Question and answers have been prepared according to the Railways exam syllabus. Information about The equivalent stiffness of two springs of stiffness S1 and S2 joined in series is given by:a)S1S2/(S1 + S2)b)(S1/S2) × (S1 + S2)c)S1 + S2d)S1S2Correct answer is option 'A'. Can you explain this answer? covers all topics & solutions for Railways 2025 Exam. Find important definitions, questions, meanings, examples, exercises and tests below for The equivalent stiffness of two springs of stiffness S1 and S2 joined in series is given by:a)S1S2/(S1 + S2)b)(S1/S2) × (S1 + S2)c)S1 + S2d)S1S2Correct answer is option 'A'. Can you explain this answer?.
Solutions for The equivalent stiffness of two springs of stiffness S1 and S2 joined in series is given by:a)S1S2/(S1 + S2)b)(S1/S2) × (S1 + S2)c)S1 + S2d)S1S2Correct answer is option 'A'. Can you explain this answer? in English & in Hindi are available as part of our courses for Railways. Download more important topics, notes, lectures and mock test series for Railways Exam by signing up for free.
Here you can find the meaning of The equivalent stiffness of two springs of stiffness S1 and S2 joined in series is given by:a)S1S2/(S1 + S2)b)(S1/S2) × (S1 + S2)c)S1 + S2d)S1S2Correct answer is option 'A'. Can you explain this answer? defined & explained in the simplest way possible. Besides giving the explanation of The equivalent stiffness of two springs of stiffness S1 and S2 joined in series is given by:a)S1S2/(S1 + S2)b)(S1/S2) × (S1 + S2)c)S1 + S2d)S1S2Correct answer is option 'A'. Can you explain this answer?, a detailed solution for The equivalent stiffness of two springs of stiffness S1 and S2 joined in series is given by:a)S1S2/(S1 + S2)b)(S1/S2) × (S1 + S2)c)S1 + S2d)S1S2Correct answer is option 'A'. Can you explain this answer? has been provided alongside types of The equivalent stiffness of two springs of stiffness S1 and S2 joined in series is given by:a)S1S2/(S1 + S2)b)(S1/S2) × (S1 + S2)c)S1 + S2d)S1S2Correct answer is option 'A'. Can you explain this answer? theory, EduRev gives you an ample number of questions to practice The equivalent stiffness of two springs of stiffness S1 and S2 joined in series is given by:a)S1S2/(S1 + S2)b)(S1/S2) × (S1 + S2)c)S1 + S2d)S1S2Correct answer is option 'A'. Can you explain this answer? tests, examples and also practice Railways tests.
Explore Courses for Railways exam

Top Courses for Railways

Explore Courses
Signup for Free!
Signup to see your scores go up within 7 days! Learn & Practice with 1000+ FREE Notes, Videos & Tests.
10M+ students study on EduRev