Mechanical Engineering Exam  >  Mechanical Engineering Questions  >   What is the ratio of average heat transfer c... Start Learning for Free
What is the ratio of average heat transfer coefficient to local heat transfer coefficient for free convection under laminar flow condition on vertical plate?
  • a)
    2
  • b)
    1.5
  • c)
    4/3
  • d)
    1
Correct answer is option 'C'. Can you explain this answer?
Most Upvoted Answer
What is the ratio of average heat transfer coefficient to local heat ...
Understanding Heat Transfer Coefficients
In free convection, particularly for laminar flow over a vertical plate, two types of heat transfer coefficients are commonly discussed: the average heat transfer coefficient (h_avg) and the local heat transfer coefficient (h_local).
Local Heat Transfer Coefficient (h_local)
- The local heat transfer coefficient is defined at a specific point on the surface of the vertical plate.
- It varies along the height of the plate due to changes in temperature, velocity, and boundary layer development.
Average Heat Transfer Coefficient (h_avg)
- The average heat transfer coefficient is calculated over the entire surface of the vertical plate.
- It provides a single value that represents the overall heat transfer performance.
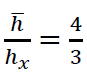
Ratio of Average to Local Heat Transfer Coefficient
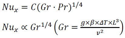
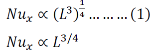
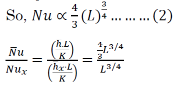
- In laminar free convection, the relationship between the average and local heat transfer coefficients is determined by the boundary layer behavior.
- For a vertical plate under these conditions, it has been established through empirical studies and theoretical analysis that the ratio of h_avg to h_local at the plate's surface is approximately 4/3.
Conclusion
- Therefore, when asked for the ratio of the average heat transfer coefficient to the local heat transfer coefficient for free convection under laminar flow conditions on a vertical plate, the correct answer is indeed option 'C': 4/3.
- This ratio highlights the influence of the boundary layer thickness and the temperature gradient on heat transfer in laminar flows.
Free Test
Community Answer
What is the ratio of average heat transfer coefficient to local heat ...
Explore Courses for Mechanical Engineering exam

Top Courses for Mechanical Engineering

Question Description
What is the ratio of average heat transfer coefficient to local heat transfer coefficient for free convection under laminar flow condition on vertical plate?a)2b)1.5c)4/3d)1Correct answer is option 'C'. Can you explain this answer? for Mechanical Engineering 2025 is part of Mechanical Engineering preparation. The Question and answers have been prepared according to the Mechanical Engineering exam syllabus. Information about What is the ratio of average heat transfer coefficient to local heat transfer coefficient for free convection under laminar flow condition on vertical plate?a)2b)1.5c)4/3d)1Correct answer is option 'C'. Can you explain this answer? covers all topics & solutions for Mechanical Engineering 2025 Exam. Find important definitions, questions, meanings, examples, exercises and tests below for What is the ratio of average heat transfer coefficient to local heat transfer coefficient for free convection under laminar flow condition on vertical plate?a)2b)1.5c)4/3d)1Correct answer is option 'C'. Can you explain this answer?.
Solutions for What is the ratio of average heat transfer coefficient to local heat transfer coefficient for free convection under laminar flow condition on vertical plate?a)2b)1.5c)4/3d)1Correct answer is option 'C'. Can you explain this answer? in English & in Hindi are available as part of our courses for Mechanical Engineering. Download more important topics, notes, lectures and mock test series for Mechanical Engineering Exam by signing up for free.
Here you can find the meaning of What is the ratio of average heat transfer coefficient to local heat transfer coefficient for free convection under laminar flow condition on vertical plate?a)2b)1.5c)4/3d)1Correct answer is option 'C'. Can you explain this answer? defined & explained in the simplest way possible. Besides giving the explanation of What is the ratio of average heat transfer coefficient to local heat transfer coefficient for free convection under laminar flow condition on vertical plate?a)2b)1.5c)4/3d)1Correct answer is option 'C'. Can you explain this answer?, a detailed solution for What is the ratio of average heat transfer coefficient to local heat transfer coefficient for free convection under laminar flow condition on vertical plate?a)2b)1.5c)4/3d)1Correct answer is option 'C'. Can you explain this answer? has been provided alongside types of What is the ratio of average heat transfer coefficient to local heat transfer coefficient for free convection under laminar flow condition on vertical plate?a)2b)1.5c)4/3d)1Correct answer is option 'C'. Can you explain this answer? theory, EduRev gives you an ample number of questions to practice What is the ratio of average heat transfer coefficient to local heat transfer coefficient for free convection under laminar flow condition on vertical plate?a)2b)1.5c)4/3d)1Correct answer is option 'C'. Can you explain this answer? tests, examples and also practice Mechanical Engineering tests.
Explore Courses for Mechanical Engineering exam

Top Courses for Mechanical Engineering

Explore Courses
Signup for Free!
Signup to see your scores go up within 7 days! Learn & Practice with 1000+ FREE Notes, Videos & Tests.
10M+ students study on EduRev