Civil Engineering (CE) Exam  >  Civil Engineering (CE) Questions  >   If σh, σv, σh, σv represent the total horizo... Start Learning for Free
If σh, σv, σh, σv represent the total horizontal stress, total vertical stress, effective horizontal stress and the effective vertical stress on a soil element, respectively, then the coefficient of the earth pressure of passive is given by
  • a)
    σhv
  • b)
    σ’h/σ’v
  • c)
    σvh
  • d)
    σ’v/σ’h
Correct answer is option 'C'. Can you explain this answer?
Most Upvoted Answer
If σh, σv, σh, σv represent the total horizontal stress, total vertic...
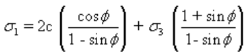
The coefficient of passive earth pressure
According to Rankine's, c = 0;
Therefore,
Free Test
Community Answer
If σh, σv, σh, σv represent the total horizontal stress, total vertic...
Explanation:

To understand why the coefficient of earth pressure of passive is given by σv/σh, we need to first understand the concept of effective stress and the principles of soil mechanics.

Effective Stress:
Effective stress is the stress that is transmitted between soil particles and is responsible for shear strength and deformation characteristics of the soil. It is defined as the difference between total stress and pore water pressure.

Principles of Soil Mechanics:
In soil mechanics, the concept of effective stress principle is used to determine the behavior of soil under different loading conditions. It states that the shear strength and deformation characteristics of soil depend on the effective stress acting on the soil particles.

Earth Pressure of Passive:
The earth pressure of passive refers to the lateral pressure exerted by soil on a retaining wall or structure when the soil is in a state of rest or equilibrium. It is influenced by the vertical and horizontal stresses acting on the soil element.

Coefficient of Earth Pressure of Passive:
The coefficient of earth pressure of passive is a dimensionless quantity that relates the lateral earth pressure to the vertical stress acting on the soil element. It is commonly denoted as Kp.

Derivation:
The coefficient of earth pressure of passive can be derived using the concept of effective stress.

- The total horizontal stress (σh) acting on the soil element is composed of the effective horizontal stress (σ'h) and the pore water pressure (u). Therefore, σh = σ'h + u.
- The total vertical stress (σv) acting on the soil element is composed of the effective vertical stress (σ'v) and the pore water pressure (u). Therefore, σv = σ'v + u.

From the above equations, we can determine the effective horizontal stress (σ'h) and the effective vertical stress (σ'v) as follows:

- σ'h = σh - u
- σ'v = σv - u

The coefficient of earth pressure of passive (Kp) is defined as the ratio of the effective horizontal stress (σ'h) to the effective vertical stress (σ'v). Therefore, Kp = (σh - u) / (σv - u).

Since the pore water pressure (u) is usually small compared to the total stresses, it can be neglected. Therefore, the coefficient of earth pressure of passive can be approximated as Kp ≈ σh / σv.

Hence, the correct answer is option C: σv / σh.
Explore Courses for Civil Engineering (CE) exam
Question Description
If σh, σv, σh, σv represent the total horizontal stress, total vertical stress, effective horizontal stress and the effective vertical stress on a soil element, respectively, then the coefficient of the earth pressure of passive is given bya)σh/σvb)σ’h/σ’vc)σv/σhd)σ’v/σ’hCorrect answer is option 'C'. Can you explain this answer? for Civil Engineering (CE) 2025 is part of Civil Engineering (CE) preparation. The Question and answers have been prepared according to the Civil Engineering (CE) exam syllabus. Information about If σh, σv, σh, σv represent the total horizontal stress, total vertical stress, effective horizontal stress and the effective vertical stress on a soil element, respectively, then the coefficient of the earth pressure of passive is given bya)σh/σvb)σ’h/σ’vc)σv/σhd)σ’v/σ’hCorrect answer is option 'C'. Can you explain this answer? covers all topics & solutions for Civil Engineering (CE) 2025 Exam. Find important definitions, questions, meanings, examples, exercises and tests below for If σh, σv, σh, σv represent the total horizontal stress, total vertical stress, effective horizontal stress and the effective vertical stress on a soil element, respectively, then the coefficient of the earth pressure of passive is given bya)σh/σvb)σ’h/σ’vc)σv/σhd)σ’v/σ’hCorrect answer is option 'C'. Can you explain this answer?.
Solutions for If σh, σv, σh, σv represent the total horizontal stress, total vertical stress, effective horizontal stress and the effective vertical stress on a soil element, respectively, then the coefficient of the earth pressure of passive is given bya)σh/σvb)σ’h/σ’vc)σv/σhd)σ’v/σ’hCorrect answer is option 'C'. Can you explain this answer? in English & in Hindi are available as part of our courses for Civil Engineering (CE). Download more important topics, notes, lectures and mock test series for Civil Engineering (CE) Exam by signing up for free.
Here you can find the meaning of If σh, σv, σh, σv represent the total horizontal stress, total vertical stress, effective horizontal stress and the effective vertical stress on a soil element, respectively, then the coefficient of the earth pressure of passive is given bya)σh/σvb)σ’h/σ’vc)σv/σhd)σ’v/σ’hCorrect answer is option 'C'. Can you explain this answer? defined & explained in the simplest way possible. Besides giving the explanation of If σh, σv, σh, σv represent the total horizontal stress, total vertical stress, effective horizontal stress and the effective vertical stress on a soil element, respectively, then the coefficient of the earth pressure of passive is given bya)σh/σvb)σ’h/σ’vc)σv/σhd)σ’v/σ’hCorrect answer is option 'C'. Can you explain this answer?, a detailed solution for If σh, σv, σh, σv represent the total horizontal stress, total vertical stress, effective horizontal stress and the effective vertical stress on a soil element, respectively, then the coefficient of the earth pressure of passive is given bya)σh/σvb)σ’h/σ’vc)σv/σhd)σ’v/σ’hCorrect answer is option 'C'. Can you explain this answer? has been provided alongside types of If σh, σv, σh, σv represent the total horizontal stress, total vertical stress, effective horizontal stress and the effective vertical stress on a soil element, respectively, then the coefficient of the earth pressure of passive is given bya)σh/σvb)σ’h/σ’vc)σv/σhd)σ’v/σ’hCorrect answer is option 'C'. Can you explain this answer? theory, EduRev gives you an ample number of questions to practice If σh, σv, σh, σv represent the total horizontal stress, total vertical stress, effective horizontal stress and the effective vertical stress on a soil element, respectively, then the coefficient of the earth pressure of passive is given bya)σh/σvb)σ’h/σ’vc)σv/σhd)σ’v/σ’hCorrect answer is option 'C'. Can you explain this answer? tests, examples and also practice Civil Engineering (CE) tests.
Explore Courses for Civil Engineering (CE) exam

Top Courses for Civil Engineering (CE)

Explore Courses
Signup for Free!
Signup to see your scores go up within 7 days! Learn & Practice with 1000+ FREE Notes, Videos & Tests.
10M+ students study on EduRev