Question Description
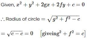
If g2+ f2= c, then the equation x2+ y2+ 2gx + 2fy + c = 0will representa)A circle of radius gb)A circle of radius fc)A circle of diameter √cd)A circle of radius zeroCorrect answer is option 'D'. Can you explain this answer? for JEE 2025 is part of JEE preparation. The Question and answers have been prepared
according to
the JEE exam syllabus. Information about If g2+ f2= c, then the equation x2+ y2+ 2gx + 2fy + c = 0will representa)A circle of radius gb)A circle of radius fc)A circle of diameter √cd)A circle of radius zeroCorrect answer is option 'D'. Can you explain this answer? covers all topics & solutions for JEE 2025 Exam.
Find important definitions, questions, meanings, examples, exercises and tests below for If g2+ f2= c, then the equation x2+ y2+ 2gx + 2fy + c = 0will representa)A circle of radius gb)A circle of radius fc)A circle of diameter √cd)A circle of radius zeroCorrect answer is option 'D'. Can you explain this answer?.
Solutions for If g2+ f2= c, then the equation x2+ y2+ 2gx + 2fy + c = 0will representa)A circle of radius gb)A circle of radius fc)A circle of diameter √cd)A circle of radius zeroCorrect answer is option 'D'. Can you explain this answer? in English & in Hindi are available as part of our courses for JEE.
Download more important topics, notes, lectures and mock test series for JEE Exam by signing up for free.
Here you can find the meaning of If g2+ f2= c, then the equation x2+ y2+ 2gx + 2fy + c = 0will representa)A circle of radius gb)A circle of radius fc)A circle of diameter √cd)A circle of radius zeroCorrect answer is option 'D'. Can you explain this answer? defined & explained in the simplest way possible. Besides giving the explanation of
If g2+ f2= c, then the equation x2+ y2+ 2gx + 2fy + c = 0will representa)A circle of radius gb)A circle of radius fc)A circle of diameter √cd)A circle of radius zeroCorrect answer is option 'D'. Can you explain this answer?, a detailed solution for If g2+ f2= c, then the equation x2+ y2+ 2gx + 2fy + c = 0will representa)A circle of radius gb)A circle of radius fc)A circle of diameter √cd)A circle of radius zeroCorrect answer is option 'D'. Can you explain this answer? has been provided alongside types of If g2+ f2= c, then the equation x2+ y2+ 2gx + 2fy + c = 0will representa)A circle of radius gb)A circle of radius fc)A circle of diameter √cd)A circle of radius zeroCorrect answer is option 'D'. Can you explain this answer? theory, EduRev gives you an
ample number of questions to practice If g2+ f2= c, then the equation x2+ y2+ 2gx + 2fy + c = 0will representa)A circle of radius gb)A circle of radius fc)A circle of diameter √cd)A circle of radius zeroCorrect answer is option 'D'. Can you explain this answer? tests, examples and also practice JEE tests.