Class 11 Exam  >  Class 11 Questions  >  A solid whose volume does not change with tem... Start Learning for Free
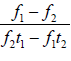
A solid whose volume does not change with temperature floats in a liquid. For two different temperatures t1 and t2 of the liquid fractions f1 and fof the volume of the solid remain submerged in the liquid. The coefficient of volume expansion of the liquid is equal to
 
  • a)
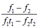
  • b)
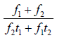
  • c)
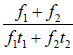
  • d)
Correct answer is option 'A'. Can you explain this answer?
Verified Answer
A solid whose volume does not change with temperature floats in a liqu...
Ans.


View all questions of this test
Explore Courses for Class 11 exam

Top Courses for Class 11

Question Description
A solid whose volume does not change with temperature floats in a liquid. For two different temperatures t1 and t2 of the liquid fractions f1 and f2of the volume of the solid remain submerged in the liquid. The coefficient of volume expansion of the liquid is equal toa)b)c)d)Correct answer is option 'A'. Can you explain this answer? for Class 11 2025 is part of Class 11 preparation. The Question and answers have been prepared according to the Class 11 exam syllabus. Information about A solid whose volume does not change with temperature floats in a liquid. For two different temperatures t1 and t2 of the liquid fractions f1 and f2of the volume of the solid remain submerged in the liquid. The coefficient of volume expansion of the liquid is equal toa)b)c)d)Correct answer is option 'A'. Can you explain this answer? covers all topics & solutions for Class 11 2025 Exam. Find important definitions, questions, meanings, examples, exercises and tests below for A solid whose volume does not change with temperature floats in a liquid. For two different temperatures t1 and t2 of the liquid fractions f1 and f2of the volume of the solid remain submerged in the liquid. The coefficient of volume expansion of the liquid is equal toa)b)c)d)Correct answer is option 'A'. Can you explain this answer?.
Solutions for A solid whose volume does not change with temperature floats in a liquid. For two different temperatures t1 and t2 of the liquid fractions f1 and f2of the volume of the solid remain submerged in the liquid. The coefficient of volume expansion of the liquid is equal toa)b)c)d)Correct answer is option 'A'. Can you explain this answer? in English & in Hindi are available as part of our courses for Class 11. Download more important topics, notes, lectures and mock test series for Class 11 Exam by signing up for free.
Here you can find the meaning of A solid whose volume does not change with temperature floats in a liquid. For two different temperatures t1 and t2 of the liquid fractions f1 and f2of the volume of the solid remain submerged in the liquid. The coefficient of volume expansion of the liquid is equal toa)b)c)d)Correct answer is option 'A'. Can you explain this answer? defined & explained in the simplest way possible. Besides giving the explanation of A solid whose volume does not change with temperature floats in a liquid. For two different temperatures t1 and t2 of the liquid fractions f1 and f2of the volume of the solid remain submerged in the liquid. The coefficient of volume expansion of the liquid is equal toa)b)c)d)Correct answer is option 'A'. Can you explain this answer?, a detailed solution for A solid whose volume does not change with temperature floats in a liquid. For two different temperatures t1 and t2 of the liquid fractions f1 and f2of the volume of the solid remain submerged in the liquid. The coefficient of volume expansion of the liquid is equal toa)b)c)d)Correct answer is option 'A'. Can you explain this answer? has been provided alongside types of A solid whose volume does not change with temperature floats in a liquid. For two different temperatures t1 and t2 of the liquid fractions f1 and f2of the volume of the solid remain submerged in the liquid. The coefficient of volume expansion of the liquid is equal toa)b)c)d)Correct answer is option 'A'. Can you explain this answer? theory, EduRev gives you an ample number of questions to practice A solid whose volume does not change with temperature floats in a liquid. For two different temperatures t1 and t2 of the liquid fractions f1 and f2of the volume of the solid remain submerged in the liquid. The coefficient of volume expansion of the liquid is equal toa)b)c)d)Correct answer is option 'A'. Can you explain this answer? tests, examples and also practice Class 11 tests.
Explore Courses for Class 11 exam

Top Courses for Class 11

Explore Courses
Signup for Free!
Signup to see your scores go up within 7 days! Learn & Practice with 1000+ FREE Notes, Videos & Tests.
10M+ students study on EduRev