CAT Exam  >  CAT Questions  >  Few students are standing one behind the othe... Start Learning for Free
Few students are standing one behind the other. They are asked to take chocolates from a box in sequence. Each student at even position takes as many chocolates as the total number of chocolates picked by students before him/her and each student at odd position take twice the number of chocolates taken by the student just before him/her. If the total number of chocolates picked by all the students is 512 and the first student takes as many chocolates as half the total number of student in the column then find the number of students.
  • a)
    16
  • b)
    7
  • c)
    8
  • d)
    10 
Correct answer is option 'C'. Can you explain this answer?
Most Upvoted Answer
Few students are standing one behind the other. They are asked to take...
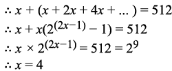
Let the first student picks x chocolates.
∴ The total number of students = 2x
∴ The number o f chocolates tak en b y the students: x , x , 2x, 4x, 8x, 1 6 x ......
We observe that the second term onwards is a G.P.
Thus, the total number of students = 8
Hence, option 3.
Free Test
Community Answer
Few students are standing one behind the other. They are asked to take...
Problem Analysis:
Let's assume the number of students in the column is 'n'.
The first student takes as many chocolates as half the total number of students in the column, which means the first student takes n/2 chocolates.
The second student takes twice the number of chocolates taken by the student just before him/her, which means the second student takes 2 * (n/2) = n chocolates.
The third student takes twice the number of chocolates taken by the student just before him/her, which means the third student takes 2 * n = 2n chocolates.
And so on...

Approach:
To find the number of students, we need to sum up the total number of chocolates picked by all the students, which is given as 512.

Let's consider the sum of chocolates picked by the first k students.
The first student picks n/2 chocolates.
The second student picks n chocolates.
The third student picks 2n chocolates.
The fourth student picks 2n chocolates.
And so on...

To find the sum of k terms in the above series, we can use the formula for the sum of an arithmetic series: S = (k/2) * (first term + last term)

In this case, the first term is n/2 and the last term is 2^(k/2) * n.

Therefore, the sum of the first k terms is:
S = (k/2) * (n/2 + 2^(k/2) * n)

We need to find the value of k such that the sum of the first k terms is 512.

Solution:
Let's substitute the given values and solve the equation:
512 = (k/2) * (n/2 + 2^(k/2) * n)

Simplifying the equation:
512 = (kn/4) + (2^(k/2) * kn/2)

Multiplying the equation by 4:
2048 = kn + (2^(k/2) * 2kn)

Dividing both sides of the equation by kn:
2048/kn = 1 + 2^(k/2)

Let's check the options given in the question and substitute the values to find the correct option.
Explore Courses for CAT exam

Top Courses for CAT

Question Description
Few students are standing one behind the other. They are asked to take chocolates from a box in sequence. Each student at even position takes as many chocolates as the total number of chocolates picked by students before him/her and each student at odd position take twice the number of chocolates taken by the student just before him/her. If the total number of chocolates picked by all the students is 512 and the first student takes as many chocolates as half the total number of student in the column then find the number of students.a)16b)7c)8d)10Correct answer is option 'C'. Can you explain this answer? for CAT 2025 is part of CAT preparation. The Question and answers have been prepared according to the CAT exam syllabus. Information about Few students are standing one behind the other. They are asked to take chocolates from a box in sequence. Each student at even position takes as many chocolates as the total number of chocolates picked by students before him/her and each student at odd position take twice the number of chocolates taken by the student just before him/her. If the total number of chocolates picked by all the students is 512 and the first student takes as many chocolates as half the total number of student in the column then find the number of students.a)16b)7c)8d)10Correct answer is option 'C'. Can you explain this answer? covers all topics & solutions for CAT 2025 Exam. Find important definitions, questions, meanings, examples, exercises and tests below for Few students are standing one behind the other. They are asked to take chocolates from a box in sequence. Each student at even position takes as many chocolates as the total number of chocolates picked by students before him/her and each student at odd position take twice the number of chocolates taken by the student just before him/her. If the total number of chocolates picked by all the students is 512 and the first student takes as many chocolates as half the total number of student in the column then find the number of students.a)16b)7c)8d)10Correct answer is option 'C'. Can you explain this answer?.
Solutions for Few students are standing one behind the other. They are asked to take chocolates from a box in sequence. Each student at even position takes as many chocolates as the total number of chocolates picked by students before him/her and each student at odd position take twice the number of chocolates taken by the student just before him/her. If the total number of chocolates picked by all the students is 512 and the first student takes as many chocolates as half the total number of student in the column then find the number of students.a)16b)7c)8d)10Correct answer is option 'C'. Can you explain this answer? in English & in Hindi are available as part of our courses for CAT. Download more important topics, notes, lectures and mock test series for CAT Exam by signing up for free.
Here you can find the meaning of Few students are standing one behind the other. They are asked to take chocolates from a box in sequence. Each student at even position takes as many chocolates as the total number of chocolates picked by students before him/her and each student at odd position take twice the number of chocolates taken by the student just before him/her. If the total number of chocolates picked by all the students is 512 and the first student takes as many chocolates as half the total number of student in the column then find the number of students.a)16b)7c)8d)10Correct answer is option 'C'. Can you explain this answer? defined & explained in the simplest way possible. Besides giving the explanation of Few students are standing one behind the other. They are asked to take chocolates from a box in sequence. Each student at even position takes as many chocolates as the total number of chocolates picked by students before him/her and each student at odd position take twice the number of chocolates taken by the student just before him/her. If the total number of chocolates picked by all the students is 512 and the first student takes as many chocolates as half the total number of student in the column then find the number of students.a)16b)7c)8d)10Correct answer is option 'C'. Can you explain this answer?, a detailed solution for Few students are standing one behind the other. They are asked to take chocolates from a box in sequence. Each student at even position takes as many chocolates as the total number of chocolates picked by students before him/her and each student at odd position take twice the number of chocolates taken by the student just before him/her. If the total number of chocolates picked by all the students is 512 and the first student takes as many chocolates as half the total number of student in the column then find the number of students.a)16b)7c)8d)10Correct answer is option 'C'. Can you explain this answer? has been provided alongside types of Few students are standing one behind the other. They are asked to take chocolates from a box in sequence. Each student at even position takes as many chocolates as the total number of chocolates picked by students before him/her and each student at odd position take twice the number of chocolates taken by the student just before him/her. If the total number of chocolates picked by all the students is 512 and the first student takes as many chocolates as half the total number of student in the column then find the number of students.a)16b)7c)8d)10Correct answer is option 'C'. Can you explain this answer? theory, EduRev gives you an ample number of questions to practice Few students are standing one behind the other. They are asked to take chocolates from a box in sequence. Each student at even position takes as many chocolates as the total number of chocolates picked by students before him/her and each student at odd position take twice the number of chocolates taken by the student just before him/her. If the total number of chocolates picked by all the students is 512 and the first student takes as many chocolates as half the total number of student in the column then find the number of students.a)16b)7c)8d)10Correct answer is option 'C'. Can you explain this answer? tests, examples and also practice CAT tests.
Explore Courses for CAT exam

Top Courses for CAT

Explore Courses
Signup for Free!
Signup to see your scores go up within 7 days! Learn & Practice with 1000+ FREE Notes, Videos & Tests.
10M+ students study on EduRev