Q1:
Question for Assertion & Reason Type Questions: Surface Area and Volumes
Try yourself: Directions : In the following questions, A statement of Assertion (A) is followed by a statement of Reason (R). Mark the correct choice as.Assertion (A): The radii of two cone are in the ratio 2 : 3 and their volumes in the ratio 1 : 3. Then ratio of their heights is 3 : 2.
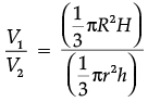
Reason (R): Volume of Cone = 
Explanation
Let V
1, V
2 are the volumes of the two cones.
R and r be the radii of the two cones.
H and h be the heights of the two cones.

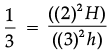
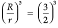
⇒ 
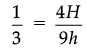
⇒ 
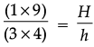
⇒ 
⇒
which proves that assertion is wrong.
Therefore, A is false but R is true.
Report a problem
Q2:
Question for Assertion & Reason Type Questions: Surface Area and Volumes
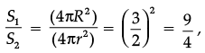
Try yourself: Directions : In the following questions, A statement of Assertion (A) is followed by a statement of Reason (R). Mark the correct choice as.Assertion (A): If the volume of two spheres are in the ratio 27 : 8. Then their surface area are in the ratio 3 : 2.
Reason (R): Volume of sphere =
and its surface area = 4πr2.
Explanation

⇒ 
⇒ 
Let S1 and S2 be the surface area of two spheres,

which proves that assertion is wrong.
Therefore, A is false but R is true.
Let V1, V2 are the volumes of the two spheres.
R and r be the radii of the two spheres.
Report a problem
Q3:
Question for Assertion & Reason Type Questions: Surface Area and Volumes
Try yourself: Directions : In the following questions, A statement of Assertion (A) is followed by a statement of Reason (R). Mark the correct choice as.Assertion (A): If the height of the cone is 24 cm and diameter of the base is 14 cm, then the slant height of the cone is 15 cm.
Reason (R): If r be the radius of the cone and h be the height of the cone, then slant height = 
Explanation
slant height =


which proves that assertion is wrong.
Therefore, A is false but R is true.
Report a problem
Q4:
Question for Assertion & Reason Type Questions: Surface Area and Volumes
Try yourself: Directions : In the following questions, A statement of Assertion (A) is followed by a statement of Reason (R). Mark the correct choice as.Assertion (A): The Volume and Surface Area of a sphere are related to each other by radius.
Reason (R): Relation between Surface Area S and Volume V is S3 = 36πV2.
Explanation
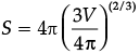
Volume of sphere =

⇒ 
⇒ 
⇒ 
Also, S = 4πr2
⇒ 
⇒
which proves that assertion is correct.
Therefore, Both A and R are true and R is the correct explanation for A.
Report a problem
Q5:
Question for Assertion & Reason Type Questions: Surface Area and Volumes
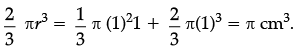
Try yourself: Directions : In the following questions, A statement of Assertion (A) is followed by a statement of Reason (R). Mark the correct choice as.Assertion (A): A solid is in the form of a cone standing on a hemisphere with both their radii being equal to 1 cm and the height of the cone is equal to its radius. The volume of the solid is π cm3.
Reason (R): Volume of cone =
and volume of hemi-sphere = 
Explanation
Volume of the Solid =

Which is true.
Therefore, Both A and R are true and R is the correct explanation for A.
Report a problem
Q6:
Question for Assertion & Reason Type Questions: Surface Area and Volumes
Try yourself: Directions : In the following questions, A statement of Assertion (A) is followed by a statement of Reason (R). Mark the correct choice as.Assertion (A): There are 1000 balls of diameter 0.6 cm which can be formed by melting a solid sphere of radius 3 cm.
Reason (R):Number of spherical balls = (Volume of Bigger solid sphere)/(Volume of 1 spherical ball)
Explanation
radius of Ball = 0.3 cm and radius of solid sphere = 3 cm Volume of solid sphere = n × volume of 1 ball here n represents number of balls

Which proves both Assertion and reason are true.
Therefore, Both A and R are true and R is the correct explanation for A.
Report a problem
Q7:
Question for Assertion & Reason Type Questions: Surface Area and Volumes
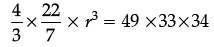
Try yourself: Directions : In the following questions, A statement of Assertion (A) is followed by a statement of Reason (R). Mark the correct choice as.Assertion (A): A solid iron is in the form of a cuboid of dimensions 49 cm × 33 cm × 24 cm is melted to form a solid sphere. Then the radius of sphere will be 21 cm.
Reason (R): Volume of cylinder = πr2h, r is the radius of the cylinder and h is the height of the cylinder.
Explanation
Let r be the radius of the sphere, Volume of sphere = Volume of the cuboid

⇒ 
⇒ 
⇒ r = 21 cm, which is true.
The reason is also true but it doesn’t explain the assertion as the formula given is of cylinder.
Therefore, Both A and R are true and R is not correct explanation for A.
Report a problem
Q8:
Question for Assertion & Reason Type Questions: Surface Area and Volumes
Try yourself: Directions : In the following questions, A statement of Assertion (A) is followed by a statement of Reason (R). Mark the correct choice as.Assertion (A): A manufacturer involved children in colouring playing top (Lattu) which is shaped like a cone surmounted by a hemisphere. The entire top is 5 cm in height and the diameter of the top is 3.5 cm. The area to be painted if 100 playing tops are given to him then will be 3955 cm2.
Reason (R): Slant height = 
Explanation
The formula of slant height is wrong.
The correct formula is l = 
Therefore, A is true but R is false.
Report a problem
Q9:
Question for Assertion & Reason Type Questions: Surface Area and Volumes
Try yourself: DIRECTION : In the following questions, a statement of assertion (A) is followed by a statement of reason (R). Mark the correct choice as:Assertion : Total surface area of the cylinder having radius of the base 14 cm and height 30 cm is 3872 cm2 .
Reason : If r be the radius and h be the height of the cylinder, then total surface area = (2prh +2pr2).
Explanation
Total surface area = 2prh +2pr
2= 2p r (h + r)

= 3872 cm2
Report a problem
Q10:
Question for Assertion & Reason Type Questions: Surface Area and Volumes
Try yourself: DIRECTION : In the following questions, a statement of assertion (A) is followed by a statement of reason (R). Mark the correct choice as:Assertion : If the height of a cone is 24 cm and diameter of the base is 14 cm, then the slant height of the cone is 15 cm.
Reason : If r be the radius and h the slant height of the cone, then slant height = 
Explanation
Assertion (A) is false but reason (R) is true.
Slant height = 

Report a problem
Q11:
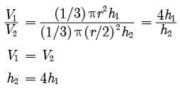
Question for Assertion & Reason Type Questions: Surface Area and Volumes
Try yourself: DIRECTION : In the following questions, a statement of assertion (A) is followed by a statement of reason (R). Mark the correct choice as:Assertion : If the radius of a cone is halved and volume is not changed, then height remains same.
Reason : If the radius of a cone is halved and volume is not changed then height must become four times of the original height.
Explanation
As

Report a problem
Q12:
Question for Assertion & Reason Type Questions: Surface Area and Volumes
Try yourself: DIRECTION : In the following questions, a statement of assertion (A) is followed by a statement of reason (R). Mark the correct choice as:Assertion : If a ball is in the shape of a sphere has a surface area of 221.76cm2 , then its diameter is 8.4 cm.
Reason : If the radius of the sphere be r , then surface area, S = 4p r2 , i.e. 
Explanation
Given, surface area of sphere = 221.76cm
2We know, surface area of sphere = 4πr2
⇒ 4(π)r2 = 221.76
⇒ r2 = 7/22 × 221.76 × 1/4 = 7 × (10.08) × 1/4
⇒ r = 4.2cm
Then, diameter equals 2r = 2 × 4.2 = 8.4 cm, which is true and reason is also correct.
Moreover reason is the correct explanation of assertion.
Report a problem
Q13:
Question for Assertion & Reason Type Questions: Surface Area and Volumes
Try yourself: DIRECTION : In the following questions, a statement of assertion (A) is followed by a statement of reason (R). Mark the correct choice as:Assertion : No. of spherical balls that can be made out of a solid cube of lead whose edge is 44 cm, each ball being 4 cm. in diameter, is 2541
Reason : Number of balls 
Explanation
n * (volume of small spheres) = total volume
n ∗ (4/3) ∗ (22/7) ∗ 23 = (44)3
n = (3/4) ∗ (7/22) ∗ (1/8) ∗ (44)3 = 2541
As per the given reason, n = (volume of one ball)/(volume of lead)
Thus, reason is not correct but assertion is correct.
Report a problem
Q14:
Question for Assertion & Reason Type Questions: Surface Area and Volumes
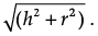
Try yourself: DIRECTION : In the following questions, a statement of assertion (A) is followed by a statement of reason (R). Mark the correct choice as:Assertion : The slant height of the frustum of a cone is 5 cm and the difference between the radii of its two circular ends is 4 cm. Than the height of the frustum is 3 cm.
Reason : Slant height of the frustum of the cone is given by 
Explanation
We have, l = 5 cm , R - r = 4 cm

16 + h2 = 25
h2 = 25 - 16 = 9
h = 3 cm
Report a problem
Q15:
Question for Assertion & Reason Type Questions: Surface Area and Volumes
Try yourself: DIRECTION : In the following questions, a statement of assertion (A) is followed by a statement of reason (R). Mark the correct choice as:Assertion : Two identical solid cube of side 5 cm are joined end to end. Then total surface area of the resulting cuboid is 300 cm2 .
Reason : Total surface area of a cuboid is 2(lb + bh + lh)
Explanation
When cubes are joined end to end, it will form a cuboid.
l = 2 x 5 = 10 cm , b = 5 cm
and h = 5 cm
Total surface area = 2(lb + bh + lh)
= 2(10 x 5 + 5 + 5 x 10 x 5)
= 2 x 125 = 250 cm2
Report a problem