Class 10 Exam  >  Class 10 Notes  >  Mathematics (Maths) Class 10  >  Assignment: Triangles

Assignment: Triangles | Mathematics (Maths) Class 10 PDF Download

Q1. If ABC and DEF are two triangles and AB/DE = BC/FD, then the two triangles are similar if
(a) ∠A = ∠F
(b) ∠B = ∠D
(c) ∠A = ∠D
(d) ∠B = ∠E
Ans. (b) ∠B =∠D

If ABC and DEF are two triangles and AB/DE=BC/FD, then the two triangles are similar if ∠B =∠D.

Q2. Sides of two similar triangles are in the ratio 4: 9. Areas of these triangles are in the ratio
(a) 2: 3
(b) 4: 9
(c) 81: 16
(d) 16: 81
Ans. (d) 16: 81

Let ABC and DEF are two similar triangles, such that,

ΔABC ~ ΔDEF

And AB/DE = AC/DF = BC/EF = 4/9

As the ratio of the areas of these triangles will be equal to the square of the ratio of the corresponding sides,

∴ Area(ΔABC)/Area(ΔDEF) = AB2/DE2

∴ Area(ΔABC)/Area(ΔDEF) = (4/9)2 = 16/81 = 16: 81

Q3. Which of the following are not similar figures?
(a) Circles
(b) Squares
(c) Equilateral triangles
(d) Isosceles triangles

Ans. (d) Isosceles triangles

All circles, squares, and equilateral triangles are similar figures.

Q4. In triangle ABC, ∠BAC = 90° and AD ⊥ BC. Then
(a) BD . CD = BC2
(b) AB . AC = BC2
(c) BD . CD = AD2
(d) AB . AC = AD2
Ans. (c) BD . CD = AD2

Assignment: Triangles | Mathematics (Maths) Class 10

In ΔADB and ΔADC,

∠D = ∠D = 90°

∠DBA = ∠DAC

By AAA similarity criterion,

ΔADB ~ ΔADC

BD/AD = AD/CD

BD.CD = AD2

Q5. If in two triangles ABC and PQR, AB/QR = BC/PR = CA/PQ, then
(a) ΔPQR ~ ΔCAB 
(b) ΔPQR ~ ΔABC
(c) ΔCBA ~ ΔPQR 
(d) ΔBCA ~ ΔPQR
Ans. (a) ΔPQR ~ ΔCAB 

Given that, in triangles ABC and PQR, AB/QR = BC/PR = CA/PQ

If sides of one triangle are proportional to the side of the other triangle, and their corresponding angles are also equal, then both the triangles are similar by SSS similarity. Therefore, ΔPQR ~ ΔCAB

Q6. In the given figure, QA ⊥ AB and PB ⊥ AB. If AO = 20 cm, BO = 12 cm, PB = 18 cm, find AQ

Assignment: Triangles | Mathematics (Maths) Class 10Assignment: Triangles | Mathematics (Maths) Class 10In ∆OAQ and ∆OBP,
∠OAQ = ∠OBP … [Each 90°
∠AOQ = ∠BOP … [vertically opposite angles
Assignment: Triangles | Mathematics (Maths) Class 10

Q7. In the given figure, CD || LA and DE || AC. Find the length of CL if BE = 4 cm and EC = 2 cm. 

Assignment: Triangles | Mathematics (Maths) Class 10

In ∆ABL, CD || LA

Assignment: Triangles | Mathematics (Maths) Class 10

Q8. If the perimeters of two similar triangles ABC and DEF are 50 cm and 70 cm respectively and one side of ∆ABC = 20 cm, then find the corresponding side of ∆DEF.  (2014)
Assignment: Triangles | Mathematics (Maths) Class 10

Given. ∆ABC ~ ∆DEF,
Perimeter(∆ABC) = 50 cm
Perimeter(∆DEF) = 70 cm
One side of ∆ABC = 20 cm
To Find. Corresponding side of ∆DEF (i.e.,) DE. ∆ABC ~ ∆DEF …[Given
Assignment: Triangles | Mathematics (Maths) Class 10

∴ The corresponding side of ADEF = 28 cm

Q9. State whether the given pairs of triangles are similar or not. In case of similarity mention the criterion. 
Assignment: Triangles | Mathematics (Maths) Class 10


Assignment: Triangles | Mathematics (Maths) Class 10(b) In ∆PQR, ∠P + ∠Q + ∠ZR = 180° …[Angle-Sum Property of a ∆]
45° + 78° + ∠R = 180°
∠R = 180° – 45° – 78° = 57°
In ∆LMN, ∠L + ∠M + ∠N = 180° …[Angle-Sum Property of a ∆]
57° + 45° + ∠N = 180°
∠N = 180° – 57 – 45° = 78°
∠P = ∠M … (each = 45°
∠Q = ∠N … (each = 78°
∠R = ∠L …(each = 57°
∴ ∆PQR – ∆MNL   … [By AAA similarity theorem]

Q10. In the given figure, ∆ABC is right-angled at C and DE ⊥ AB. Prove that ∆ABC ~ ∆ADE and hence find the lengths of AE and DE. 
Assignment: Triangles | Mathematics (Maths) Class 10

Given: ∆ABC is rt. ∠ed at C and DE ⊥ AB.
AD = 3 cm, DC = 2 cm, BC = 12 cm
To prove:
(i) ∆ABC ~ ∆ADE; (ii) AE = ? and DE = ?
Proof. (i) In ∆ABC and ∆ADE,
∠ACB = ∠AED   … [Each 90°]
∠BAC = ∠DAE   …(Common)
∴ ∆ABC ~ ∆ADE  …[AA Similarity Criterion]

Case Based Questions

Anika is studying in class X. She observe two poles DC and BA. The heights of these poles are x m and y m respectively as shown in figure:
Assignment: Triangles | Mathematics (Maths) Class 10 These poles are z m apart and O is the point of intersection of the lines joining the top of each pole to the foot of opposite pole and the distance between point O and L is d. Few questions came to his mind while observing the poles.

Based on the above information, solve the following questions:

Q1. Which similarity criteria is applicable in ∆ACAB and CLO?

In ∆CAB and ∆CLO, we have 
CAB = <CLO 90°
<C = <C (common) 
.. By AA similarity criterion, 
∆CAB ~ ∆CLO

Q2. If x=y, prove that BC: DA = 1 : 1.

In ∆DCA and ABAC, 
DC = BA [:: x = y (Given)] 
<DCA = <BAC [Each 90°) 
CA = AC [Common] 
By SAS similarity criterian, 
∆DCA - ∆BAC
Assignment: Triangles | Mathematics (Maths) Class 10

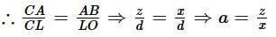
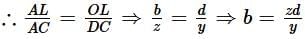
Q3. If CL = a, then find a in terms of x, y and d.

ΔCAB  - ΔCLO  

Assignment: Triangles | Mathematics (Maths) Class 10
OR

 In Δ ALO and Δ ACD, 

We  have  

∠ALO = ∠ACD = 90º

∠A = ∠A  (common) 

∴ By  AA  similarity  criterion, 

Δ ALO ∼ Δ ACD 

Assignment: Triangles | Mathematics (Maths) Class 10

Before Basant Panchami, Samarth is trying to make kites at home. So, he take a rectangular sheet and fold it horizontally, then vertically and fold it transversally. After cutting transversally, he gets a kite shaped figure as shown below:Assignment: Triangles | Mathematics (Maths) Class 10Based on the above information, solve the following questions:

Q1. What is the angle between diagonals of a rectangle? 

Diagonals of a rectangle can bisect each other at any angle.

Q2. Prove that two triangles divided by a diagonal in rectangle are similar as well as congruent. 

In ∆ABC and ∆CDA AB = CD
<B = <D
BC= DA
∆ABC = ∆CDA
(By SAS) When two triangles are congruent, then they are similar also.

Q3. Prove that the longest diagonal of a kite bisect a pair of opposite angle.  

In ΔAOB and ΔAOD,
OA = OA (common)
Assignment: Triangles | Mathematics (Maths) Class 10

BO = DO (diagonal AC bisect the other diagonal BD)

∴ ΔAOB ∼ ΔAOD (by SSS similarity)

⇒ ∠AOB = ∠DAO   ...(1)

In ΔBOC and ΔDOC,

BC = DC

OC = OC (common)

BO = DO

[Diagonal AC bisect the other diagonal BD]

∴ ΔBOC ∼ ΔDOC (by SSS similarity)
⇒ ∠BCO = ∠ DCO     ...(2)

From (1) and (2), it is clear that, the longest diagonal of a kite bisect a pair of opposite angle.

OR

In Δ ABC and Δ ADC

AB = AD

BC = DC

AC = AC (common)

Δ ABC ∼ Δ ADC (by SSS criterion)
In ΔABC and ΔADC,

AB = AD

∠ABC = ∠ADC

BC = DC

∴ ΔABC ~ ΔADC   (by SAS criterion)

In ΔABC and ΔADC,

∠B = ∠D

∠BAC = ∠DAC

(∵ ∠BAO = ∠BAC, ∠DAO = ∠DAC, proved above)
∠BAC = ∠DAC

(∵ ∠BCO = ∠BCA, ∠DCO = ∠DCA, proved above)

∴  ΔABC ~ ΔADC    (by AAA similarity)

Required similarity criterions are SSS, SAS and AAA.

The document Assignment: Triangles | Mathematics (Maths) Class 10 is a part of the Class 10 Course Mathematics (Maths) Class 10.
All you need of Class 10 at this link: Class 10
127 videos|584 docs|79 tests

FAQs on Assignment: Triangles - Mathematics (Maths) Class 10

1. What are the different types of triangles based on their sides and angles?
Ans.Triangles can be classified based on their sides and angles. Based on sides, they can be categorized as: - Equilateral Triangle: All three sides are equal in length. - Isosceles Triangle: Two sides are of equal length, and the third side is different. - Scalene Triangle: All three sides have different lengths. Based on angles, they can be classified as: - Acute Triangle: All three angles are less than 90 degrees. - Right Triangle: One angle is exactly 90 degrees. - Obtuse Triangle: One angle is greater than 90 degrees.
2. How do you calculate the area of a triangle?
Ans.The area of a triangle can be calculated using the formula: Area = (base × height) / 2. Here, the base is any one side of the triangle, and the height is the perpendicular distance from the base to the opposite vertex. For special triangles like equilateral triangles, the area can also be calculated using the formula: Area = (√3 / 4) × side², where "side" is the length of one side of the triangle.
3. What is the Pythagorean theorem and how does it apply to right-angled triangles?
Ans.The Pythagorean theorem states that in a right-angled triangle, the square of the length of the hypotenuse (the side opposite the right angle) is equal to the sum of the squares of the lengths of the other two sides. The formula is expressed as: c² = a² + b², where "c" is the length of the hypotenuse, and "a" and "b" are the lengths of the other two sides. This theorem is fundamental in geometry and is used to determine distances and to verify whether a triangle is right-angled.
4. What are the properties of angles in a triangle?
Ans.The sum of the interior angles of a triangle is always 180 degrees. This means that if you know the measures of two angles, you can easily find the third angle by subtracting the sum of the known angles from 180 degrees. Additionally, if a triangle is isosceles, the angles opposite the equal sides are also equal, and in an equilateral triangle, all three angles measure 60 degrees.
5. How can you determine if three lengths can form a triangle?
Ans.To determine if three lengths can form a triangle, you can use the Triangle Inequality Theorem. This theorem states that the sum of the lengths of any two sides must be greater than the length of the third side. Therefore, for three lengths "a", "b", and "c" to form a triangle, the following conditions must hold: a + b > c, a + c > b, b + c > a. If all these conditions are satisfied, the three lengths can form a triangle.
Related Searches

past year papers

,

practice quizzes

,

MCQs

,

Summary

,

shortcuts and tricks

,

pdf

,

Assignment: Triangles | Mathematics (Maths) Class 10

,

Objective type Questions

,

study material

,

Viva Questions

,

Extra Questions

,

Semester Notes

,

Previous Year Questions with Solutions

,

Assignment: Triangles | Mathematics (Maths) Class 10

,

video lectures

,

mock tests for examination

,

Free

,

Important questions

,

ppt

,

Exam

,

Sample Paper

,

Assignment: Triangles | Mathematics (Maths) Class 10

;