Class 10 Exam  >  Class 10 Notes  >  Mathematics (Maths) Class 10  >  HOTS Questions: Polynomials

Class 10 Maths Chapter 2 HOTS Questions - Polynomials

Q1: Find the Quadratic polynomial whose sum and product of zeros are √2 + 1, 1/√2 + 1 .
Ans: 
sum = 2 √2
Product = 1
Q.P = X2 – (sum) x + Product
∴ x– (2 √2 ) x + 1

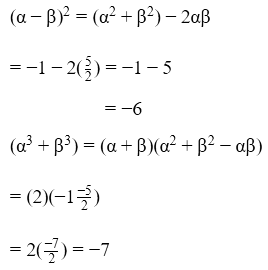
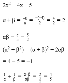
Q2: If α,b are the zeros of the polynomial 2x2 – 4x + 5 find the value of a) α2 + β2 b) (α - β)2.
Ans: 
p (x) = 2 x2 – 4 x + 5
α + β = -b/a = 4/2 = 2
αβ = c/a = 5/2
α+ β2 = (α + β)2 – 2αβ
Substitute then we get, α 2 + β2 = -1
(α - β)= (α + β)2 - 4 α β
Substitute, we get = (α - β)2 = - 6

Q3: If the squared difference of the zeros of the quadratic polynomial x2 + px + 45 is equal to 144 , find the value of p.
Ans:
Let two zeros are a and b where α > β
According given condition
(α - β)2 = 144
Let p(x) = x2 + px + 45
α + β = -b/a = -p/1 = -p
αβ = c/a = 45/1 = 45
now (a - β)2 = 144
(α + β)2 – 4 αβ = 144
(-p)2 – 4 (45) = 144
Solving this we get p = ± 18
Q4: If α, β are the zeros of a Quadratic polynomial such that α + β = 24, α - β = 8. Find a Quadratic polynomial having α and β as its zeros.
Ans: α + β = 24
α - β = 8
_________
2α = 32
α = 32/2 = 16, ∴ α = 16
Work the same way to α+β = 24
So, β = 8
Q.P is x2 – (sum) x + product
= x2 – (16+8) x + 16 x 8
Solve this,
it is k (x2 – 24x + 128)
Q5: If α and β are the zeroes of the polynomial x2 + 8x + 6 frame a quadratic polynomial whose zeroes are  
(a) 1/α and 1/β
(b) 1 + β/α, 1 + α/β.

Ans: Given polynomial x2 + 8x + 6
Class 10 Maths Chapter 2 HOTS Questions - Polynomials
Hence, the Required Quadratic polynomial f(x) is given by
Class 10 Maths Chapter 2 HOTS Questions - Polynomials

Q6: If α & β are the zeroes of the polynomial 2x2 - 4x + 5, then find the value of 
(i) α2 + β2
(ii) 1/a + 1/ß 
(iii) (α - β)2
(iv) 1/α2 + 1/β2
(v) α+ β3

Ans: 
Class 10 Maths Chapter 2 HOTS Questions - Polynomials
Class 10 Maths Chapter 2 HOTS Questions - Polynomials

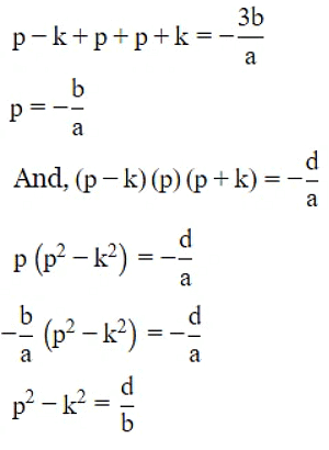
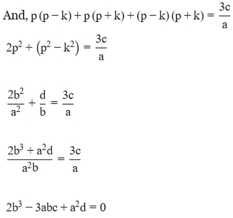
Q7: If the ratios of the polynomial ax3 + 3bx2 + 3cx + d are in AP, Prove that 2b- 3abc + a2d = 0
Ans:
Let the zeros of the given polynomial be p, q, r. As the roots are in A.P., then it can be assumed as p−k, p, p + k, where k is a common difference.
Class 10 Maths Chapter 2 HOTS Questions - Polynomials
Class 10 Maths Chapter 2 HOTS Questions - Polynomials

Q8: If α and β are the zeros of a quadratic polynomial such that  α+β=15 and  α−β=9, find the quadratic polynomial having α and β as its zeros.

Ans: Given:

α+β=15

α−β=9

From α+β=15:

2α = 15+9 = 24  ⇒ α=12

From α−β=9:

2β = 15−9 = 6  ⇒β=3

Quadratic polynomial:

p(x) = x^2 - (\alpha + \beta)x + \alpha\betap(x) = x2− (α+β)x +αβ

Substitute:

p(x) = x^2 - 15x + 36p(x)=x2−15x+36

The document Class 10 Maths Chapter 2 HOTS Questions - Polynomials is a part of the Class 10 Course Mathematics (Maths) Class 10.
All you need of Class 10 at this link: Class 10
127 videos|584 docs|79 tests

FAQs on Class 10 Maths Chapter 2 HOTS Questions - Polynomials

1. What is a polynomial and how is it different from other algebraic expressions?
Ans. A polynomial is a mathematical expression that consists of variables raised to non-negative integer powers, along with coefficients. It can be represented in the form aₙxⁿ + aₙ₋₁xⁿ⁻¹ + ... + a₁x + a₀, where a represents the coefficients, x is the variable, and n is a non-negative integer indicating the degree of the polynomial. Unlike other algebraic expressions, polynomials do not involve variables raised to fractional or negative powers, nor do they include operations like division by a variable.
2. How do you classify polynomials based on their degree and number of terms?
Ans. Polynomials can be classified based on their degree and the number of terms. The degree of a polynomial is the highest power of the variable in the expression. Based on degree, polynomials can be: - Constant Polynomial (degree 0, e.g., 5) - Linear Polynomial (degree 1, e.g., 2x + 3) - Quadratic Polynomial (degree 2, e.g., x² - 4x + 4) - Cubic Polynomial (degree 3, e.g., x³ + x² - x + 1) - And so on. Based on the number of terms, polynomials can be classified as: - Monomial (1 term, e.g., 3x²) - Binomial (2 terms, e.g., x + 1) - Trinomial (3 terms, e.g., x² + 3x + 2)
3. What are the different methods to factor polynomials?
Ans. There are several methods to factor polynomials, including: - Factoring by taking out the common factor: Identify and factor out the greatest common factor (GCF) from all terms. - Factoring by grouping: Group terms in pairs and factor out the common factors from each group. - Using special identities: Utilize identities such as (a + b)² = a² + 2ab + b² or a² - b² = (a - b)(a + b) to factor specific types of polynomials. - Quadratic formula: For quadratic polynomials, use the quadratic formula x = [-b ± √(b² - 4ac)] / 2a to find roots, which can help in factoring.
4. Can you explain the Remainder Theorem and how it is applied to polynomials?
Ans. The Remainder Theorem states that when a polynomial f(x) is divided by a linear divisor (x - c), the remainder of this division is equal to f(c). This theorem helps in evaluating polynomials at specific points without performing the full division. For example, if we want to find the remainder when f(x) = 2x³ - 3x² + x - 5 is divided by (x - 2), we simply calculate f(2). If f(2) yields a value, that value is the remainder.
5. What role do polynomials play in solving real-world problems?
Ans. Polynomials play a significant role in various real-world applications, including physics, engineering, economics, and computer science. They are used to model relationships between quantities, express equations of motion, describe curves in design and architecture, and analyze trends in data. For instance, in physics, polynomials can describe the trajectory of projectiles; in economics, they can model cost and revenue functions to maximize profit. Their ability to represent complex relationships in a manageable form makes them essential tools in problem-solving across disciplines.
Related Searches

MCQs

,

ppt

,

Class 10 Maths Chapter 2 HOTS Questions - Polynomials

,

practice quizzes

,

study material

,

pdf

,

Semester Notes

,

Objective type Questions

,

Sample Paper

,

video lectures

,

Viva Questions

,

Summary

,

mock tests for examination

,

Free

,

shortcuts and tricks

,

Extra Questions

,

Class 10 Maths Chapter 2 HOTS Questions - Polynomials

,

Important questions

,

past year papers

,

Previous Year Questions with Solutions

,

Class 10 Maths Chapter 2 HOTS Questions - Polynomials

,

Exam

;