Short Answer Type Questions- I
Q1: In ΔABC , Right Angled at B, AB = 24cm, BC = 7cm.
Determine the Following Equations:
(i) sinA, cosA
Ans: Let us draw a right-angled triangle ABC, right angled at B.

Using Pythagoras theorem, find AC.
AC
2 = AB
2+BC
2= (24)
2+(7)
2= 576+49
= 625
∴ AC = 25cm
Then,
(ii) sinC, cosC
Ans: Let us draw a right-angled triangle ABC, right angled at B.

Using Pythagoras theorem, find AC.
AC
2 = AB
2+BC
2= (24)
2+(7)
2= 576+49
= 625
∴ AC = 25cm
Then,
Q2: In Adjoining Figure, Find the Value of tanP − cotR.

Ans: Using Pythagoras theorem,
PR
2 = PQ
2+QR
2(13)
2 = (12)
2+QR
2QR
2 = 169−144⇒25
∴ QR = 5cm
Then find tanP − cotR,
First find the value of tanP.

Now find the value of cotR
We know that, tanR= 1/cotR
For that we need to first find the value of tanR

Then,
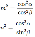
Q3: If sinA = 3/4, Calculate the Value of cosA and tanA.

Ans: Given that the triangle ABC in which ∠B = 90º
Let us take BC = 3k and AC = 4k
Then using Pythagoras theorem,

Calculate the value of cosA

And calculate the value of tanA
Q4: Given 15cotA = 8, Find the Values of sinA and secA.
Ans: Given: 15cotA = 8
Let us assume a triangle ABC in which ∠B = 90º.
Then, 15cotA = 8
⇒ cotA = 8/15
Since cotA =

Let us draw the triangle.

Now, AB = 8k and BC = 15k.
Using Pythagoras theorem, find the value of AC.

Now, find the values of sinA and secA.
Q5: If ∠A and ∠B are Acute Angles Such That cosA = cosB, then show that ∠A = ∠B

Ans: Given: cosA = cosB
In right triangle ABC,

Now, equate equation (1) and (2).

Therefore, Angles opposite to equal sides are equal.
Hence proved.
Q6: State Whether the Following are True or False. Justify Your Answer.
(i) The Value of tanA is Always Less than 1.Ans: False because sides of a right triangle may have any length, so tanA may have any value. For example,
(ii) secA= 12/5 for Some Value of Angle A.Ans: True as secA is always greater than 1. For example,

As hypotenuse will be the largest side. So, it is true.
(iii) cosA is the Abbreviation Used for the Cosecant of Angle A.
Ans: False as cosA is the abbreviation of cosineA. Because cosA means cosine of angle A and cosecA means cosecant of angle A.
(iv) cotA is the Product of cotand A.
Ans: False as cotA is not the product of cot and A. cot without A doesn’t have meaning.
(v) sinθ = 4/3 for Some Angle θ.
Ans: False as sinθ cannot be greater than 1. For example, sinθ =

Since the hypotenuse is the largest side. So, sinθ will be less than 1.
Q7: Express the Trigonometric Ratios sinA, secA and tanA in Terms of cotA.
Ans: Find the value of sinA in terms of cotA.
By using identity cosec
2A−cot
2A = 1.
Then, use cosecA= 1/sinA.

Now find the value for secA in terms of cotA.
Using identity sec
2A−tan
2A = 1
⇒ sec
2A = 1+tan
2A

And find the value for tanA in terms of cot A
By trigonometric ratio property, tanA= 1/cot A
Hence, tanA = 1/cot A
Therefore, sinA, secA and tanA are founded in terms of cotA.
Q8: Write the Other Trigonometric Ratios of A in Terms of secA.
Ans: Find the value of sinA in terms of secA
By using identity, sin
2A+cos
2A = 1

Now find the value for cosA in terms of secA,
By trigonometric ratio property, cosA = 1/sec A

Find the value for tanA in terms of secA,
By using identity, sec
2A−tan
2A = 1
⇒ tan
2A = sec
2A−1

Find the value for cosecA in terms of secA
By trigonometric ratio property, cosecA = 1/sinA

Substitute the value of sinA =


Finally, find the value for cotA in terms of secA
By trigonometric ratio property, cotA = 1/tan A

Substitute the value of tanA =

Q9: Show that Any Positive Odd Integer Is of the Form 6q + 1, or 6q + 3, or 6q + 5, where q is some integer.
Ans: Let a be any positive integer and b= 6.
Then, by Euclid’s algorithm, a=6q+r for some integer q ≥ 0, and r = 0,1,2,3,4,5 because 0 ≤ r < 6.
Therefore, a = 6q or 6q+ 1 or 6q+ 2or 6q +3or 6q+ 4or 6q+ 5
Also, 6q+1 = 2×3q+1 = 2k1+1, where k
1 is a positive integer 6q+3 = (6q+2)+1 = 2(3q+1)+1 = 2k
2+ 1,
Where k
2 is an integer 6q+5 = (6q+4)+1 = 2(3q+2)+1 = 2k
3+1, where k
3 is an integer
Clearly, 6q+1, 6q+3, 6q+5 are of the form 2k+ 1, where k an integer is.
Therefore, 6q + 1, 6q + 3, 6q + 5 are not exactly divisible by 2.
Hence, these expressions of numbers are odd numbers.
And therefore, any odd integer can be expressed in the form 6q+1, or 6q+3, or 6q+5.
Q10: An Army Contingent of 616 Members are to March Behind an Army Band of 32 Members in a Parade. The Two Groups Are to March in the Same Number of Columns. What Is the Maximum Number of Columns in Which They Can March?
Ans: We have to find the HCF(616, 32) to find the maximum number of columns in which they can march.
To find the HCF, we can use Euclid’s algorithm.
616 = 32×19+8
⇒ 32 = 8×4+0
Hence, HCF(616, 32) is 8.
Therefore, they can march in 8 columns each.
Short Answer Type Questions- II
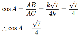
Q11: Given secθ= 13/12, Calculate the Values for All Other Trigonometric Ratios.

Ans: Given: secθ = 13/12
Let us consider a triangle ABC in which ∠A = θ and ∠B = 90º
Let AB = 12k and AC = 13k
Then, find the value of BC

Since, secθ = 13/12
Similarly,
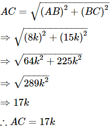
Q12: If cotθ= 7/8, then Evaluate the Followings Equations:
(i) 
Ans: Given: cotθ= 7/8
Let us consider a triangle ABC in which ∠A = θ and ∠B = 90°
Then, AB = 7k and BC = 8k
Using Pythagoras theorem, find AC


Now find the value of trigonometric ratios.

Then,

We know that, cos
2θ+sin
2θ = 1
Then,
(ii) cot2θ
Ans: Given: cot
2θ
We know that, cotθ= cosθ/sinθ
Then,

∴ cot
2θ = 49/64
Hence,

and cot
2θ are same.
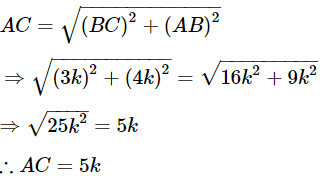
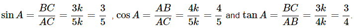
Q13: If 3cotA = 4, then show that 

Ans: Given: 3cotA=4
Let us consider a triangle ABC in which ∠B = 90º
Then, 3cotA = 4 ⇒ cotA = 4/3
Let AB = 4k and BC = 3k
Using Pythagoras theorem, find AC

Now find the value of trigonometric ratios.

To prove:

Let us take left-hand side

Substitute the value of tanA.

⇒ 7/25

Then,
R.H.S =cos
2A−sin
2A

⇒ 7/25
∴ cos
2A−sin
2A = 7/25.
It shows that L.H.S = R.H.S

Hence proved.
Q14: In ΔABC Right Angles at B, if A =
then Find Value of the Following Equations:
(i) sinA cosC + cosA sinC

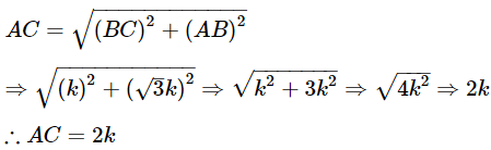
Ans: Let us consider a triangle ABCin which ∠B = 90°
Let BC = k and AB = 3–√k
Then, using Pythagoras theorem find AC

Now find the value of trigonometric ratios.

For ∠C, adjacent = BC, opposite = AB, and hypotenuse = AC

Now find the values of the following equations,
sinAcosC + cosAsinC
(ii) cosAcosC−sinAsinC
Ans: 
∴ cosAcosC − sinAsinC = 0
Q15: In ΔPQR, right angled at Q, PR + QR = 25cm and PQ = 5cm. Determine the Values of sinP, cosP and tanP.

Ans: Given: In ΔPQR, right angled at Q
And PR+QR = 25cm, PQ = 5cm
Let us take QR = x cm and PR = (25−x)cm
By using Pythagoras theorem, find the value of x.
RP
2 = RQ
2+QP
2⇒ (25−x)
2=(x)
2+(5)
2 ⇒ 625 − 50x + x
2 = x
2+25
⇒ −50x =−600 ⇒ x =12
Hence, RQ=12cmand RP=25−12=13cm
Now, find the values of sinP, cosP and tanP.
Q16: If tan(A+B) =√3 and tan(A−B) =
0°<A + B ≤ 90° ; A>B. Find A and B.
Ans: Given: tan(A+B) =√3 and tan(A−B)= 1/√3.
We know that, tan60° =√3 and tan 30° = 1/√3.
Then,
tan(A+B) = tan60°
⇒ A+B = 60° …… (1)
tan(A−B) = tan30°
⇒ A−B = 30° …… (2)
Adding equation (1) and (2). We get,
A+B+A−B = 60°+30° ⇒ 2A=90° ⇒ A = 45°
∴A = 45°
Put A = 45° in equation (1).
A+B = 60°
⇒ 45°+B = 60° ⇒ B= 60°−45° ⇒ B=15°
∴ B = 15°
Hence, A = 45° and B = 15°.
Q17: If xcosθysinθ = a, xsinθ+ycosθ = b, Prove that x2+y2 = a2+b2.
Ans: Given:
xcosθysinθ = a …… (1)
xsinθ+ycosθ = b …… (2)
Squaring and adding the equation (1) and (2) on both sides.
x
2cos
2θ+y
2sin
2θ−2xycosθsinθ+x
2sin
2θ+y
2cos
2θ+2xycosθsinθ = a
2+b
2⇒ x
2(cos
2θ+sin
2θ)+y
2(sin
2θ+cos
2θ) = a
2+b
2⇒ x
2+y
2 = a
2+b
2∴ x
2+y
2 = a
2+b
2Hence proved.
Q18: Prove that sec2θ+cosec2θ Can Never Be Less Than 2.
Ans: Given: sec
2θ+cosec
2θ
We know that, sec
2θ = 1+tan
2θ and cosec
2θ = 1+cot
2θ.
⇒ sec
2θ+cosec
2θ = 1+tan
2θ+1+cot
2θ
⇒ sec
2θ+cosec
2θ = 2+tan
2θ+cot
2θ
Therefore, sec
2θ+cosec
2θ can never be less than 2.
Hence proved.
Q19: If sinφ= 1/2, show that 3cosφ−4cos3φ = 0
Ans: Given: sinφ = 1/2
We know that sin30° = 12.
While comparing the angles of sin, we get
⇒ φ = 30°
Substitute φ = 30° to get
3cosφ−4cos
3φ = 3cos(30°)−4cos
3(30°)

Therefore, 3cosφ−4cos
3φ = 0.
Hence proved.
Q20: If 7sin2φ+3cos2φ = 4, then Show that tanφ = 1/√3.
Ans: Given: 7sin
2φ+3cos
2φ = 4
We know that, sin
2φ+cos
2φ = 1 and tanθ =

Then, 7sin
2φ+3cos
2φ = 4(sin
2φ+cos
2φ)
⇒ 7sin
2φ−4sin
2φ = 4cos
2φ−3cos
2φ
⇒ 3sin
2φ = cos
2φ

Hence proved.
Q21: If cosφ+sinφ = √2cosφ, Prove that cosφ−sinφ = √2sinφ.
Ans: Given: cosφ+sinφ = √2cosφ
Squaring on both sides, we get
⇒ (cosφ+sinφ)
2 = 2cos
2φ
⇒ cos
2φ+sin
2φ+2cosφsinφ = 2cos
2φ
⇒ sin
2φ = 2cos
2φ−cos
2φ−2cosφsinφ
⇒ sin
2φ = cos
2φ−2cosφsin
Add sin
2φ on both sides
⇒ 2sin
2φ = cos
2φ−2cosφsinφ+sin
2φ
⇒ 2sin
2φ = (cosφ−sinφ)
2∴ cosφ−sinφ = √2 sinφ
Hence proved.
Q22: If tanA+sinA = m and tanA−sinA = n, then Show that m2−n2 = 4√mn.
Ans: Given:
tanA + sinA = m …… (1)
tanA − sinA = n …… (2)
Now to prove m
2−n
2= 4√mn.
Take left-hand side

Now take right-hand side

Hence, 4√mn = 4tanAsinA
∴ m
2−n
2 = 4√mn
Hence proved.
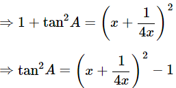
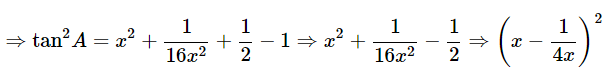
Q23: If secA = x + (1/4x), then prove that secA+tanA = 2x or (1/2x).
Ans: Given: secA = x+ (1/4x)
Squaring on both sides.

We know that, sec
2A = 1+tan
2A


Taking square root on both sides,

Now, find secA + tanA
If tanA = x − (1/4x)
means
Hence proved.
Q24: If A, B are Acute Angles and sinA = cosB, then Find the Value of A+B.
Ans: Given: sinA = cosB
We know that sinA = cos(90°−A)
While comparing the values to get
cosB = cos(90°−A)
⇒ B = 90°−A ⇒ A+B = 90°
∴ A+B = 90°.
Q25: Evaluate the Following Questions:
(i) Solve for ϕ, if tan5ϕ = 1.
Ans: Given: tan5ϕ = 1
We know that, tan
−1(1) = 45°
5ϕ = tan
−1(1) ⇒ 45°
5ϕ = 45°
ϕ = 45°/5 ⇒ 9°
∵ϕ = 9°
(ii) Solve for φ, if 
Ans:

sinφ = sin30° ⇒ φ = 30°
∴ φ = 30°.
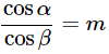
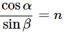
Q26: If
show that (m2+n2)cos2β = n2.
Ans: Given:

… (1)

… (2)
Squaring equation (1) and (2). We get,

Now to prove (m
2+n
2)cos
2β = n
2,
Take left-hand side,


= n
2∴ (m
2+n
2)cos
2β = n
2Hence proved.
Q27: If 7cosecφ−3cotφ = 7, then prove that 7cotφ−3cosecφ = 3.
Ans: Given: 7cosecφ−3cotφ=7
Then prove that, 7cotφ−3cosecφ=3
7cosecφ−3cotφ=7
Squaring on both sides, we get
49cosec
2φ+9cot
2φ−42cosecφcotφ=49
We know that, cosec
2φ=1+cot
2φ and cot
2φ=cosec
2φ−1.
49(cot
2φ+1)+9(cosec
2φ−1)−42cosecφcotφ=49
49cot
2φ+49+9cosec
2φ−9−2(3cosecφ⋅7cotφ)=49
(7cotφ−3cosecφ)
2 = 49−49+9
(7cotφ−3cosecφ)
2 = 9
Take square root on both sides, we get
∴ 7cotφ−3cosecφ = 3
Hence proved.
Q28: Prove that 2(sin6φ+cos6φ) 3(sin4φ+cos4φ)+1 = 0.
Ans: Given: 2(sin
6φ+cos
6φ) 3(sin
4φ+cos
4φ)+1=0
Let us take left-hand side,
2(sin
6φ+cos
6φ) 3(sin
4φ+cos
4φ)+1=2((sin
2φ)
3+(cos
2φ)
3)−3((sin
2φ)
2+(cos
2φ)
2)+1
=2[(sin
2φ+cos
2φ)
3−3sin
2φcos
2φ(sin
2φ+cos
2φ)]−3[(sin
2φ+cos
2φ)
2−2sin
2φcos
2φ]+1
=2[1−3sin
2φcos
2φ]−3[1−2sin
2φcos
2φ]+1
=2−6sin
2φcos
2φ−3+6sin
2φcos
2φ+1
=−1+1
= 0
Therefore, 2(sin
6φ+cos
6φ) 3(sin
4φ+cos
4φ)+1 = 0.
Hence proved.
Q29: If tanθ = 5/6 and θ = ϕ = 90°. What is the value of cotϕ.
Ans: Given: tanθ = 5/6 and θ = ϕ = 90°
We know that, tanθ = 1/cotθ.
cotϕ = 1/tanϕ
= 1/(5/6)
= 6/5
∴cotϕ= 6/5.
Q30: What is the Value of tanφ in terms of sinφ ?
Ans: Given: tanφ
We know that, tanφ =

and cos
2φ+sin
2φ = 1
tanφ = sinφ/cosφ
Q31: If secφ+tanφ = 4, Find the Value of sinφ, cosφ.
Ans: Given: secφ+tanφ = 4

Squaring on both sides.
(1+sinφ)
2 = (4cosφ)
21+2sinφ+sin
2φ = 16cos
2φ
1+2sinφ+sin
2φ = 16(1−sin
2φ)
1+2sinφ+sin
2φ = 16−16sin
2φ
17sin
2φ+2sinφ−15 = 0
17sin
2φ+17sinφ−15sinφ−15 = 0
17sinφ(sinφ+1)−15(sinφ+1) = 0
(sinφ+1)(17sinφ−15) = 0
If sinφ+1 = 0
Hence, sinφ = −1 is not possible.
Then, 17sinφ−15 = 0
∴ sinφ = 15/17
Now find cosφ

Substitute the value of sinφ
1 + (15/17) = 4cosφ
32/17 = 4cosφ
⇒ cosφ =

∴ cosφ = 8/17.
Question for Important Questions: Introduction to Trigonometry
Try yourself:Choose the Correct Option. Justify Your Choice:
9sec2A−9tan2A =
Explanation
9sec2A−9tan2A
⇒ 9(sec2A−tan2A) ⇒ 9×1 ⇒ 9
Report a problem
Question for Important Questions: Introduction to Trigonometry
Try yourself:Choose the Correct Option. Justify Your Choice:
(1+tanθ+secθ)(1+cotθ−cosecθ) =
Explanation
(1+tanθ+secθ)(1+cotθ−cosecθ)

We know that, sin2θ+cos2θ = 1

Report a problem
Question for Important Questions: Introduction to Trigonometry
Try yourself:Choose the Correct Option. Justify Your Choice:
(secA+tanA)(1−sinA) =
Explanation
(secA+tanA)(1−sinA)

We know that, 1−sin2A = cos2A

Report a problem
Question for Important Questions: Introduction to Trigonometry
Try yourself:Choose the Correct Option. Justify Your Choice:
Explanation
Report a problem
Long Answer Type Questions
Q1: Express the Trigonometric Ratios sinA, secA and tanA in Terms of cotA.
Ans: Find the value for sinA in terms of cotA
By using identity cosec2A−cot2A = 1
Then,
⇒ cosec2A = 1+cot2A

Express the value of secA in terms of cotA
By using identity sec2A−tan2A = 1
Then,

Express the value of tanA in terms of cotA
We know that, tanA = 1/cotA
∴ tanA =1/cotA.
Q2: Write the Other Trigonometric Ratios of A in Terms of secA.
Ans: Express the value of sinA in terms of secA
By using identity, sin2A+cos2A = 1
⇒ sin2A = 1−cos2A


Express the value of cosA in terms of secA
We know that, cosA = 1/secA
∴ cosA = 1/secA
Express the value of tanA in terms of secA
By using identity sec2A−tan2A = 1
Then,
⇒ tan2A = sec2A−1

Express the value of cosecA in terms of secA
We know that, cosecA= 1sinA
Then, Substitute the value of sinA

Express the value of cotA in terms of secA
We know that, 
Substitute the value of tanA

Q3: Prove the Following Identities, Where the Angles Involved are Acute Angles for Which the Expressions are Defined:
(i) (cosecθ−cotθ)2= 
Ans: Given: (cosecθ−cotθ)2= 
We know that, (a−b)2 = a2+b2−2ab, cosecθ = 
Then, let us take left-hand side
⇒ (cosecθ−cotθ)2 = cosec2θ + cot2θ − 2cosecθcotθ

Hence proved.
(ii) 
Ans: Given: 
We know that, sin2θ+cos2θ = 1
Then, let us take left-hand side


Hence proved.
(iii) 
Ans: Given:
We know that, a3−b3= (a−b)(a2+b2+ab) and sin2θ+cos2θ = 1
Then, let us take L.H.S


(iv) 
Ans: Given:

Then, let us take L.H.S

Hence proved.
(v)
using the identity cosec2A = 1+cot2A
Ans: Given:
We know that, cosec2A = 1+cot2A
Then, let us take L.H.S

Dividing all terms by sinA


Hence proved.
(vi) 
Ans: Given: 
We know that, 1−sin2θ=cos2θ and (a+b)(a−b) = a2−b2
Then, let us take L.H.S

Let us take conjugate of the term. Then,

Hence proved.
(vii) 
Ans: Given: 
We know that, 1−sin2θ = cos2θ
Then, let us take L.H.S

Hence proved.
(viii) (sinA+cosecA)2+(cosA+secA)2 = 7+tan2A+cot2A
Ans: Given: (sinA+cosecA)2+(cosA+secA)2=7+tan2A+cot2A
We know that, cosec2θ =1+cot2θ and sec2θ = 1+tan2θ
Then, let us take L.H.S


= 5+cosec2A+sec2A
= 5+1+cot2A+1+tan2A
= 7+tan2A+cot2A = R.H.S
∴ (sinA+cosecA)2+(cosA+secA)2=7+tan2A+cot2A
Hence proved.
(ix) (cosecA−sinA)(secA−cosA)= 
Ans: Given: (cosecA−sinA)(secA−cosA) = 
We know that, sin2θ+cos2θ = 1
Then, let us take L.H.S
(cosecA−sinA)(secA−cosA) = 

Dividing all the terms by sinA.cosA

∴ (cosecA−sinA)(secA−cosA) = 
Hence proved.
(x)
Ans: Given:

We know that, 1+tan2θ = sec2θ and 1+cot2θ = cosec2A
Then, let us take L.H.S

Now, prove the Middle side


= (−tanA)2
= tan2A = R.H.S

Hence proved.
Q4: Evaluate the Following Equations:
i. sin60°cos30°+sin30°cos60°
Ans: Given: sin60°cos30°+sin30°cos60°
We know that, 
Then, sin60°cos30°+sin30°cos60°

= 4/4 = 1
∴ sin60°cos30°+sin30°cos60° = 1
(ii) 2tan245°+cos230°−sin260°
Ans: Given: 2tan245°+cos230°−sin260°
We know that, tan45° = 1, sin60° = √3/2 and cos30° = √3/2
Then, 2tan245°+cos230°−sin260°

(iii) 
Ans: Given:

We know that, 



(iv) 
Ans: Given: 
We know that,

Then, 


(v) 
Ans: Given:
Then,



Q5: Prove the Following Identities, Where the Angles Involved are Acute Angles for Which the Expressions are Defined:
(i) (cosecθ−cotθ)2=
Ans: Given: (cosecθ−cotθ)2=
We know that, (a−b)2= a2+b2−2ab, cosecθ = 
Then, let us take left-hand side
⇒(cosecθ−cotθ)2=cosec2θ+cot2θ−2cosecθcotθ

Hence proved.
(ii) 
Ans: Given:
We know that, sin2θ+cos2θ =1
Then, let us take left-hand side



Hence proved.
(iii) 
Ans: Given:

We know that, a3−b3=(a−b)(a2+b2+ab) and sin2θ+cos2θ=1
Then, let us take L.H.S


Hence proved.
(iv) 
Ans: Given:

Then, let us take L.H.S

Hence proved.
(v)
using the identity cosec2A=1+cot2A
Ans: Given:

We know that, cosec2A=1+cot2A
Then, let us take L.H.S

Dividing all terms by sinA


Hence proved.
(vi) 
Ans: Given:

We know that, 1−sin2θ=cos2θ and (a+b)(a−b)=a2−b2
Then, let us take L.H.S

Let us take conjugate of the term. Then,

Hence proved.
(vii) 
Ans: Given:

We know that, 1−sin2θ=cos2θ
Then, let us take L.H.S

Hence proved.
(viii) (sinA+cosecA)2+(cosA+secA)2=7+tan2A+cot2A
Ans: Given: (sinA+cosecA)2+(cosA+secA)2=7+tan2A+cot2A
We know that, cosec2θ=1+cot2θ and sec2θ=1+tan2θ
Then, let us take L.H.S
(sinA+cosecA)2+(cosA+secA)2= 

= 5+cosec2A+sec2A
= 5+1+cot2A+1+tan2A
= 7+tan2A+cot2A = R.H.S
∴ (sinA+cosecA)2+(cosA+secA)2=7+tan2A+cot2A
Hence proved.
(ix) (cosecA−sinA)(secA−cosA) =
Ans: Given: (cosecA−sinA)(secA−cosA)=
We know that, sin2θ+cos2θ = 1
Then, let us take L.H.S
(cosecA−sinA)(secA−cosA)= 

Dividing all the terms by sinA.cosA

∴(cosecA−sinA)(secA−cosA) = 
Hence proved.
(x) 
Ans: Given:

We know that, 1+tan2θ=sec2θ and 1+cot2θ=cosec2A
Then, let us take L.H.S

Now, prove the Middle side


= (−tanA)2
= tan2A = R.H.S

Hence proved.
Question for Important Questions: Introduction to Trigonometry
Try yourself:Choose the Correct Option. Justify Your Choice:
(i) 9sec2A−9tan2A=
Explanation
9sec2A−9tan2A
⇒9(sec2A−tan2A)⇒9×1⇒9
Report a problem
Question for Important Questions: Introduction to Trigonometry
Try yourself:Choose the Correct Option. Justify Your Choice:
(i) (1+tanθ+secθ)(1+cotθ−cosecθ) =
Explanation
(1+tanθ+secθ)(1+cotθ−cosecθ)

We know that, sin2θ+cos2θ = 1

Report a problem
Question for Important Questions: Introduction to Trigonometry
Try yourself:Choose the Correct Option. Justify Your Choice:
(secA+tanA)(1−sinA) =
Explanation
(secA+tanA)(1−sinA)

We know that, 1−sin2A = cos2A

Report a problem
Question for Important Questions: Introduction to Trigonometry
Try yourself:Choose the Correct Option. Justify Your Choice:
Explanation
Report a problem