UPSC Exam  >  UPSC Notes  >  Chemistry Optional Notes for UPSC  >  Gibbs Energy and Redox Reactions

Gibbs Energy and Redox Reactions | Chemistry Optional Notes for UPSC PDF Download

Introduction

  • Changes in reaction conditions can have a tremendous effect on the course of a redox reaction. For example, under standard conditions, the reaction of  Co(s)  with  Ni2+(aq)  to form  Ni(s)  and  Co2+(aq)  occurs spontaneously, but if we reduce the concentration of  Ni2+  by a factor of 100, so that  [Ni2+]  is 0.01 M, then the reverse reaction occurs spontaneously instead. 
  • The relationship between voltage and concentration is one of the factors that must be understood to predict whether a reaction will be spontaneous.

The Relationship between Cell Potential & Gibbs Energy

  • Electrochemical cells convert chemical energy to electrical energy and vice versa. The total amount of energy produced by an electrochemical cell, and thus the amount of energy available to do electrical work, depends on both the cell potential and the total number of electrons that are transferred from the reductant to the oxidant during the course of a reaction. The resulting electric current is measured in coulombs (C), an SI unit that measures the number of electrons passing a given point in 1 s. A coulomb relates energy (in joules) to electrical potential (in volts). Electric current is measured in amperes (A); 1 A is defined as the flow of 1 C/s past a given point (1 C = 1 A·s):
    1 J/1 V = 1 C = A.s (20.5.1)
  • In chemical reactions, however, we need to relate the coulomb to the charge on a mole of electrons. Multiplying the charge on the electron by Avogadro’s number gives us the charge on 1 mol of electrons, which is called the faraday (F), named after the English physicist and chemist Michael Faraday (1791–1867):
    Gibbs Energy and Redox Reactions | Chemistry Optional Notes for UPSC (20.5.2), (20.5.3), (20.5.4)
  • The total charge transferred from the reductant to the oxidant is therefore nF, where n is the number of moles of electrons.

Question for Gibbs Energy and Redox Reactions
Try yourself:
What is the relationship between cell potential and the total number of electrons transferred in an electrochemical cell?
View Solution
 

Michael Faraday (1791–1867)

Faraday was a British physicist and chemist who was arguably one of the greatest experimental scientists in history. The son of a blacksmith, Faraday was self-educated and became an apprentice bookbinder at age 14 before turning to science. His experiments in electricity and magnetism made electricity a routine tool in science and led to both the electric motor and the electric generator. He discovered the phenomenon of electrolysis and laid the foundations of electrochemistry. Most of the specialized terms introduced in this chapter (electrode, anode, cathode, and so forth) are due to Faraday. In addition, he discovered benzene and invented the system of oxidation state numbers that we use today. Faraday is probably best known for “The Chemical History of a Candle,” a series of public lectures on the chemistry and physics of flames.

  • The maximum amount of work that can be produced by an electrochemical cell (wmax) is equal to the product of the cell potential (Ecell) and the total charge transferred during the reaction (nF):
    wmax = nF Ecell (20.5.5)
  • Work is expressed as a negative number because work is being done by a system (an electrochemical cell with a positive potential) on its surroundings.
  • The change in free energy (ΔG) is also a measure of the maximum amount of work that can be performed during a chemical process (ΔG = wmax). Consequently, there must be a relationship between the potential of an electrochemical cell and ΔG; this relationship is as follows:
    ΔG = −nFEcell
  • A spontaneous redox reaction is therefore characterized by a negative value of ΔG and a positive value of Ecell, consistent with our earlier discussions. When both reactants and products are in their standard states, the relationship between ΔG° and Ecell is as follows:
    ΔG° = −nF Ecell (20.5.7)
  • A spontaneous redox reaction is characterized by a negative value of ΔG°, which corresponds to a positive value of E°cell.

Solved Example

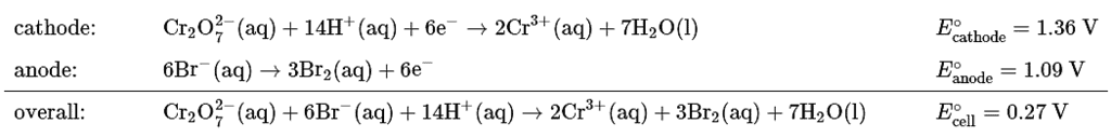
Example 1: Suppose you want to prepare elemental bromine from bromide using the dichromate ion as an oxidant. Using the data in Table P2, calculate the free-energy change (ΔG°) for this redox reaction under standard conditions. Is the reaction spontaneous?
Given: redox reaction
Asked for:  ΔGo  for the reaction and spontaneity
Strategy: (a) From the relevant half-reactions and the corresponding values of  Eo, write the overall reaction and calculate  Ecell.
(b) Determine the number of electrons transferred in the overall reaction. Then use Equation  20.5.7  to calculate  ΔGo. If  ΔGo  is negative, then the reaction is spontaneous.
Ans: 
(a) As always, the first step is to write the relevant half-reactions and use them to obtain the overall reaction and the magnitude of  Eo. From Table P2, we can find the reduction and oxidation half-reactions and corresponding  Eo values:
Gibbs Energy and Redox Reactions | Chemistry Optional Notes for UPSC

To obtain the overall balanced chemical equation, we must multiply both sides of the oxidation half-reaction by 3 to obtain the same number of electrons as in the reduction half-reaction, remembering that the magnitude of  Eo is not affected:
Gibbs Energy and Redox Reactions | Chemistry Optional Notes for UPSC
(b) We can now calculate ΔG° using Equation  20.5.7. Because six electrons are transferred in the overall reaction, the value of  n  is 6:
Gibbs Energy and Redox Reactions | Chemistry Optional Notes for UPSC
Thus  ΔGo  is −168 kJ/mol for the reaction as written, and the reaction is spontaneous.

Potentials for the Sums of Half-Reactions

  • Although Table P2 list several half-reactions, many more are known. When the standard potential for a half-reaction is not available, we can use relationships between standard potentials and free energy to obtain the potential of any other half-reaction that can be written as the sum of two or more half-reactions whose standard potentials are available. For example, the potential for the reduction of Fe3+(aq) to Fe(s) is not listed in the table, but two related reductions are given:
    Gibbs Energy and Redox Reactions | Chemistry Optional Notes for UPSC(20.5.8), (20.5.9)
  • Although the sum of these two half-reactions gives the desired half-reaction, we cannot simply add the potentials of two reductive half-reactions to obtain the potential of a third reductive half-reaction because Eo is not a state function. However, because ΔGo is a state function, the sum of the ΔGo values for the individual reactions gives us ΔGo for the overall reaction, which is proportional to both the potential and the number of electrons (n) transferred. To obtain the value of Eo for the overall half-reaction, we first must add the values of ΔGo(=−nFEo) for each individual half-reaction to obtain ΔGo for the overall half-reaction:
    Gibbs Energy and Redox Reactions | Chemistry Optional Notes for UPSC
  • Solving the last expression for ΔG° for the overall half-reaction,
    ΔG = F[(−0.77V) + (−2)(−0.45V)] = F(0.13V) (20.5.10), (20.5.10)
    Three electrons (n=3) are transferred in the overall reaction, so substituting into Equation 20.5.7 and solving for Eo gives the following:
    Gibbs Energy and Redox Reactions | Chemistry Optional Notes for UPSC
  • This value of Eo is very different from the value that is obtained by simply adding the potentials for the two half-reactions (0.32 V) and even has the opposite sign. Values of E for half-reactions cannot be added to give Eo for the sum of the half-reactions; only values of ΔGo = −nFEcell for half-reactions can be added.

The Relationship between Cell Potential & the Equilibrium Constant

We can use the relationship between  ΔG and the equilibrium constant  K, to obtain a relationship between  Ecell and  K. Recall that for a general reaction of the type  αA + bB → cC + dD, the standard free-energy change and the equilibrium constant are related by the following equation:
ΔG° = −RT ln K (20.5.11)
Given the relationship between the standard free-energy change and the standard cell potential (Equation  20.5.7), we can write
−nF Ecell = −RT ln K (20.5.12)

Rearranging this equation,

Gibbs Energy and Redox Reactions | Chemistry Optional Notes for UPSC(20.5.13)

For  T = 298K, Equation  20.5.13  can be simplified as follows:

Gibbs Energy and Redox Reactions | Chemistry Optional Notes for UPSC(20.5.14), (20.5.15), (20.5.16)

Thus  Ecell is directly proportional to the logarithm of the equilibrium constant. This means that large equilibrium constants correspond to large positive values of  Ecell and vice versa.

Solved Example

Example: Use the data in Table P2 to calculate the equilibrium constant for the reaction of metallic lead with PbO2 in the presence of sulfate ions to give PbSO4 under standard conditions. (This reaction occurs when a car battery is discharged.) Report your answer to two significant figures.
Given: redox reaction
Asked for:  K
Strategy: (a) Write the relevant half-reactions and potentials. From these, obtain the overall reaction and  Eocell.
(b) Determine the number of electrons transferred in the overall reaction. Use Equation  20.5.16  to solve for logK and then  K.
Ans: 
(a) The relevant half-reactions and potentials from Table P2 are as follows:

Gibbs Energy and Redox Reactions | Chemistry Optional Notes for UPSC
(b) Two electrons are transferred in the overall reaction, so  n = 2. Solving Equation  20.5.16  for log K and inserting the values of  n  and  Eo,
Gibbs Energy and Redox Reactions | Chemistry Optional Notes for UPSC
Thus the equilibrium lies far to the right, favoring a discharged battery (as anyone who has ever tried unsuccessfully to start a car after letting it sit for a long time will know).

Figure 20.5.1 summarizes the relationships that we have developed based on properties of the system—that is, based on the equilibrium constant, standard free-energy change, and standard cell potential—and the criteria for spontaneity (ΔG° < 0). Unfortunately, these criteria apply only to systems in which all reactants and products are present in their standard states, a situation that is seldom encountered in the real world. A more generally useful relationship between cell potential and reactant and product concentrations, as we are about to see, uses the relationship between ΔG and the reaction quotient Q.
Gibbs Energy and Redox Reactions | Chemistry Optional Notes for UPSC

Figure  20.5.1: The Relationships among Criteria for Thermodynamic Spontaneity. The three properties of a system that can be used to predict the spontaneity of a redox reaction under standard conditions are K, ΔG°, and E°cell. If we know the value of one of these quantities, then these relationships enable us to calculate the value of the other two. The signs of ΔG° and E°cell and the magnitude of K determine the direction of spontaneous reaction under standard conditions.

  • If delta G is less than zero, E is greater than zero and K is greater than 1 then the direction of the reaction is spontaneous in forward direction. If delta G is greater than zero, E is less than zero and K is less than one then the direction of reaction is spontaneous in reverse direction. If delta G is zero, E is zero and k is one that there is no net reaction and the system is at equilibrium .

Summary

A coulomb (C) relates electrical potential, expressed in volts, and energy, expressed in joules. The current generated from a redox reaction is measured in amperes (A), where 1 A is defined as the flow of 1 C/s past a given point. The faraday (F) is Avogadro’s number multiplied by the charge on an electron and corresponds to the charge on 1 mol of electrons. The product of the cell potential and the total charge is the maximum amount of energy available to do work, which is related to the change in free energy that occurs during the chemical process. Adding together the ΔG values for the half-reactions gives ΔG for the overall reaction, which is proportional to both the potential and the number of electrons (n) transferred. Spontaneous redox reactions have a negative ΔG and therefore a positive Ecell. Because the equilibrium constant K is related to ΔG, E°cell and K are also related. Large equilibrium constants correspond to large positive values of E°.

The document Gibbs Energy and Redox Reactions | Chemistry Optional Notes for UPSC is a part of the UPSC Course Chemistry Optional Notes for UPSC.
All you need of UPSC at this link: UPSC
312 docs

FAQs on Gibbs Energy and Redox Reactions - Chemistry Optional Notes for UPSC

1. What is the relationship between cell potential and Gibbs energy?
Ans. The relationship between cell potential (Ecell) and Gibbs energy (ΔG) is given by the equation ΔG = -nFEcell, where n is the number of moles of electrons transferred in the redox reaction and F is the Faraday constant. This equation shows that the cell potential is directly related to the change in Gibbs energy, with a negative sign indicating a spontaneous (favorable) reaction.
2. How can cell potential be used to determine the equilibrium constant?
Ans. The cell potential can be used to determine the equilibrium constant (K) for a redox reaction through the Nernst equation. The Nernst equation relates the cell potential to the concentrations of the species involved in the reaction. By rearranging the equation, we can derive an expression for K in terms of the cell potential.
3. What are the potentials for the sums of half-reactions?
Ans. The potentials for the sums of half-reactions refer to the overall potential of a redox reaction when the half-reactions are combined. The potential of the sum of half-reactions is equal to the sum of the potentials of the individual half-reactions. This allows us to calculate the overall cell potential for a redox reaction by combining the potentials of the oxidation and reduction half-reactions.
4. How does Gibbs energy relate to redox reactions?
Ans. Gibbs energy (ΔG) is a measure of the spontaneity or favorability of a chemical reaction. In the context of redox reactions, Gibbs energy determines whether a reaction is thermodynamically favorable or not. If the Gibbs energy change (ΔG) for a redox reaction is negative, it means that the reaction is spontaneous and will proceed in the forward direction. If ΔG is positive, the reaction is non-spontaneous and will not occur under standard conditions.
5. How do cell potential and the equilibrium constant relate to each other?
Ans. Cell potential (Ecell) and the equilibrium constant (K) are related through the Nernst equation. The Nernst equation allows us to calculate the cell potential of a redox reaction at non-standard conditions, taking into account the concentrations of the species involved. By comparing the calculated cell potential with the standard cell potential, we can determine whether the reaction is at equilibrium or not. If the calculated cell potential is equal to the standard cell potential, it indicates that the reaction is at equilibrium and the concentrations of the species are in line with the equilibrium constant (K).
Related Searches

MCQs

,

practice quizzes

,

ppt

,

past year papers

,

Objective type Questions

,

Important questions

,

Viva Questions

,

Gibbs Energy and Redox Reactions | Chemistry Optional Notes for UPSC

,

Free

,

Exam

,

Summary

,

Extra Questions

,

study material

,

video lectures

,

Previous Year Questions with Solutions

,

pdf

,

Gibbs Energy and Redox Reactions | Chemistry Optional Notes for UPSC

,

Semester Notes

,

mock tests for examination

,

Sample Paper

,

Gibbs Energy and Redox Reactions | Chemistry Optional Notes for UPSC

,

shortcuts and tricks

;