Civil Engineering (CE) Exam  >  Civil Engineering (CE) Notes  >  Structural Analysis  >  Introduction: The Force Method of Analysis - 2

Introduction: The Force Method of Analysis - 2 | Structural Analysis - Civil Engineering (CE) PDF Download

Solution with RB as the redundant 

2) After selecting  Ras redundant, express all other reactions in terms of the redundant R. This can be accomplished with the help of equilibrium equations.

Thus,

RA = wL − RB                        (7.1a)   

and  

Introduction: The Force Method of Analysis - 2 | Structural Analysis - Civil Engineering (CE)             (7.1b)

3) Now release the restraint corresponding to redundant reaction RB . Releasing restraint in the present case amounts to removing the support at B. Now on the resulting cantilever beam (please note that the released structure is statically determinate structure), apply uniformly distributed load w and the redundant reaction RB as as shown in Fig. 7.2b. The released structure with the external loads is also sometimes referred as the primary structure.  

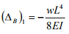
4) The deflection at B of the released structure (cantilever beam, in the present case) due to uniformly distributed load and due to redundant reaction RB could be easily computed from any one of the known methods (moment area method or unit load method). However it is easier to compute deflection at B due to uniformly distributed load and RB in two steps. First, consider only uniformly distributed load and evaluate deflection at B, which is denoted by (ΔB)1 as shown in Fig. 7.2c. Since RB is redundant, calculate the deflection at B due to unit load at B acting in the direction of RB and and is denoted by (ΔB)as shown in

In the present case the positive direction of redundant and deflections are assumed to act upwards. For the present case, (ΔB)1 and (ΔB)2 are given by,

Introduction: The Force Method of Analysis - 2 | Structural Analysis - Civil Engineering (CE)                                      (7.2a)

and 

Introduction: The Force Method of Analysis - 2 | Structural Analysis - Civil Engineering (CE)                                                  (7.2b)

From the principle of superposition, the deflection at B, (ΔB), is the sum of deflection due to uniformly distributed load (ΔB)1 and deflection RBB)2 due to redundant RB . Hence,

ΔB =  (ΔB)1 + RBB)2                                (7.2c)

5) It is observed that, in the original structure, the deflection at B is zero. Hence the compatibility equation can be written as,

ΔB =  (ΔB)1 + RBB)2   = 0                                  (7.3a)

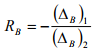
Solving the above equation, the redundant Rcan be evaluated as,

Introduction: The Force Method of Analysis - 2 | Structural Analysis - Civil Engineering (CE)                               (7.3b)

Substituting values of (ΔB)1 and (ΔB)2 , the value of Ris obtained as,

\(R_B = {3wL\over8}\)                             (7.3d)

The displacement at B due to unit load acting at B in the direction of RB is known as the flexibility coefficient and is denoted in this course by aBB.

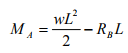
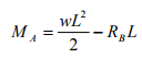
6) Once Ris evaluated, other reaction components can be easily determined from equations of statics. Thus,

Introduction: The Force Method of Analysis - 2 | Structural Analysis - Civil Engineering (CE)                                        (7.4a)

Introduction: The Force Method of Analysis - 2 | Structural Analysis - Civil Engineering (CE)                         (7.4b)

7) Once the reaction components are determined, the bending moment and shear force at any cross section of the beam can be easily evaluated from equations of static equilibrium. For the present case, the bending moment and shear force diagram are shown in Fig. 7.2e.

Solution with MA as redundant

1) As stated earlier, in the force method the choice of redundant is arbitrary. Hence, in the above problem instead of RB one could choose MA as the redundant reaction. In this section the above problem is solved by taking MA as redundant reaction.

2) Now release (remove) the restraint corresponding to redundant reaction MA. This can be done by replacing the fixed support at A by a pin. While releasing the structure, care must be taken to see that the released structure is stable and statically determinate.

Introduction: The Force Method of Analysis - 2 | Structural Analysis - Civil Engineering (CE)
Introduction: The Force Method of Analysis - 2 | Structural Analysis - Civil Engineering (CE)
Introduction: The Force Method of Analysis - 2 | Structural Analysis - Civil Engineering (CE)

3) Calculate the slope at A due to external loading and redundant moment MA. This is done in two steps as shown in Fig. 7.3b and Fig.7.3c. First consider only uniformly distributed load (see Fig. 7.3b) and compute slope at A, i.e.(θA)1 from force displacement relations. Since MA is redundant, calculate the slope at A due to unit moment acting at A in the direction of MA which is denoted by (θA)2 as in Fig. 7.3c. Taking anticlockwise moment and anticlockwise rotations as positive, the slope at A, due to two different cases may be written as,

Introduction: The Force Method of Analysis - 2 | Structural Analysis - Civil Engineering (CE)                    (7.5a)

A)2 = L/3EI                           (7.5b)

From the principle of superposition, the slope at A, θA is the sum of slopes (θA)1 due to external load and MAA)2 due to redundant moment MA. Hence

 MA = (θA)1 + MAA)2               (7.5c)

4) From the geometry of the original structure, it is seen that the slope at A is zero. Hence the required compatibility equation or geometric condition may be written as,

A) = (θA)1 + MAA)2 = 0                      (7.5d)

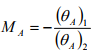
Solving fo MA,

Introduction: The Force Method of Analysis - 2 | Structural Analysis - Civil Engineering (CE)               (7.5e)

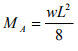
Substituting the values of (θA)1 , and (θA)2 in in equation (7.5e), the value of MA is calculated as

Introduction: The Force Method of Analysis - 2 | Structural Analysis - Civil Engineering (CE)

Introduction: The Force Method of Analysis - 2 | Structural Analysis - Civil Engineering (CE)                      (7.5f)

5) Now other reaction components can be evaluated using equilibrium equations. Thus,

RA = 5wL/8                         (7.6a)

RB = 3wL/8                          (7.6b)

The document Introduction: The Force Method of Analysis - 2 | Structural Analysis - Civil Engineering (CE) is a part of the Civil Engineering (CE) Course Structural Analysis.
All you need of Civil Engineering (CE) at this link: Civil Engineering (CE)
32 videos|154 docs|31 tests

FAQs on Introduction: The Force Method of Analysis - 2 - Structural Analysis - Civil Engineering (CE)

1. What is the Force Method of Analysis in civil engineering?
The Force Method of Analysis is a structural analysis technique used in civil engineering. It involves the calculation of unknown forces or displacements within a structure by applying equilibrium equations and considering the compatibility of deformations. This method is particularly useful for analyzing indeterminate structures.
2. How does the Force Method of Analysis work?
The Force Method of Analysis works by breaking down a structure into smaller, more manageable components called members. Each member is then analyzed individually using equilibrium equations. The unknown forces or displacements are determined by solving a system of simultaneous equations derived from the equilibrium conditions. The compatibility of deformations is also considered to ensure that the structure remains in equilibrium throughout the analysis.
3. What are the advantages of using the Force Method of Analysis?
The Force Method of Analysis offers several advantages in civil engineering. Firstly, it can be applied to analyze both determinate and indeterminate structures, making it a versatile technique. Additionally, it allows for the determination of internal forces and displacements at any point within a structure, providing detailed insight into its behavior. The method also enables the identification of critical sections and the evaluation of structural stability.
4. What are the limitations of the Force Method of Analysis?
While the Force Method of Analysis is a powerful tool, it does have some limitations. One limitation is that it assumes linear behavior of the structure and neglects the effects of material nonlinearity or large deformations. Additionally, the method requires the calculation of numerous equations, which can be time-consuming for complex structures. Furthermore, it may not be suitable for certain types of structures, such as those with highly irregular geometries or complex boundary conditions.
5. Are there any alternative methods to the Force Method of Analysis?
Yes, there are alternative methods to the Force Method of Analysis in civil engineering. Some commonly used techniques include the Displacement Method, the Matrix Method, and the Finite Element Method. Each method has its own advantages and limitations, and the choice of method depends on the specific requirements of the analysis and the complexity of the structure being analyzed.
Related Searches

Exam

,

mock tests for examination

,

Introduction: The Force Method of Analysis - 2 | Structural Analysis - Civil Engineering (CE)

,

Free

,

Viva Questions

,

Introduction: The Force Method of Analysis - 2 | Structural Analysis - Civil Engineering (CE)

,

video lectures

,

Sample Paper

,

practice quizzes

,

ppt

,

Extra Questions

,

MCQs

,

Introduction: The Force Method of Analysis - 2 | Structural Analysis - Civil Engineering (CE)

,

study material

,

Important questions

,

Summary

,

past year papers

,

pdf

,

shortcuts and tricks

,

Semester Notes

,

Objective type Questions

,

Previous Year Questions with Solutions

;