NEET Exam  >  NEET Notes  >  Physics Class 11  >  NCERT Exemplar: Motion in a Straight Line

NCERT Exemplar: Motion in a Straight Line | Physics Class 11 - NEET PDF Download

Multiple Choice Questions (MCQs)

Q.1. Among the four graphs figure, there is only one graph for which average velocity over the time interval (0, T) can vanish for a suitably chosen T. Which one is it?
NCERT Exemplar: Motion in a Straight Line | Physics Class 11 - NEET

Correct Answer is Option (b)

  • Average velocity: It is defined as the ratio of displacement to time taken by the body.
  • Average Velocity=Displacement / Time Taken
  • According to this problem, we need to identify the graph which has the same displacement for two timings.
  • When there are two timings for same displacement, the corresponding velocities should be in opposite directions. 
  • As shown in graph (b), the first slope is decreasing that means particle is going in one direction and its velocity decreases, becomes zero at highest point of the curve and then increasing in backward direction. Hence the particle return to its initial position. 
  • So, for one value of displacement there are two different points of time and we know that slope of x, x-t graph gives us the average velocity. 
  • Hence, for one time, slope is positive then average velocity is A also positive and for other time slope is negative then average velocity is also negative. As there are opposite velocities in the interval 0 to T, hence average velocity can only vanish in option (B)
  • This can be seen in the figure given alongside.
    As shown in the graph,  OA=BT (same displacement) for two different points of time


NCERT Exemplar: Motion in a Straight Line | Physics Class 11 - NEET


Q.2. A lift is coming from the 8th floor and is just about to reach the 4th floor. Taking ground floor as the origin and positive direction upwards for all quantities, which one of the following is correct?
(a) x < 0, v < 0, a > 0
(b) x > 0, v < 0, a < 0
(c) x > 0, v < 0, a > 0
(d) x > 0, v > 0, a < 0

Correct Answer is Option (a)

  • The time rate of change of velocity of an object is called the acceleration of the object.
  • It is a vector quantity. Its direction is the same as that of change in velocity (Not of the velocity).
    Table: Possible ways of velocity change
    NCERT Exemplar: Motion in a Straight Line | Physics Class 11 - NEET
  • Here we will take an upward direction positively. As the lift is coming in a downward direction, the displacement will be negative, thus, x < 0. As displacement is in a negative direction, velocity will also be negative, i.e. v < 0. We have to see whether the motion is accelerating or retarding.
  • We know that due to downward motion displacement will be negative. When the lift reaches the 4th floor and is about to stop velocity is decreasing with time, hence motion is retarding in nature. Hence, a > 0.
  • The motion of the lift will be shown like this
  • NCERT Exemplar: Motion in a Straight Line | Physics Class 11 - NEET


Q.3. In one dimensional motion, instantaneous speed v satisfies 0 ≤ v < v0.
(a) The displacement in time T must always take non-negative values.
(b) The displacement x in time T satisfies – vo T < x < vo T.
(c) The acceleration is always a non-negative number.
(d) The motion has no turning points.

Correct Answer is Option (b)

  • Instantaneous speed is the speed of a particle at a particular instant of time. When we say “speed”, it usually means instantaneous speed. 
  • The instantaneous speed is the average speed for an infinitesimally small time interval (i.e., ∆ → 0). Thus, Instantaneous speed NCERT Exemplar: Motion in a Straight Line | Physics Class 11 - NEET.
  • By definition, instantaneous velocity, v=ds / dt
     where, s = displacement, T= time
     ⟹ ds = v.dt
    Integrating both sides
    ⟹ s(0) = vo(T−0)
    ⟹ s = voT
  • If the velocity is positive or towards the right of origin, 
    Then s = +voT, maximum displacement = +voT
    But if the velocity is negative or towards left of origin
    Then s = −voT, maximum displacement = −voT
    Hence, the displacement s in time T satisfies −voT<s<voT
  • Note: We should not confuse with the direction of velocities, i.e., in one direction it is taken as positive, and in another direction, it is taken as negative.

Q.4. A vehicle travels half the distance L with speed V1 and the other half with speed V2, then its average speed is:
NCERT Exemplar: Motion in a Straight Line | Physics Class 11 - NEET

Correct Answer is Option (c)

Time t1 taken in half distance = L/v1 
Time t2 taken in half distance = L/v2
Total time (t) taken in the distance
NCERT Exemplar: Motion in a Straight Line | Physics Class 11 - NEET
Total distance = L + L = 2L
NCERT Exemplar: Motion in a Straight Line | Physics Class 11 - NEET


Q.5. The displacement of a particle is given by x = (t – 2)2 where x is in meters and t in seconds. The distance covered by the particle in the first 4 seconds is
(a) 4 m
(b) 8 m
(c) 12 m
(d) 16 m

Correct Answer is Option (b)

Instantaneous velocity is defined as the rate of change of position vector of particles with time at a certain instant of time.
NCERT Exemplar: Motion in a Straight Line | Physics Class 11 - NEET
i.e., if x  is given as a function of time, the second time derivative of displacement gives acceleration.

  • In such types of problems, we have to analyze whether the motion is accelerating or retarding. When acceleration is parallel to velocity, particle velocity increases with time, i.e. motion is accelerated. And when acceleration is anti-parallel to velocity, the velocity of the particle decreases with time, i.e. motion is retarded. During retarding journey, particles will stop in between.
  • According to the problem, displacement of the particle is given as a function of time,
    x = (t-2)2
  • By differentiating this equation w.r.t. time we get the velocity of the particle as a function of time,
    v = dx/ dt = d/dt (t-2)2 = 2(t – 2) m/s
  • If we again differentiate this equation w.r.t. time we will get an acceleration of the particle as a function of time,
    NCERT Exemplar: Motion in a Straight Line | Physics Class 11 - NEET = [1 - 0] = 2m/s2
    When t = 0; v = -4 m/s
    t = 2 s; v = 0 m/s
    t = 4 s; v = 4 m/s
  • That means the particle starts moving towards the negative axis, then at t = 0, with a speed 4 m/s, at t = 2 it stops and start coming backwards and at t = 4 its speed is +4 m/s.
    NCERT Exemplar: Motion in a Straight Line | Physics Class 11 - NEETNCERT Exemplar: Motion in a Straight Line | Physics Class 11 - NEET
  • v-t graph is shown in graph (a) and the speed-time graph of the same situation is shown in graph (b).
    Distance travelled = Area of the speed-time graph = area OAC + area ABD
    NCERT Exemplar: Motion in a Straight Line | Physics Class 11 - NEET


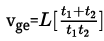
Q.6. At a metro station, a girl walks up a stationary escalator in time t1. If she remains stationary on the escalator, then the escalator takes her up in time t2. The time taken by her to walk upon the moving escalator will be
(a) (t1 + t2)/2
(b) t1t2/(t– t1)
(c) t1t2/(t+ t2)
(d) t1 – t2

Correct Answer is Option (c)

Let L be the length of the escalator.
⇒ Velocity of girl w.r.t. ground vg = L/t1
 Velocity of escalator w.r.t. ground ve = L/t2   
Effective Velocity of girl on moving escalator with respect to ground = vg + ve
NCERT Exemplar: Motion in a Straight Line | Physics Class 11 - NEET
NCERT Exemplar: Motion in a Straight Line | Physics Class 11 - NEET
∴ Time t taken by the girl on moving escalator in going up the distance L is
NCERT Exemplar: Motion in a Straight Line | Physics Class 11 - NEET

Multiple Choice Questions (More Than One Options)


*Multiple options can be correct
Question for NCERT Exemplar: Motion in a Straight Line
Try yourself:Q.7. The variation of quantity A with quantity B, plotted in Fig., describes a particle's motion in a straight line.

NCERT Exemplar: Motion in a Straight Line | Physics Class 11 - NEET

Check
View Solution

Q.8. A graph of x versus t is shown in Fig. Choose correct alternatives from below.
NCERT Exemplar: Motion in a Straight Line | Physics Class 11 - NEET(a) The particle was released from rest at t = 0.
(b) At B, the acceleration a > 0.
(c) At C, the velocity and the acceleration vanish.
(d) Average velocity for the motion between A and D is positive.
(e) The speed at D exceeds that at E.

Correct Answer is Option (a), (c) & (e)

Slope of x-t graph gives v = dx/dt

  • The graph (x-t) is parallel to the time axis at point A, so dx/dt is zero or the particle is at rest. After A, slope dx/dt increases, so velocity increases. Verifies option (a).
  • Tangent at points B and C are parallel to the time axis, so dx/dt = 0 or v = 0.
  • It implies that acceleration a = 0 so it discards option (b) and verifies option (c).
  • From the graph, the slope at D is greater than at E. So speed at D is greater than at E. Verifies the option (e).
  • Velocity at A is Zero as x-t parallel to the time axis, so the average velocity at A is zero. At D displacement or slope is negative. So, the average velocity at D is negative, not positive discards option(d).

Q.9. For the one-dimensional motion, described by x = t - sin t
(a) x (t) > 0 for all t > 0.
(b) v (t) > 0 for all t > 0.
(c) a (t) > 0 for all t > 0.
(d) v (t) lies between 0 and 2

Correct Answer is Option (a) & (d)

  • The position of the particle is given as a function of time, i.e. x = t – sin t.
    Now, sin t < t.
    Dividing by t on both sides, this wouldn't affect the inequality, since we have assumed t > 0.
    Therefore, sin t / t <1
    This is always true for any t > 0
    This means that x > 0 for all t > 0. Option a is correct.
  • By differentiating this equation w.r.t. time we get the velocity of the particle as a function of time.
    NCERT Exemplar: Motion in a Straight Line | Physics Class 11 - NEET
    Velocity is equal to zero when t = 2nπ
    When t = 2π, v = 1 - cos2π = 1-1 = 0
    Therefore, option b is incorrect.
  • If we again differentiate this equation w.r.t. time we will get an acceleration of the particle as a function of time.
    NCERT Exemplar: Motion in a Straight Line | Physics Class 11 - NEET
     When t = 0;  a = 0
     When t = π/2; a = 1 (negative)
     When t = π; a = 0
     When t = 3π/2; a =-1
     When t = 2π;  a = 0
    Therefore, a is both postive and negative. Option c is incorrect.
  • Now  Velocity v = 1 - cos t
    When, cos t = 1, velocity v = 0
     vmax = 1 - (cos t)min = 1 - (- 1) = 2
     vmin = 1 - (cos t)max = 1 - 1 = 0
    Hence, v lies between 0 and 2. Option d is correct.


Q.10. A spring with one end attached to abmass and the other to rigid support is stretched and released.
(a) Magnitude of acceleration, when mass just released is maximum.
(b) Magnitude of acceleration, when at the equilibrium position, is maximum.
(c) Speed is maximum when mass is at an equilibrium position.
(d) Magnitude of displacement is always maximum whenever speed is minimum.

Correct Answer is Option (a) & (c)

NCERT Exemplar: Motion in a Straight Line | Physics Class 11 - NEET

  • As shown in the figure above when spring is stretched by length v, restoring force will be F = -kx (-ve sign shows that the force is always in the direction opposite to displacement x). Then the potential energy of the stretched spring NCERT Exemplar: Motion in a Straight Line | Physics Class 11 - NEET
  • The restoring force is central; hence when the particle is released, it will execute Simple Harmonic Motion about an equilibrium position.
    ⇒ Acceleration will be NCERT Exemplar: Motion in a Straight Line | Physics Class 11 - NEET
  • At equilibrium position, x = 0 ⇒ a = 0
    ⇒ when just released. x = xmax
    Hence, acceleration is maximum. Thus option (a) is correct.
  • At equilibrium whole PE will be converted to K.E. so KE will be maximum and hence, speed will be maximum. Thus option (c) is correct.

Q.11. A ball is bouncing elastically with a speed of 1 m/s between walls of a railway compartment of size 10 m in a direction perpendicular to walls. The train is moving at a constant velocity of 10 m/s parallel to the direction of motion of the ball. As seen from the ground.
(a) The direction of motion of the ball changes every 10 seconds.
(b) Speed of the ball changes every 10 seconds.
(c) Average speed of the ball over any 20-second interval is fixed.
(d) The acceleration of the ball is the same as from the train.

Correct Answer is Option (b), (c) & (d)

  • In this problem, we have to observe the motion from different frames. Here the problem can be solved by the frame of the observer, but here we must be clear that we are considering the Motion from the ground, so we just keep in mind the motion from the frame of the observer. Compared to the velocity of trains (10 m/s) speed of the ball is less (1 m/s).
  • The speed of the ball before the collision with the side of the train is 10 + 1 = 11 m/s Speed after collision with the side of train = 10 - 1 = 9 m/s. As speed is changing after travelling 10 m and speed is 1 m/s; hence time duration of the changing speed is 10 . Thus, option (b) is correct.
  • For the first 10 seconds the speed of the ball is 11m/s. For the next 10 seconds the speed of the ball is 9m/s. The total distance covered by the ball is 20m. The total time taken by the ball to do that is 20 seconds. Thus, average speed during these 20 seconds =1m will be uniform for every 20 seconds. Thus, option (c) is correct.
  • The train is not accelerating itself and is moving with a constant speed. It thus acts as an inertial frame of reference. Earth/ground is also an inertial frame of reference. Thus, the acceleration will be same in both the frames. Option (d) is correct.
    Remember: We should not confuse with a non-inertial and inertial frame of reference. A frame of reference that is not accelerating will be inertial.

Very Short Answer Type Questions 

Q.12. Match the following.
NCERT Exemplar: Motion in a Straight Line | Physics Class 11 - NEET

Correct Answer is (a) - (iii); (b) - (ii); (c) - (iv);(d) - (i)
Let us pick graphs one by one.

  • In graph (a):
    There is a point (B) on the curve for which displacement is zero. So curve, (a) matches with (iii).
    NCERT Exemplar: Motion in a Straight Line | Physics Class 11 - NEET
  • In graph (b):
    In this graph, x is positive (> 0) throughout and at point B, the highest point of the curve the slope of curve is zero. It means at this point v = dx/dt = 0 . Also at point C the dt curvature changes, it means at this point, the acceleration of the particle should be zero or a = 0, So curve (b) matches with (ii).
    NCERT Exemplar: Motion in a Straight Line | Physics Class 11 - NEET
  • In graph (c):
    In this graph the slope is always negative, hence velocity will be negative or v < 0. Also the x-t graph opens up, it represents positive acceleration. So curve (c) matches with (iv).
    NCERT Exemplar: Motion in a Straight Line | Physics Class 11 - NEET
  • In graph (d):
    In this graph the slope is always positive, hence velocity will be positive or v > 0. Also x-t graph opens down, it represents negative acceleration. So curve (d) matches with (i).
    NCERT Exemplar: Motion in a Straight Line | Physics Class 11 - NEET


Q.13. A uniformly moving cricket ball is turned back by hitting it with a bat for a very short time interval. Show the variation of its acceleration with time. (Take acceleration in the backward direction as positive).

  • Impulsive Force is generated by the bat: If we ignore the effect of gravity just by analyzing the motion of the ball in the horizontal direction only, then ball moving uniformly will return back with the same speed when a bat hits it.

NCERT Exemplar: Motion in a Straight Line | Physics Class 11 - NEET

  • Acceleration of the ball is zero just before it strikes the bat. When the ball strikes the bat, it gets accelerated due to the applied impulsive force by the bat.
    The variation of acceleration with time is shown in the graph:
    NCERT Exemplar: Motion in a Straight Line | Physics Class 11 - NEET

Q.14. Give examples of a one-dimensional motion where
(a) The particle moving along positive x-direction comes to rest periodically and moves forward.
(b) The particle moving along positive x-direction comes to rest periodically and moves backwards.

The equation which contains sine and cosine functions is periodic in nature.

(a) The particle will be moving along positive x-direction only if t > sin t
We have displacement as a function of time, x(t) = t – sin t
By differentiating this equation w.r.t. time we get velocity of the particle as a function of time i.e.NCERT Exemplar: Motion in a Straight Line | Physics Class 11 - NEET
If we again differentiate this equation w.r.t. time we will get acceleration of the particle as a function of time i.e. acceleration a(t) = dv/dt = sin t
 when t = 0: x (t) = 0
 when t = π;x (t) = π > 0
 when t = 0; x (t) = 2π > 0

(b) Equation can be represented by: x(t) = sin t,NCERT Exemplar: Motion in a Straight Line | Physics Class 11 - NEET
 At t = 0; x = 0, v = 1 (positive) and a = 0
 At t = π/2 ; x = 1 (positive), v = 0 and a = -1 (negative)
 At t = π; x = 0, v = -1 (negative) and a = 0
 At t = 3π/2 ; x = -1 (negative), v = 0 and a = + 1 (positive)
 At t = 2π, x = 0, v = 1 (positive) and a = 0
Hence the particle moving along positive x-direction comes to rest periodically and moves backwards.
As displacement and velocity are involving sin t and cos t, hence these equations represent periodic nature.

Q.15. Give example of a motion where x > 0, v < 0, a > 0 at a particular instant.

Let the motion is represented by: x(t) = A + Be-γt
Let A > B and y > 0     ...(i)
NCERT Exemplar: Motion in a Straight Line | Physics Class 11 - NEET
Suppose we are considering any instant of time t, then from Eq. (i), we can say that: x(t) > 0; v(t) < 0 and a > 0


Q.16. An object falling through a fluid is observed to have acceleration given by a = g – bv where g = gravitational acceleration and b is constant. After a long time of release, it is observed to fall with constant speed. What must be the value of constant speed?

After a long time of released the velocity becomes constant, i.e.,
NCERT Exemplar: Motion in a Straight Line | Physics Class 11 - NEET
Given acceleration is a = g - bv...(i)
 0 = g - bv [from (i)]  bv = g
 v = g/b
Hence, the constant speed after a long time of release is (g/b).

Short Answer Type Questions

Q.1. A ball is dropped and its displacement vs time graph is as shown Fig. (displacement x is from ground and all quantities are +ve upwards).
NCERT Exemplar: Motion in a Straight Line | Physics Class 11 - NEET(a) Plot qualitatively velocity vs time graph.
(b) Plot qualitatively acceleration vs time graph.

Ans. Key concept: To calculate velocity we will find slope which is calculated by dx/dt for displacement-time curve and to find acceleration we will find slope dv/dt of velocity-time curve.
Sign convention: We are taking downward as negative and upward as positive.
Ball is bouncing on the ground and it is clear from the graph that displacement x is positive throughout. Ball is dropped from a height and its velocity increases in downward direction due to gravity pull. In this condition v is negative but acceleration of the ball is equal to acceleration due to gravity i.e., a = -g. When ball rebounds in upward direction its velocity is positive but acceleration is a = -g.
(a) The velocity-time graph of the ball is shown in fig. (i).
NCERT Exemplar: Motion in a Straight Line | Physics Class 11 - NEET(b) The acceleration-time graph of the ball is shown in fig. (ii).
NCERT Exemplar: Motion in a Straight Line | Physics Class 11 - NEET


Q.2. A particle executes the motion described by x(t) = x0(1 - e-γt); t ≥ 0, x0 > 0.
(a) Where does the particle start and with what velocity?
(b) Find maximum and minimum values of x (t), v (t), a (t). Show that x (t) and a (t) increase with time and v (t) decreases with time.
Ans. Initially, we have to calculate velocity and acceleration and then we can determine the maximum or minimum value accordingly.
We have displacement as a function of time,
x(t) = x0(1 - e-γt)
By differentiating this equation w.r.t. time we get velocity of the particle as a function of time.
NCERT Exemplar: Motion in a Straight Line | Physics Class 11 - NEET
If we again differentiate this equation w.r.t. time we will get acceleration of the particle as a function of time.
NCERT Exemplar: Motion in a Straight Line | Physics Class 11 - NEET
(a) When t = 0; x(t) = x0(1 - e-0) = x0(1 - 1) = 0
x(t = 0) = x0 γe-0 = x0γ(1) = γxo
(b) x(t) is maximum when t = ∞[x(t)]max = x0 
NCERT Exemplar: Motion in a Straight Line | Physics Class 11 - NEET

Q.3. A bird is tossing (flying to and fro) between two cars moving towards each other on a straight road. One car has a speed of 18 m/h while the other has the speed of 27km/h. The bird starts moving from first car towards the other and is moving with the speed of 36km/h and when the two cars were separted by 36 km. What is the total distance covered by the bird? What is the total displacement of the bird?
Ans. Concept of relative velocity (for 1-D): If two objects are moving along the same straight line and we are observing the motion from the frame of one object. Then for the relative velocity, it will be subtracted for velocities in same direction and added for velocities in opposite directions. (Remember: add or subtract them with proper sign conventions).
In this problem we have to use the concept of relative velocity.
NCERT Exemplar: Motion in a Straight Line | Physics Class 11 - NEETAccording to the problem, Speed of first car = 18 km/h
Speed of second car = 27 km/h
∴ Relative speed of each car w.r.t. each other
= 18 + 27 = 45 km/h
Distance between the cars = 36 km
∴ Time of meeting the cars (t)
NCERT Exemplar: Motion in a Straight Line | Physics Class 11 - NEET
Speed of the bird (vb) = 36 km/h
Distance covered by the bird
NCERT Exemplar: Motion in a Straight Line | Physics Class 11 - NEET

Q.4. A man runs across the roof-top of a tall building and jumps horizontally with the hope of landing on the roof of the next building which is of a lower height than the first. If his speed is 9 m/s, the (horizontal) distance between the two buildings is 10 m and the height difference is 9 m, will he be able to land on the next building ? (take g = 10 m/s2)
Ans. Key concept: Horizontal Projectile:
When a body is projected horizontally from a certain height ‘y’ vertically above the ground with initial velocity u. If friction is considered to be absent, then there is no other horizontal force which can affect the horizontal motion. The horizontal velocity therefore remains constant and so the object covers equal distance in horizontal direction in equal intervals of time.
Time of flight: If a body is projected horizontally from a height h with velocity u and time taken by the body to reach the ground is T, then
NCERT Exemplar: Motion in a Straight Line | Physics Class 11 - NEET
NCERT Exemplar: Motion in a Straight Line | Physics Class 11 - NEET
Horizontal range: Let R be the horizontal distance travelled by the body
NCERT Exemplar: Motion in a Straight Line | Physics Class 11 - NEET
NCERT Exemplar: Motion in a Straight Line | Physics Class 11 - NEET
We will apply kinematic one by one along downward and along horizontal. We first consider motion along horizontal and there is no horizontal force which can affect the horizontal motion. The horizontal velocity therefore remains constant and so the object covers equal distance in horizontal direction in equal intervals of time.
According the problem, horizontal speed of the man (u x) = 9 m/s Horizontal distance between the two buildings = 10 m
Height difference between the two buildings = 9 m and g =10 m/s2
Let the man jumps from point A and land on the roof of the next building at point B.
NCERT Exemplar: Motion in a Straight Line | Physics Class 11 - NEETTaking motion in vertical direction,
NCERT Exemplar: Motion in a Straight Line | Physics Class 11 - NEET
NCERT Exemplar: Motion in a Straight Line | Physics Class 11 - NEET
∴ Horizontal distance travelled
NCERT Exemplar: Motion in a Straight Line | Physics Class 11 - NEET
Horizontal distance travelled by the man is greater than 10 m, therefore, he will land on the next building.

Q.5. A ball is dropped from a building of height 45 m. Simultaneously another ball is thrown up with a speed 40 m/s. Calculate the relative speed of the balls as a function of time.
Ans. In motion under gravity, if the ball is released or dropped that means its initial velocity is zero. In this problem as ball is dropped, so its initial velocity will be taken as zero. We will apply kinematic equations.
According to the problem, for the ball dropped from the building, u1 = 0, u2 = 40 m/s
Velocity of the ball after time t,
v1 = u1 - gt
v1 = -gt
NCERT Exemplar: Motion in a Straight Line | Physics Class 11 - NEETAnd for another ball which is thrown upward, u2 = 40 m/s
Velocity of the ball after time t,
v2 = u2 - gt = (40 - gt)
∴ Relative velocity of one ball w.r.t. another ball is
v12 = v1 - v2 = - gt - [-40 -gt]
v12 = v1 - v2 = - gt + 40 + gt = 40 m/s

Important point: Sign Convention:
Any vector quantity directed upward will be taken as positive and directed downward will be taken as negative. According to this sign convention:
NCERT Exemplar: Motion in a Straight Line | Physics Class 11 - NEET(i) Displacement will be taken as positive if final position lies above initial position and negative if final position lies below initial position.
(ii) Velocity(initial or final) will be taken as positive if it is upward and negative if it is downward.
(iii) Acceleration a is always taken to be -g.
In equations of motions we replace a by -g (minus sign, because acceleration is always directed downward)
NCERT Exemplar: Motion in a Straight Line | Physics Class 11 - NEET

Q.6. The velocity-displacement graph of a particle is shown in Fig.
NCERT Exemplar: Motion in a Straight Line | Physics Class 11 - NEET

(a) Write the relation between v and x.
(b) Obtain the relation between acceleration and displacement and plot it.

Ans. In this problem, we will use equation of straight line graph (linear equation), y = mx + c.
In this equation, m is the slope of the graph and c is the interception on y-axis.

NCERT Exemplar: Motion in a Straight Line | Physics Class 11 - NEETNow according to the problem, initial velocity = v0
Let the distance travelled in time t = x0.
NCERT Exemplar: Motion in a Straight Line | Physics Class 11 - NEET  ....(i)
where, v is velocity and x is displacement at any instant of time t.
NCERT Exemplar: Motion in a Straight Line | Physics Class 11 - NEET
NCERT Exemplar: Motion in a Straight Line | Physics Class 11 - NEET
NCERT Exemplar: Motion in a Straight Line | Physics Class 11 - NEET
Graph of a versus x is given below.
NCERT Exemplar: Motion in a Straight Line | Physics Class 11 - NEET

Long Answer Type Questions

Q.1. It is a common observation that rain clouds can be at about a kilometre altitude above the ground.
(a) If a rain drop falls from such a height freely under gravity, what will be its speed? Also calculate in km/h. (g = 10m/s2)
(b) A typical rain drop is about 4mm diameter. Momentum is mass x speed in magnitude. Estimate its momentum when it hits ground.
(c) Estimate the time required to flatten the drop.
(d) Rate of change of momentum is force. Estimate how much force such a drop would exert on you.
(e) Estimate the order of magnitude force on umbrella. Typical lateral separation between two rain drops is 5 cm.
(Assume that umbrella is circular and has a diameter of 1m and cloth is not pierced through !!)

Ans. Key concept: This problem can be solved by kinematic equations of motion and Newton’s second law that Fext = dp/dt will be used, where dp is change in momentum over time dt.
(a) According to the problem (h) = 1 km = 1000 m and we know that the initial velocity of the ball is zero. And displacement covered by rain drop in downward direction, so we will taking h as negative. (We are neglecting the air resistance.)
NCERT Exemplar: Motion in a Straight Line | Physics Class 11 - NEETVelocity attained by the rain drop in freely falling through a height h is
v2 = u2 - 2g(-h)
As u = 0
So,
NCERT Exemplar: Motion in a Straight Line | Physics Class 11 - NEET
(b) Diameter of the drop (d) = 2r = 4 mm
Radius of the drop (r) = 2 mm = 2 x 10-3 m
Mass of a rain drop (w) = V x ρ
NCERT Exemplar: Motion in a Straight Line | Physics Class 11 - NEET
(∵ Density of water = 103 kg/m3)
NCERT Exemplar: Motion in a Straight Line | Physics Class 11 - NEET
Momentum of the rain drop (p) = mv
NCERT Exemplar: Motion in a Straight Line | Physics Class 11 - NEET
NCERT Exemplar: Motion in a Straight Line | Physics Class 11 - NEET
(c) Time required to flatten the drop = Time taken by the drop to travel the distance equal to the diameter of the drop near the ground
NCERT Exemplar: Motion in a Straight Line | Physics Class 11 - NEET
NCERT Exemplar: Motion in a Straight Line | Physics Class 11 - NEET
(d) Force exerted by a rain drop is
NCERT Exemplar: Motion in a Straight Line | Physics Class 11 - NEET
NCERT Exemplar: Motion in a Straight Line | Physics Class 11 - NEET
(e) Radius of the umbrella (R) = 1/2 m
∴ Area of the umbrella
NCERT Exemplar: Motion in a Straight Line | Physics Class 11 - NEET
NCERT Exemplar: Motion in a Straight Line | Physics Class 11 - NEET
Number of drops striking the umbrella simultaneously with average separation of 5 cm (5 x 102 m)
NCERT Exemplar: Motion in a Straight Line | Physics Class 11 - NEET
∴ Net force exerted on umbrella
NCERT Exemplar: Motion in a Straight Line | Physics Class 11 - NEET

Q.2. A motor car moving at a speed of 72km/h can not come to a stop in less than 3.0 s while for a truck this time interval is 5.0 s. On a highway the car is behind the truck both moving at 72km/h. The truck gives a signal that it is going to stop at emergency. At what distance the car should be from the truck so that it does not bump onto (collide with) the truck. Human response time is 0.5s.
Ans. According to the problem, speed of car as well as truck = 72 km/h
NCERT Exemplar: Motion in a Straight Line | Physics Class 11 - NEET
Time required to stop the truck = 5 s
Finally the truck comes to rest, so Final velocity of truck will be zero.
Retardation produced by truck:
NCERT Exemplar: Motion in a Straight Line | Physics Class 11 - NEET
or at = -4 m/s2
Time required to stop the car = 3 s
Finally the car comes to rest just behind the truck in the same time to avoid collision, so final velocity of car will also be zero.
Retardation produced by car is
NCERT Exemplar: Motion in a Straight Line | Physics Class 11 - NEET
NCERT Exemplar: Motion in a Straight Line | Physics Class 11 - NEET
Let car be at a distance s from the truck, when truck gives the signal and t be the time taken to cover this distance.
As human response time is 0.5 s, in this time car will cover some distance with uniform velocity. Therefore, time of retarded motion of car is (t - 0.5) s. Velocity of car after time t,
NCERT Exemplar: Motion in a Straight Line | Physics Class 11 - NEET
Velocity of truck after time r,
vt = 20 - 4t
To avoid the car bump onto the truck
NCERT Exemplar: Motion in a Straight Line | Physics Class 11 - NEET
NCERT Exemplar: Motion in a Straight Line | Physics Class 11 - NEET
Distance travelled by the truck in time t,
NCERT Exemplar: Motion in a Straight Line | Physics Class 11 - NEET
NCERT Exemplar: Motion in a Straight Line | Physics Class 11 - NEET
Distance travelled by car in time t = Distance travelled by car in 0.5 s (without retardation) + Distance travelled by car in (t - 0.5) s (with retardation)
NCERT Exemplar: Motion in a Straight Line | Physics Class 11 - NEET
∴  sc - st = 23.125 - 21.875 = 1.250 m
Therefore, to avoid the collision with the truck, the car must maintain a distance from the truck more than 1.250 m.

Q.3. A monkey climbs up a slippery pole for 3 seconds and subsequently slips for 3 seconds. Its velocity at time t is given by v(t) = 2t (3 - t); 0< t < 3 and v (t)=– (t – 3)(6 – t) for 3 < t < 6 s in m/s. It repeats this cycle till it reaches the height of 20 m.
(a) At what time is its velocity maximum?
(b) At what time is its average velocity maximum?
(c) At what time is its acceleration maximum in magnitude?
(d) How many cycles (counting fractions) are required to reach the top?
Ans. 
We have to calculate time corresponding to maximum velocity. So we first need to find the maximum velocity in this problem. To calculate maximum dv velocity we will use dv/dt = 0
Given
v(t) = 2t(3 - t) = 6t - 2t2       ....(i)
NCERT Exemplar: Motion in a Straight Line | Physics Class 11 - NEET
NCERT Exemplar: Motion in a Straight Line | Physics Class 11 - NEET
NCERT Exemplar: Motion in a Straight Line | Physics Class 11 - NEET
NCERT Exemplar: Motion in a Straight Line | Physics Class 11 - NEET
where, s is displacement
∴ Distance travelled in time interval 0 to 3 s,
NCERT Exemplar: Motion in a Straight Line | Physics Class 11 - NEET
NCERT Exemplar: Motion in a Straight Line | Physics Class 11 - NEET
NCERT Exemplar: Motion in a Straight Line | Physics Class 11 - NEET
NCERT Exemplar: Motion in a Straight Line | Physics Class 11 - NEET
NCERT Exemplar: Motion in a Straight Line | Physics Class 11 - NEET

NCERT Exemplar: Motion in a Straight Line | Physics Class 11 - NEET
NCERT Exemplar: Motion in a Straight Line | Physics Class 11 - NEET
Considering positive sign only
NCERT Exemplar: Motion in a Straight Line | Physics Class 11 - NEET
(c) In a periodic motion when Velocity is zero acceleration will be maximum putting v = 0 in Eq. (i).
NCERT Exemplar: Motion in a Straight Line | Physics Class 11 - NEET
(d) Distance covered in 0 to 3 s = 9 m
Distance covered in 3 to 6 s
NCERT Exemplar: Motion in a Straight Line | Physics Class 11 - NEET
∴ Total distance travelled in one cycle
= s1 + s2 = 9 - 4.5 = 4.5 m
Number of cycles to be covered in total distance = 20/4.5 ≈ 4.44 ≈ 5

Q.4. A man is standing on top of a building 100 m high. He throws two balls vertically, one at t = 0 and other after a time interval (less than 2 seconds). The later ball is thrown at a velocity of half the first. The vertical gap between first and second ball is +15 m at t = 2 s. The gap is found to remain constant. Calculate the velocity with which the balls were thrown and the exact time interval between their throw.
Ans. We solve this problem by using kinematic equations with proper sign convention and to calculate time interval we will take We solve this problem by using kinematic equations with proper sign convention and to calculate time interval we will take difference of displacements.
NCERT Exemplar: Motion in a Straight Line | Physics Class 11 - NEETLet the speeds of the two balls (1 and 2) be v1 and v2 where: if v1 = 2v, v2 = v
if y1 and y2 and the displacement covered by the balls 1 and 2, respectively, before coming to rest, then
NCERT Exemplar: Motion in a Straight Line | Physics Class 11 - NEET
NCERT Exemplar: Motion in a Straight Line | Physics Class 11 - NEET
NCERT Exemplar: Motion in a Straight Line | Physics Class 11 - NEET
NCERT Exemplar: Motion in a Straight Line | Physics Class 11 - NEET
If t2 is the time taken by the ball 2 to cover a displacement of 5 m, then from
NCERT Exemplar: Motion in a Straight Line | Physics Class 11 - NEET
NCERT Exemplar: Motion in a Straight Line | Physics Class 11 - NEET
where t2 = 1 s
Since t1 (time taken by ball 1 to cover distance of 20 m) is 2 s, time interval between the two throws = t1 - t2 = 2s - 1s = 1s

Important note: We should be very careful when we are applying the equation of rectilinear motion. These equations are applicable only in case of constant acceleration.

Some important observations for motion under gravity:

  • The motion is independent of the mass of the body, as in any equation of motion, mass is not involved. That is why a heavy and light body when released from the same height, reach the ground simultaneously and with same velocity, i.e., t = √(2h/g) and v = √2gh.
  • In case of motion under gravity time taken to go up is equal to the time taken to fall down through the same distance.

Time of descent (t1) = time of ascent (t2) = u/g
Total time of flight T = tx + t2 = 2u/g

  • In case of motion under gravity, the speed with which a body is projected up is equal to the speed with which it comes back to the point of projection.
    As well as the magnitude of velocity at any point on the path is same whether the body is moving in upwards or downward direction.
  • A body is thrown vertically upwards. If air resistance is to be taken into account, then the time of ascent is less than the time of descent t> t1

Let u be the initial velocity of body, then time of ascent NCERT Exemplar: Motion in a Straight Line | Physics Class 11 - NEET and NCERT Exemplar: Motion in a Straight Line | Physics Class 11 - NEET
where g is acceleration due to gravity and a is retardation by air resistance and for upward motion both will act vertically downward.
For downward ‘motion a and g will act in opposite direction because a always act in direction opposite to motion and g always act vertically downward.
NCERT Exemplar: Motion in a Straight Line | Physics Class 11 - NEET
NCERT Exemplar: Motion in a Straight Line | Physics Class 11 - NEET
Comparing t1 and t2 we can say that t2 > t1, since (g + a) > (g - a)

The document NCERT Exemplar: Motion in a Straight Line | Physics Class 11 - NEET is a part of the NEET Course Physics Class 11.
All you need of NEET at this link: NEET
96 videos|367 docs|98 tests

FAQs on NCERT Exemplar: Motion in a Straight Line - Physics Class 11 - NEET

1. How can we calculate the average speed of an object in motion?
Ans. To calculate the average speed of an object in motion, you can use the formula: Average Speed = Total Distance/Total Time taken.
2. What is the difference between speed and velocity?
Ans. Speed is a scalar quantity that only considers the magnitude of the motion, whereas velocity is a vector quantity that includes both the magnitude and direction of the motion.
3. What is the significance of a distance-time graph in analyzing the motion of an object?
Ans. A distance-time graph helps to visualize the motion of an object by showing how the distance changes over time. The slope of the graph represents the speed of the object.
4. How do we calculate the instantaneous speed of an object in motion?
Ans. The instantaneous speed of an object is calculated by finding the slope of the tangent to the curve on a distance-time graph at a specific point in time.
5. What is uniform motion?
Ans. Uniform motion is when an object travels in a straight line with a constant speed. This means that the object covers equal distances in equal intervals of time.
Related Searches

MCQs

,

video lectures

,

Extra Questions

,

Semester Notes

,

Sample Paper

,

Viva Questions

,

past year papers

,

Exam

,

ppt

,

NCERT Exemplar: Motion in a Straight Line | Physics Class 11 - NEET

,

mock tests for examination

,

study material

,

Important questions

,

Free

,

NCERT Exemplar: Motion in a Straight Line | Physics Class 11 - NEET

,

shortcuts and tricks

,

Previous Year Questions with Solutions

,

NCERT Exemplar: Motion in a Straight Line | Physics Class 11 - NEET

,

Summary

,

practice quizzes

,

pdf

,

Objective type Questions

;