NEET Exam  >  NEET Notes  >  Physical Chemistry for NEET  >  Solved Examples: The Solid State

Solved Examples: The Solid State | Physical Chemistry for NEET PDF Download

SOLVED SUBJECTIVE PROBLEMS

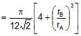
Example 1. A face-centred cubic solid of an element A has a largest sized guest atom B at the body centre octahedral hole if insertion of B doesn't affect the original unit cell dimension; determine the packing fraction of the solid.
Sol. In the given solid, there is one B and four A per unit cell.

Solved Examples: The Solid State | Physical Chemistry for NEET

Also, under the condition of largest possible size of B, it will be in contact of A present at the face centres only and the following relationship will exist:
Solved Examples: The Solid State | Physical Chemistry for NEET and 2(rA + rB) = a
solving,
Solved Examples: The Solid State | Physical Chemistry for NEET
Now, packing fraction
Solved Examples: The Solid State | Physical Chemistry for NEET
Solved Examples: The Solid State | Physical Chemistry for NEET

Solved Examples: The Solid State | Physical Chemistry for NEET
Solved Examples: The Solid State | Physical Chemistry for NEET

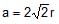
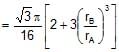
Example 2. An element A has BCC structure and another guest atom B, of largest possible size are present at each edge centres of unit cell of A but without disturbing the original unit cell dimension. Determining the void percentage of this solid. 

Solved Examples: The Solid State | Physical Chemistry for NEET

Sol. Since B is closer to corner than to face centre, in close contact,
2(rA + rB) = a
Solved Examples: The Solid State | Physical Chemistry for NEET
Solved Examples: The Solid State | Physical Chemistry for NEET
In a unit cell, there are two A and 12 × = 3B
Packing fraction (f) = Solved Examples: The Solid State | Physical Chemistry for NEET

Solved Examples: The Solid State | Physical Chemistry for NEET 
⇒ Void space = 31.6%

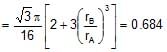
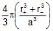
Example 3. An element A has a BCC structure and another guest atoms B, of largest possible size, are present at the face centres, but without disturbing the unit cell dimension. Determine the packing fraction of this solid.

Solved Examples: The Solid State | Physical Chemistry for NEET

Sol. In the above solid, face centres are closer to body centre, therefore, the relationship.
2(rA rB) = 0
Solved Examples: The Solid State | Physical Chemistry for NEET
Solved Examples: The Solid State | Physical Chemistry for NEET

Now, packing fraction (f) = Solved Examples: The Solid State | Physical Chemistry for NEET
Solved Examples: The Solid State | Physical Chemistry for NEET = 0.684

Example 4. Calcium has face-centred cubic lattice and radius of calcium atom is 195.6 picometre. Determine the number of Ca atoms present on surfaces of a mm3 block of calcium metal assuming that atoms in the closest packing calcium metal assuming that atoms are in the closest packing. 
Sol. In FCC, the relation is

Solved Examples: The Solid State | Physical Chemistry for NEET

Solved Examples: The Solid State | Physical Chemistry for NEET 
Solved Examples: The Solid State | Physical Chemistry for NEET 
= 553.24 × 10-9 mm.
⇒ Area of a face of unit cell = a3 = 3.06 × 10-13 mm2
⇒ Surface area of metal block = 6 mm2
⇒ Total number of faces of unit cells present on surface
= Solved Examples: The Solid State | Physical Chemistry for NEET = 1.96 × 1013
Each face contributes two Ca atoms on surface as shown in diagram.
⇒ Total number of Ca atoms present on surface
= 2 × 1.96 × 1013 = 3.92 × 1013

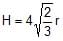
Example 5. An atom crystallizes in hexagonal closed packed arrangement. Determine dimensions (radius and length) of a large cylindrical atom that can be accommodated in the centre of HCP, in terms of radius of host atom. 
Sol. The cylinder will pass through centre of middle layer and will lie between the face centres.

Solved Examples: The Solid State | Physical Chemistry for NEET

Therefore,
Height of cylinder (h) = height of hexagon (h) = 2r
Since, in HCP : Solved Examples: The Solid State | Physical Chemistry for NEET,
where r = radius of atoms.
Solved Examples: The Solid State | Physical Chemistry for NEET 
r = 1.266 r
Also, if R is the radius of cylinder, then in the case of closet contact :
Solved Examples: The Solid State | Physical Chemistry for NEET 
⇒ R = 0.155 r,
⇒ h = 1.266 r

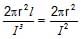
Example 6. A uniform cylindrical, polymer molecule crystallizes in body centred cubic array. Determine the packing fraction of this polymer in solid state assuming that molecules are in their closest contact. 
Sol. The arrangement of molecules can be represented as follows :

Solved Examples: The Solid State | Physical Chemistry for NEET

Here,
 Solved Examples: The Solid State | Physical Chemistry for NEET 
Solved Examples: The Solid State | Physical Chemistry for NEET
Packing fraction (f) = Solved Examples: The Solid State | Physical Chemistry for NEET

= Solved Examples: The Solid State | Physical Chemistry for NEET

Example 7. Show the following arrays of atoms on a plane in an atomic FCC.

(A)
Solved Examples: The Solid State | Physical Chemistry for NEET

(B)
Solved Examples: The Solid State | Physical Chemistry for NEET

(C)
Solved Examples: The Solid State | Physical Chemistry for NEET

(D)
Solved Examples: The Solid State | Physical Chemistry for NEET

Sol. 
(A)
Solved Examples: The Solid State | Physical Chemistry for NEET

(B)
Solved Examples: The Solid State | Physical Chemistry for NEET

(C)
Solved Examples: The Solid State | Physical Chemistry for NEET

(D)
Solved Examples: The Solid State | Physical Chemistry for NEET

Example 8. Cesium bromide crystallizes in cubic arrangement like CsCl. Given the ionic radii of Cs  and Br- are 1.88 Å and 1.82 Å respectively, determine the packing fraction. 
Sol. Here Cs  ion is at body centre and Br- at the corners, therefore the relationship is
2(r++ r-) = Solved Examples: The Solid State | Physical Chemistry for NEET 
= 2 (1.88 1.82) Å,
⇒ a = 4.27 Å
Packing fraction (f) = Solved Examples: The Solid State | Physical Chemistry for NEETSolved Examples: The Solid State | Physical Chemistry for NEET

Example 9. Titanium metal crystallizes in a BCC arrangement and radius of an atom is 142 picometre. Determine the atomic weight of titanium if the density is 16.6 g/cm3. Also determine the number of unit cells present in a 5 cm block of titanium metals. 
Sol. In BCC arrangement of atoms, the relationship between edge length radius of the atom is
Solved Examples: The Solid State | Physical Chemistry for NEET

Density (r) = Solved Examples: The Solid State | Physical Chemistry for NEET
Where, N = Number of atoms per unit cell,
M = Molar mass, NA = Avogadro's number
V = Volume of unit cell
Solved Examples: The Solid State | Physical Chemistry for NEET

Here, the radius is taken in cm unit since, density is in g/cm3 unit.
Solving : M = 176. Also mass of 5 cm3 block = 5 × 16.6 = 83 g

⇒ Number of atoms is 5 cm3 block Solved Examples: The Solid State | Physical Chemistry for NEET

⇒ Number of unit cells   Solved Examples: The Solid State | Physical Chemistry for NEET = Solved Examples: The Solid State | Physical Chemistry for NEET = 1.42 × 1023

Example 10. Copper metal crystallizes in face-centred cubic arrangement and surface of adjacent atoms along the edge of the unit cell are 106 picometres apart. Determine the density of metal. Atomic mass of copper metal is 63.5 u. 
Sol. According to the given information, a view of one face of the unit cell will be as shown below.
In FCC; 4√2a

Solved Examples: The Solid State | Physical Chemistry for NEET

The given distance is a - 2r = a - Solved Examples: The Solid State | Physical Chemistry for NEET

Solved Examples: The Solid State | Physical Chemistry for NEET
⇒ a = 362 pm = 3.62 × 10-8 cm
Solved Examples: The Solid State | Physical Chemistry for NEET = 8.89 g/cm3

 

Example 11. Potassium crystallizes in "body centred cubic" arrangement and the surfaces of the adjacent atoms along the edges of unit cells are 71.4 picometre apart. Determine the density of metal. Atomic weight of K = 39. ?
Sol. In BCC, the relationship between edge length and radius of atom is
Solved Examples: The Solid State | Physical Chemistry for NEET
Also, given a - 2r = 71.4 × 10-10 cm
Solved Examples: The Solid State | Physical Chemistry for NEET
 ⇒ 71.4 × 10-10 cm
⇒ a = 5.329 × 10-10 cm
Solved Examples: The Solid State | Physical Chemistry for NEET
= 0.855 g/cm3

The document Solved Examples: The Solid State | Physical Chemistry for NEET is a part of the NEET Course Physical Chemistry for NEET.
All you need of NEET at this link: NEET
117 videos|226 docs|237 tests

FAQs on Solved Examples: The Solid State - Physical Chemistry for NEET

1. What is the Solid State in NEET?
Ans. In NEET, the Solid State refers to the study of the physical properties of solids such as their structure, bonding, and electrical properties.
2. What are some important topics to study in the Solid State for NEET?
Ans. Some important topics to study in the Solid State for NEET include crystal structure, Bragg's law, types of solids, packing in solids, defects in solids, electrical properties of solids, and magnetic properties of solids.
3. How can I prepare for the Solid State section in NEET?
Ans. To prepare for the Solid State section in NEET, you should thoroughly study the concepts and topics mentioned above, practice solving numerical problems, and attempt previous year question papers and mock tests. You can also refer to standard textbooks and online resources for additional practice and understanding.
4. What are some common mistakes students make in the Solid State section of NEET?
Ans. Some common mistakes students make in the Solid State section of NEET include ignoring the theoretical concepts and focusing only on numerical problems, failing to understand the interrelation between different concepts, and not practicing enough.
5. How much weightage does the Solid State section carry in NEET?
Ans. The Solid State section carries around 5-6% weightage in NEET, which means it can contribute significantly to your overall score. Therefore, it is important to prepare well for this section to increase your chances of scoring high in the exam.
Related Searches

Solved Examples: The Solid State | Physical Chemistry for NEET

,

Solved Examples: The Solid State | Physical Chemistry for NEET

,

study material

,

Summary

,

Extra Questions

,

Semester Notes

,

practice quizzes

,

ppt

,

Objective type Questions

,

Viva Questions

,

MCQs

,

Important questions

,

shortcuts and tricks

,

Free

,

Solved Examples: The Solid State | Physical Chemistry for NEET

,

pdf

,

Previous Year Questions with Solutions

,

past year papers

,

video lectures

,

mock tests for examination

,

Sample Paper

,

Exam

;