Class 10 Exam  >  Class 10 Notes  >  Detailed Chapter Notes - Ray Optics, Class 10, Science

Ray Optics Class 10 Notes Science

Important,Chapter,Notes,Ray,Optics,Class,10th,ScienceImportant,Chapter,Notes,Ray,Optics,Class,10th,ScienceImportant,Chapter,Notes,Ray,Optics,Class,10th,ScienceRay Optics


Definition

Light is form of energy which enables us to see objects which emit or reflect light.

Light is a type of (form of) energy which can produce sensation in our eyes. So we can experience the sensation of vision.

It is travel in straight line in form of particles and waves. With the help of light we see all colours of nature.

Our eyes are mostly sensitive for yellow colour and least sensative for violet and red colour. Due to this reason commercial vehicle's are painted with yellow colour, sodium lamps are used in road lights.

 

Properties of light

Light energy propagates (travels) via two processes.

(i) The particles of the medium carry energy from one point of the medium to another.

(ii) The particles transmit energy to the neighbouring particles and in this way energy propagates in the form of a wave.

(iii) It propagates in straight line.

(iv) It's velocity in vacuum is maximum whose value is 3 × 108 m/sec. (297489978 m/s)

(v) Light does not need a material medium to travel that is it can travel through a vacuum.

(vi) It exhibits the phenomena of reflection refraction, interference, difraction, polarisation and double refraction.

 

Ray of light

A straight line which show the direction moment of light is called ray of light.

 

beam of light

A bunch of light rays or bundal of rays at a point is called beam of light.

Important,Chapter,Notes,Ray,Optics,Class,10th,Science

 

How we see ?

When a light ray is falling (strike) on the surface of any object which reflect and reached to our eyes. Due to this our eyes feel a sensation then we see the object.

 Reflection of light

When rays of light falls on any object it return back in the same medium from the surface this phenomenon is called reflection of light. Due to reflection of light we can see all the nature.

 Incident ray

The ray of light which falls on a polished surface (or a mirror) is called the incident ray of light.

 Reflected ray

The ray of light which gets reflected from a polished surface (or a mirror) is called the reflected ray of light.

 

Normal

 The normal is a line at right angle to the reflecting surface.

 

Important,Chapter,Notes,Ray,Optics,Class,10th,Science

 

 Laws of reflection

(i) The incident ray, the reflected ray and the normal to the surface at the point of incidence all lie in the same plane.

(ii) The angle of incidence (i) is always equal to the angle of reflection (r) i.e. i = Important,Chapter,Notes,Ray,Optics,Class,10th,Sciencer

 

Important,Chapter,Notes,Ray,Optics,Class,10th,Science

 

  • When a ray of light falls on a mirror normally or at right angle it gets reflected back along the same path.

 

Important,Chapter,Notes,Ray,Optics,Class,10th,Science

Depending on the nature of the reflecting surface there are two types of reflection :-

(i) Regular (specular) reflection (ii) Irregular (diffused) reflection

 

Regular reflection

When paraller light rays fall on smooth plane surface like mirror, if all rays of light are reflected parallely along a difinite direction. Then this kind of reflection is called regular reflection.

 

Important,Chapter,Notes,Ray,Optics,Class,10th,Science Important,Chapter,Notes,Ray,Optics,Class,10th,Science Important,Chapter,Notes,Ray,Optics,Class,10th,Science


 

Irregular reflection (Diffused reflection)

 

When paraller light rays fall on a rough surface all the rays of light are reflected in all possibal (Different) direction this is called diffused or irregular reflection.

 

 

Important,Chapter,Notes,Ray,Optics,Class,10th,Science

 

Mirror

A smooth, highly polished reflecting surface is called a mirror.

When a glass plate is polished on one sided with reflecting material such silver or nickel then is becomes a mirror.

From the reflecting surface of mirror there are two types of mirror.

(i) Plane mirror (ii) Spherical or curved mirror

 

(i) Plane mirror : A highly polished plane surface is called a plane mirror or if a flat (totally plane) surface of a glass plate is polished one side of reflecting material is called plane mirror.

Important,Chapter,Notes,Ray,Optics,Class,10th,Science

 

(ii) Spherical mirror : A mirror whose polished, reflecting surface is a part of hollow sphere of glass is called a spherical mirror. For a spherical mirror, one of the two curved surfaces is coated with a thin layer of silver followed by a coating of red lead oxide paint. Thus one side of the spherical mirror is made opaque and the other side acts as a reflecting surface.

For the polishing side there are two type of spherical mirror.

(A) Convex mirror (B) Concave mirror

 

Important,Chapter,Notes,Ray,Optics,Class,10th,Science

 

(A) Concave (Converging) mirror : A spherical mirror whose inner hollow surface is the reflecting surface.

(B) Convex (diverging) mirror : A spherical mirror whose outer bulging out surface is the reflecting surface.

 

Terminology for spherical mirrors

 

 

 

Important,Chapter,Notes,Ray,Optics,Class,10th,Science

(a) Aperture : The effective width of a spherical mirror from which reflection can take place is called its aperture AA' & BB'.

(b) Pole (Vertex) : The centre of a spherical mirror is called its pole it is denoted by letter P.

(c) Centre of curvature : The centre of the hollow sphere of which the spherical mirror is a part is called centre of curvature. It is denoted by letter C.

(d) Radius of curvature : The radius of the hollow sphere of which the spherical mirror is a part called the radius of curvature (R).

(e) Principal axis : The straight line passing through the centre of curvature C and the pole P of the spherical mirror.

(f) Normal : The normal at any point of the spherical mirror is the straight line obtained by joining that point with the centre of curvature C of the mirror.

(g) Principal focus or focus : The point on the principal axis where all the rays coming from infinity (parallel rays) after reflection either actually meets or appears to meet is called the focus (or focal point) of the mirror. It is denoted by letter F.

(h) Focal length :The distance between the pole (P) and the focus (F) is called focal length (f) and Important,Chapter,Notes,Ray,Optics,Class,10th,Science

(i) Focal plane :- An imaginary plane passing through the focus and at right angles to the principal axis.

(j) Real Image :- When the rays of light after getting reflected from a mirror (or after getting refracted from a lens) _ actually meet at a point, a real image is formed. A real image can be obtained on a screen.

(k) Virtual image : When the rays of light after getting reflected from a mirror (or after getting refracted from a lens) appear to meet at a point, a virtual image is formed. Such an image can only be seen through a mirror (or a lens) but cannot be obtained on a screen.

Important,Chapter,Notes,Ray,Optics,Class,10th,Science


 

 

Rules of Image formation from the spherical mirror

The rules of reflection from the spherical mirror are based of incident and reflection angle.

(i) A ray parallel to principal axis after reflection from the mirror passes or appears to pass through its focus by definition of focus.

 

Important,Chapter,Notes,Ray,Optics,Class,10th,Science Important,Chapter,Notes,Ray,Optics,Class,10th,Science

 

(ii) A ray passing through or directed towards focus after reflection from the mirror it will become parallel to the principal axis.

 

Important,Chapter,Notes,Ray,Optics,Class,10th,Science

 

(iii) A ray passing through or directed towards centre of curvature after reflection from the mirror, retraces its path. as for it i = 0 and so Important,Chapter,Notes,Ray,Optics,Class,10th,Sciencer = 0.

 

Important,Chapter,Notes,Ray,Optics,Class,10th,Science

 

(iv) Incident and reflected rays at the pole of a mirror are symmetrical about the principal axis.

 

Important,Chapter,Notes,Ray,Optics,Class,10th,Science

 

Difference between Real and Imaginary image

S. No. Real image Virtual image

(1) When reflected or refracted light rays actually When reflected or refracted light rays do not intersect at a point. actually intersect at a point but appear to meet at a point

(2) It can be obtained on a screen. It can not be obtained on a screen.

(3) It is always inverted. It is always erect.

(4) It is always formed infront of mirror. It is always formed behind the mirror.


Formation of Image by a Plane mirror

 

Important,Chapter,Notes,Ray,Optics,Class,10th,Science

 

Properties of Image from flat (Plane) Mirror

(i) Virtual and erect.

(ii) Same in size of object.

(iii) The image is formed behind of the mirror (as far as the object from the mirror).

(iv) The image formed is laterally inverted.

 

Lateral inversion and inversion

The phenomenon due to which the image of an object turns through an angle of 180° through vertical axis rather than horizontal axis, such that the right side of the image appears as left or vice versa is called lateral inversion.

 

Inversion

During inversion image turns around horizontal axis through an angle of 180°.

 

Important,Chapter,Notes,Ray,Optics,Class,10th,Science


 

Use of Concave mirror

(i) It is used as a shaving mirror.

(ii) It is used as a reflector in the head light of vehicals.

 (iii) It is used by doctor to focus a parallel beam of light on a small area.

Formation of image from a convex mirror

There are four rules of drawing images in convex mirror.

(i) Any ray of light travelling parallel to the principal axis of a convex mirror of the reflection appears to diverge from the principal focus of the convex mirror.

 

Important,Chapter,Notes,Ray,Optics,Class,10th,Science

 

(ii) Any ray of light which travelles towards the direction of principal focus of a convex mirror, after reflection, it will travel for parallel to the principal axis of the mirror.

Important,Chapter,Notes,Ray,Optics,Class,10th,Science

 

(iii) If a ray of light which is incident along to the centre of curvature of a convex mirror after reflection it returns back on the same path. It is because the light ray strikes the convex mirror at right angle.

 

Important,Chapter,Notes,Ray,Optics,Class,10th,Science

 

(iv) When the ray of light incident on the pole which is reflects or returns back on same angle from principal axis than it will reflect on the same angle of incident i = r.

 

Important,Chapter,Notes,Ray,Optics,Class,10th,Science


 

Making of image from a convex mirror

 

 (i) When the object is at infinity

 

When the rays of light coming (diverging) from an object, situated at infinity are always parallel these parallel rays, strike the convex mirror, and reflected to diverge outward from convex mirror. These rays seems (appear) to come from focus.

The characteristics of the image is virtual, erect, diminished to a point and formed at principal focus behind the convex mirror.

 

Important,Chapter,Notes,Ray,Optics,Class,10th,Science

 

(ii) When the object is at a finite distance from the pole then the image is formed between pole and principal focus behind the convex mirror and image is virtual, erect and diminished.

 

Important,Chapter,Notes,Ray,Optics,Class,10th,Science

Note :

There are only two position of the object for showing the image formed by a convex mirror that is _

(i) When the object is at a infinity.

(ii) When the object is at a finite distance from the pole of the convex mirror. Beside this positions are not possible because the focus and the centre of curvature is behind the reflecting surface of the convex mirror.

 

Now we can study the image formation by following table

S. No. Position of the object Position of the image Size of  image  of the image Nature of the  image
(1) At infinity At F, behind mirror Highly diminised Virtual and erect.
(2) Between infinity and pole of mirror. Between P & F behind  the mirror Diminished Virtual and erect.

 

Used of Convex mirror

(i) It is used as a rear view mirror in automobile.

(ii) It is used as a reflector for street light.

Note : A plane mirror is not useful as a rear view mirror, because its field of view is very small.


Sign convention of spherical mirror

Whenever and wherever possible the ray of light is taken to travel from left to right.

The distances above principal axis are taken to be positive while below it negative.

Along principal axis, distances are measured from the pole and in the direction of light are taken to be positive while opposite to it is negative.

 

Important,Chapter,Notes,Ray,Optics,Class,10th,Science

 

Relation from spherical mirror

 

Relation between f and R for the spherical mirror

If Q is near to line P then from DQCP tanq ~ q = and from DQFP tan2q ~ 2q = Important,Chapter,Notes,Ray,Optics,Class,10th,Science

so Important,Chapter,Notes,Ray,Optics,Class,10th,Science Þ f = Important,Chapter,Notes,Ray,Optics,Class,10th,Science

 

 

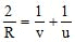
Relation between u,v and f for curved mirror

If an object is placed at a distance u from the pole of a mirror and its image is formed at a distance v (from the pole)

If angle is very small : Important,Chapter,Notes,Ray,Optics,Class,10th,Science, Important,Chapter,Notes,Ray,Optics,Class,10th,Science, Important,Chapter,Notes,Ray,Optics,Class,10th,Science

from DCMO, b = a + q Þ q = b _-a

from DCMI, g = b + q Þ q = g - b

so we can write b - a = g - b Þ 2b = g + a

 Important,Chapter,Notes,Ray,Optics,Class,10th,Science Þ Important,Chapter,Notes,Ray,Optics,Class,10th,Science

Important,Chapter,Notes,Ray,Optics,Class,10th,Science

 

Magnification

Linear magnification

DABP and DA'B'P are similar Important,Chapter,Notes,Ray,Optics,Class,10th,ScienceÞ Important,Chapter,Notes,Ray,Optics,Class,10th,Science

Magnification Important,Chapter,Notes,Ray,Optics,Class,10th,Science Þ Important,Chapter,Notes,Ray,Optics,Class,10th,Science

 

Important,Chapter,Notes,Ray,Optics,Class,10th,Science
Power of a mirror

The power of a mirror is defined as Important,Chapter,Notes,Ray,Optics,Class,10th,Science

 

Convex mirrors gives erect, virtual and diminished image.

In convex mirror the field of view is increased as compared to plane mirror.

It is used as rear-view mirror in vehicles.

 

Concave mirrors give enlarged, erect and virtual image, so these are used by dentists for examining teeth. due to their converging property concave mirrors are also used as reflectors in automobile head lights and search lights

A real image can be taken on a screen, but a virtual image cannot be taken on a screen.

As focal length of a spherical mirror Important,Chapter,Notes,Ray,Optics,Class,10th,Science depends only on the radius of mirror and is independent of wavelength of light and refractive index of medium so the focal length of a spherical mirror in air or water and for red or blue light is same.

===================================================================

Mirror Formula and Magnification - Light- Reflection and Refraction, Class 10, Science 

Mirror formula

The relation between the distance of the object from the pole of the spherical mirror (u), the distance of the image from the pole of the spherical mirror (v) and its focal length (f) is given by the mathematical formula :

It must be remembered that focal length (f) of a spherical mirror is half the radius of curvature (R).

Thus, (i) R = 2f, (ii) f =

 

Important points in using the mirror formula :

(i) Put the correct signs of known variables according to the sign convention.

(ii) Do not put the sign of an unknown variable. The sign will be automatically come up during calculations.

(iii) If the calculated sign turns out to be positive, then the variable calculated is behind the mirror. However, if calculated sign turns out to be negative, then variable is to be in front of the mirror.

 

Linear magnification produced by spherical morrors :

The ratio between the height of the image produced by the spherical morror to the height of the object is called the linear magnification.

Thus, linear magnification = or

 

Linear magnification when the image is real:

As we normally take the object above the principal axis, therefore, h0 is always positive. The real image is always inverted and is formed below the principal axis.

Therefore, hi is always negative. Thus, Linear magnification for real images =is always negative.

 

Linear magnification when the image is virtual :

In case of virtual image. it is erect and formed above the principal axis. Thus, h0 and hi are both positive.

The linear magnification produced by a spherical mirror is equal to the ratio of the distance of the image from the pole of the mirror (v) to the distance of the object from the pole of the mirror (u) with a minus sign.

Linear magnification, m =_ , Thus Linear magnification, m = = _.

 

Important points in using magnification formula :

(i) Put the correct signs of known variables according to the sign convention.

(ii) If 'm' is known, take the sign for virtual image positive and for real image negative.

(iii) Do not put the sign of unknown variables. The sign will automatically come up during calculations.


Refraction of light

The bending of a ray of light as it passes from one mediuum to another is called refraction.

It is due from change in velocity of light. While travelling from one medium to another.

(i) The maximum velocity of light is 3 × 108 m/sec in vaccum or air.

(ii) The velocity is less in denser medium.

 

Important,Chapter,Notes,Ray,Optics,Class,10th,Science Important,Chapter,Notes,Ray,Optics,Class,10th,Science

 

The laws of refraction

(i) The ratio of sine of the angle of incidence to the sine of the angle of refraction for a particular pair of media is constant. Thus if the angle of incidence is i, and that of refraction is r, then

Important,Chapter,Notes,Ray,Optics,Class,10th,Science = constant = m it is known as Snell's law.

(ii) The incident ray, the refracted ray and the normal at the point of incidence point, all lie in the same plane.

 

 

Important,Chapter,Notes,Ray,Optics,Class,10th,Science

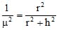
Relative refractive index

When light passes from one medium to the other, the refractive index

of medium 2 relative to 1 is written as 1m 2 and is defined as

m 21 or 1m 2 or 1m 2 = Important,Chapter,Notes,Ray,Optics,Class,10th,Science = Important,Chapter,Notes,Ray,Optics,Class,10th,Science = Important,Chapter,Notes,Ray,Optics,Class,10th,Science

 

Important,Chapter,Notes,Ray,Optics,Class,10th,Science

Bending of light ray

According to Snell's law, m1 sin i = m2 sin r

(i) If light passes from rarer to denser medium

m1 = mR and m2 = mD

so that Important,Chapter,Notes,Ray,Optics,Class,10th,Science Þ Ð i > Ðr

In passing from rarer to denser medium, the ray bends towards the normal.

Important,Chapter,Notes,Ray,Optics,Class,10th,Science

(ii) If light passes from denser to rarer medium m1= mD and m2 = mR

Important,Chapter,Notes,Ray,Optics,Class,10th,Science Þ Ð i < Ðr

In passing from denser to rarer medium, the ray bends away from the normal

Refractive index depends on nature and dencity of medium and colour of light refractive index is maximum for violet and minimum of red light.


Apparent depth and normal shift

If a point object in denser medium is observed from rarer medium and boundary is plane, then from Snell's law we have mD sin i = mR sin r ......(i)

If the rays OA and OB are close enough to reach the eye.

sin i ~ tan i = Important,Chapter,Notes,Ray,Optics,Class,10th,Science and sin r ~ tan r = Important,Chapter,Notes,Ray,Optics,Class,10th,Science

So that eqn. (i) becomes dac = acutal depth dap = apparent depth

mD Important,Chapter,Notes,Ray,Optics,Class,10th,Science = mR Important,Chapter,Notes,Ray,Optics,Class,10th,Science i.e., Important,Chapter,Notes,Ray,Optics,Class,10th,Science (If mR = 1, mD = m)

Important,Chapter,Notes,Ray,Optics,Class,10th,Science so dap < dac ......(ii)

The distance between object and its image, called normal shift (x)

x = dac _ dap [Q ]

x = Important,Chapter,Notes,Ray,Optics,Class,10th,Science ......(iii)

if dac = d, Important,Chapter,Notes,Ray,Optics,Class,10th,Science

 

Important,Chapter,Notes,Ray,Optics,Class,10th,Science Important,Chapter,Notes,Ray,Optics,Class,10th,Science

 

Object in a rarer medium is seen from a denser medium

Important,Chapter,Notes,Ray,Optics,Class,10th,Science = Important,Chapter,Notes,Ray,Optics,Class,10th,Science = (<1)

dap = m dac

dap > dac

A high flying object appears to be higher than in reality.

x = dap _ dac Þ x = [m _ 1] dac

 

Lateral Shift

The perpendicular distance between incident and emergent ray is known as lateral shift.

Lateral shift d = BC and t = thickness of slab

In D BOC

Important,Chapter,Notes,Ray,Optics,Class,10th,Science Þ d = OB sin(i _ r) ......(i)

In D OBD Important,Chapter,Notes,Ray,Optics,Class,10th,Science Þ Important,Chapter,Notes,Ray,Optics,Class,10th,Science ......(ii)

From (i) and (ii) Important,Chapter,Notes,Ray,Optics,Class,10th,Science


 

Some Illustrations of Refraction

Important,Chapter,Notes,Ray,Optics,Class,10th,Science

Bending of an object

When a point object in a denser medium is seen from a

rarer medium it appears to be at a depth Important,Chapter,Notes,Ray,Optics,Class,10th,Science.

 

Twinkling of stars

Due to fluctuations in refractive index of atmosphere the refraction becomes irregular and the light sometimes reaches the eye and sometimes it does not. This gives rise to twinkling of stars.

 

Total Internal Reflection (TIR)

When light ray travel from denser to rarer medium it bend away from the normal if the angle of incident is increased angle of refraction will also increased. At a perticular value of angle of incidence the refracted ray subtend 900 angle with the normal, this angle of incident is known as crtical angle (qC). If angle of incident further increase the ray come back in the same medium this phenomenon is known as total internal reflection.

 

Conditions

Angle of incident > critical angle [i > qc]

Light should travel from denser to rare medium Þ Glass to air, water to air, Glass to water

 

Important,Chapter,Notes,Ray,Optics,Class,10th,Science

Snell Law at boundary x _ y, mD sin qC = mR sin 90° Þ Important,Chapter,Notes,Ray,Optics,Class,10th,Science

As Important,Chapter,Notes,Ray,Optics,Class,10th,Science Important,Chapter,Notes,Ray,Optics,Class,10th,Science

When light ray travel from a medium of refractive index m to air then m R=1, mD = m

Important,Chapter,Notes,Ray,Optics,Class,10th,Science Þ Important,Chapter,Notes,Ray,Optics,Class,10th,Science Þ Important,Chapter,Notes,Ray,Optics,Class,10th,Science

For TI R i > qC Þ sin i > sin qC Þ

When ray travel from glass to air Þ i > 42° (TIR), i < 42° (refraction)

 

When ray travel from water to air i > 49° (TIR), i < 49° (refraction)

When ray travel from glass to water Important,Chapter,Notes,Ray,Optics,Class,10th,Science

i > 63° (TIR) i < 63° (refraction)


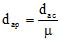
A point object is situated at the bottom of tank filled with a liquid of refractive index m upto height h. It is found light from the source come out of liquid surface through a circular portion above the object then radius and area of circle

Important,Chapter,Notes,Ray,Optics,Class,10th,Science

Important,Chapter,Notes,Ray,Optics,Class,10th,Science Þ Important,Chapter,Notes,Ray,Optics,Class,10th,Science Þ Important,Chapter,Notes,Ray,Optics,Class,10th,Science

Þ Important,Chapter,Notes,Ray,Optics,Class,10th,Science Þ Important,Chapter,Notes,Ray,Optics,Class,10th,Science Þ and area = pr2

Þ Important,Chapter,Notes,Ray,Optics,Class,10th,Science Þ Important,Chapter,Notes,Ray,Optics,Class,10th,Science

Angle which the eye of fish make = 2qC = 2 × 49° = 98° . This angle does not depend on depth of liquid

 

Some Illustrations of Total Internal Reflection

Sparkling of diamond

The sparkling of diamond is due to total internal reflection inside it. As refractive index for diamond is 2.5 so qC = 24°. Now the cutting of diamond are such that i > qC. So TIR will take place again and again inside it. The light which beams out from a few places in some specific directions makes it sparkle.

 

Optical Fibre

In it light through multiple total internal reflections is propagated along the axis of a glass fibre of radius of fewmicrons in which index of refraction of core is greater than that of surroundings.

 

Mirage and looming

Mirage is caused by total internal reflection in deserts where due to heating of the earth, refractive index of air near the surface of earth becomes lesser than above it. Light from distant objects reaches the surface of earth with i > q C so that TIR will take place and we see the image of an object along with the object as shown in figure.

 

Important,Chapter,Notes,Ray,Optics,Class,10th,Science

 

Similar to 'mirage' in deserts, in polar regions 'looming' takes place due to TIR. Here m decreases with height and so the image of an object is formed in air if (i>q C ) as shown in Fig.

 

Golden key points

• A diver in water at a depth d sees the world outside through a horizontal circle of radius. r = d tan qc.

• For total internal reflection to take place light must be propagating from denser to rarer medium.

• In case of total internal reflection, as all (i.e. 100%) incident light is reflected back into the same medium there is no loss of intensity while in case of reflection from mirror or refraction from lenses there is some of intensity as all light can never be reflected or refracted. This is why images formed by TIR are much brighter than formed by mirrors or lenses.

 

=======================================================================

Magnification and Power of a Lens - Light Reflection and Refraction, Class 10, Science

Lenses

A lens is a piece of any transparent material bound by two curved surfaces or by one curved and one plane surface. Lens are of two types :

(i) Convex or convergent lens. (ii) Concave or divergent lens.

 

Important,Chapter,Notes,Ray,Optics,Class,10th,Science

 

Optical Centre : O is a point for a given lens through which any ray passes undeviated

 

Important,Chapter,Notes,Ray,Optics,Class,10th,Science Important,Chapter,Notes,Ray,Optics,Class,10th,Science

Principal Axis : C1 C2 is a line passing through optical centre and perpendicular to the lens.

 

Principal Focus : A lens has two surfaces and hence two focal points. First focal point is an object point on the principal axis for which image is formed at infinity.

 

Important,Chapter,Notes,Ray,Optics,Class,10th,Science Important,Chapter,Notes,Ray,Optics,Class,10th,Science

While second focal point is an image point on the principal axis for which object lies at infinity


Important,Chapter,Notes,Ray,Optics,Class,10th,Science

Important,Chapter,Notes,Ray,Optics,Class,10th,Science

 

Focal Length f is defined as the distance between optical centre of a lens and the point where the parallel beam of light converges or appears to converge.

Aperture : In refernce to a lens, aperture means the effective diameter. intensity of image formed by a lens which depends on the light passing through the lens will depend on the square of aperture, i.e., I µ (Aperture)2

 

Rules for Image Formation

  • A ray passing through optical centre proceeds undeviated through the lens
  • A ray passing through first focus or directed towards it, after refraction from the lens, becomes parallel to the principal axis.
  • A ray passing parallel to the principal axis after refraction through the passes or appears to pass through F2

 

For Convergent or Convex Lens

Important,Chapter,Notes,Ray,Optics,Class,10th,Science

Image formation for convex lens (Convergent lens)

 

(i) Object is placed at infinity

Image : at F real ,inverted,very small in size

m << _ 1

 

(ii) Object is placed in between

Important,Chapter,Notes,Ray,Optics,Class,10th,Science

∞ -2F

Image : real (F - 2F)

inverted

small in size

(diminished)

m < _ 1

(iii) Object is placed at 2F

Important,Chapter,Notes,Ray,Optics,Class,10th,Science

Image : real (at 2F)

inverted

equal (of same size)

(m = -1)


(iv) Object is placed in between

2F _ F

Image : real (2F _ ¥)

inverted

enlarged

m > 1

(v) Object is placed at F

(vi) Object is placed in between

F _ O

Image : virtual (in front of lens)

erected

enlarge

(m > + 1)

Important,Chapter,Notes,Ray,Optics,Class,10th,Science  

 

Image formation for concave lens (divergent lens)

Imge is virtual, diminished, erect, towards the object, m = +ve

(i) Object is placed at infinity

Image : At F

virtual

erected

diminished

(m << + 1)

 

(ii) Object is placed infront of lens

Image : between F and optical centre

virtual

erected

diminished

(m < + 1)


Formula of lens : Focal length of a lens can be find out by the following formula.

Important,Chapter,Notes,Ray,Optics,Class,10th,Science

Where - f = Focal length of lens.

v = Distance of image from pole

u = Distance of object from pole.

 

Uses of this formula

(i) Put the correct signs of known variables according to the sign conventions.

(ii) Do not put the sign of unknown variable. The sign will automatically show up during calculations.

(iii) If the calculated sign of a variable turns out positive, then the variable calculated is on the other side of the lens, i.e., on the opposite side to the object. However if calculated variable is of negative sign, then it is on the same side as the object.

 

Combination of lenses

 

Two thin lens are placed in contact to each other

power of combination.

P = P1 + P2 Important,Chapter,Notes,Ray,Optics,Class,10th,Science

 

Use sign convention when solve numericals

 

Two thin lens are placed in at a small distance d

Important,Chapter,Notes,Ray,Optics,Class,10th,Science

P = P1 + P2 _ d P1P2

Use sign convention when solve numericals

 

Power of lens : The power of a lens is defined as reciprocal of focal length of the lens. Focal length should always be measured in meters.

P = Important,Chapter,Notes,Ray,Optics,Class,10th,Science

Important,Chapter,Notes,Ray,Optics,Class,10th,Science

Unit of power of lens is 1/meter which is called diopter

 

Magnification of lens : The magnification is defined as the ratio of the height of the image and the height of the object it is represented by M.

M = Important,Chapter,Notes,Ray,Optics,Class,10th,Science

 

Uses of lenses in daily life

Lenses are using is microscope, telescope. prism, binoculars and slide projector etc. 


Relation between focal length (f) and Radius of curvature (R)

Focal length of a lens depends on following factors :_

(i) Refractive index of the material of the lens.

(ii) Radius of curvature R1 and R2 of both in curved surfaces of the lens.

(iii) Colour (wave length) of the light.

Formula of making a spherical lens of specific focal length.

Important,Chapter,Notes,Ray,Optics,Class,10th,Science

Where f is the average value of focal length for all the colours. µ is the refractive index of the material of the lens with respect to air. R1 and R2 are the radius of curvature of the curved surfaces respectively. R1 is positive and R2 is negative for convex lens. R1 is negative and R2 positive for concave lens.

 

The document Ray Optics Class 10 Notes Science is a part of Class 10 category.
All you need of Class 10 at this link: Class 10

FAQs on Ray Optics Class 10 Notes Science

1. What is the meaning of reflection and refraction?
Ans. Reflection is the bouncing back of light from a surface. The angle of incidence is equal to the angle of reflection. Refraction is the bending of light when it passes from one medium to another medium of different optical density.
2. What is the difference between a concave and convex lens?
Ans. A concave lens is thinner at the center and thicker at the edges. It diverges the light rays that come in contact with it. A convex lens is thicker at the center and thinner at the edges. It converges the light rays that come in contact with it.
3. What is the difference between real and virtual images?
Ans. Real images are formed when the light rays actually meet or converge at a point after reflection or refraction. They can be captured on a screen. Virtual images are formed when the light rays appear to meet or converge at a point, but they do not actually meet. They cannot be captured on a screen.
4. What is the law of reflection?
Ans. The law of reflection states that the angle of incidence is equal to the angle of reflection. The incident ray, the normal to the surface at the point of incidence, and the reflected ray, all lie in the same plane.
5. What is the difference between the focal length and the radius of curvature?
Ans. The focal length is the distance between the center of a lens or a curved mirror and its focal point. It is half of the radius of curvature. The radius of curvature is the distance between the center of a lens or a curved mirror and its curved surface.
Download as PDF

Top Courses for Class 10

Related Searches

shortcuts and tricks

,

Ray Optics Class 10 Notes Science

,

MCQs

,

Previous Year Questions with Solutions

,

video lectures

,

Summary

,

Extra Questions

,

pdf

,

Ray Optics Class 10 Notes Science

,

Ray Optics Class 10 Notes Science

,

Free

,

practice quizzes

,

Objective type Questions

,

Viva Questions

,

Sample Paper

,

Exam

,

mock tests for examination

,

Important questions

,

ppt

,

Semester Notes

,

study material

,

past year papers

;