Class 10 Exam  >  Class 10 Notes  >  Physics Class 10 ICSE  >  Revision Notes: Current Electricity

Revision Notes: Current Electricity | Physics Class 10 ICSE PDF Download

Current

  • Current is the rate of flow of charge across a cross-section normal to the direction of flow of current.
    Current I = Charge (Q)/Time (t)
  • It is a scalar quantity. Its SI unit is ampere (A).
  • Current is one ampere if the rate of flow of charge is one coulomb per second.
  • If n electrons pass through the cross-section of a conductor in time t, then the total charge passed through the conductor is given as Q = ne, and current in the conductor is given as
    I = Q/t = ne/t

Concept of Potential and Potential Difference

  • The conductor with higher concentration of electrons is said to be at a lower potential, and the conductor with lower concentration of electrons is said to be at a higher potential.
  • The electrons flow from a body at a lower potential to a body at a higher potential.
  • Potential is the electrical state of a conductor which determines the direction of flow of charge when the two conductors are either kept in contact or joined by a metallic wire.
  • The electric current flows from a body at a higher potential to a body at a lower potential, and this is called conventional current. This direction is opposite to the direction of flow of electrons which is called electronic current.

Measurement of Potential as Work Done Per Unit Charge

  • The potential at a point is defined as the work done in bringing a unit positive charge from infinity to that point.
    Potential difference = Work done/Charge
    V = W/Q
  • The potential difference between two points is said to be 1 volt if the work done in bringing 1 coulomb of charge from infinity to the point is 1 joule.
  • The potential difference between two points is equal to the work done in moving a unit positive charge from one point to the other.
    VA - VB = W/Q
  • It is a scalar quantity. Its SI unit is also volt (V).

Concept of Resistance

  • There is always some obstruction in the current which flows through a conductor like a metal wire, and this obstruction is called its electrical resistance.
  • The current in the circuit flows due to the drift of electrons. The metal wire has free electrons which move in a random manner.
  • When the ends of a wire are connected to a cell, the electrons start moving from the negative terminal to the positive terminal. In this process, they collide with the positive ions, and due to this, the speed of electrons decreases. Thus, the metal offers resistance to the flow of electrons because of these collisions.
    Revision Notes: Current Electricity | Physics Class 10 ICSE

The resistance of a conductor depends on four factors:

  1. Length of the conductor:
    Resistance (R) ∝ length (l)
  2. Thickness of the conductor:
    Resistance (R) ∝ 1/Area of cross-section(A)
  3. Nature of the conductor: The resistance depends on the material of the wire as there is different concentration and different arrangement of atoms in different materials.
  4. Temperature of the wire: A higher temperature of the wire causes the ions in it to vibrate more rapidly. As a result, the number of collisions increases, and hence, the resistance increases.

Ohm’s Law

  • Ohm’s law: The current flowing through a conductor is directly proportional to the potential difference V across its ends provided the temperature and physical conditions of the conductor remain the same. 
    I ∝ V
    V = IR
  • R is constant for a given metallic wire at a given temperature, and this constant is named as resistance.
  • Its SI unit is ohm and is denoted as Ω.
  • If we plot the I–V graph for a conductor, then it shows a linear nature.
    Revision Notes: Current Electricity | Physics Class 10 ICSE
  • The slope of the graph is the reciprocal of the resistance of the conductor.
    Slope = ΔI/ΔV = 1/Resistance of conductor
  • Conductance: It is defined as the reciprocal of resistance.
    Conductance = 1/Resistance
  • Hence, the slope of the I–V graph gives the conductance of the conductor.

Ohmic and Non-ohmic Resistors

  • Ohmic resistors: The conductors which obey Ohm's law are called ohmic resistors or linear resistances.
    For such resistors, a graph plotted for the potential difference V against the current I is a straight line, and the value of resistance R is the same irrespective of the value of V or I.
  • Non-ohmic resistors: The conductors which do not obey Ohm's law are called non-ohmic resistors or non-linear resistances.
    For these devices, the graph plotted for the potential difference V against the current I is not a straight line, but it is a curve.Revision Notes: Current Electricity | Physics Class 10 ICSE
  • Superconductors: A superconductor is a substance of zero resistance (or infinite conductance) at a very low temperature. 
    The superconductors can be very useful provided it is possible to obtain them at room temperature. 
    The size of computers could then be reduced to a few centimetres and power lines could then be made as thin as a single cable.

Specific Resistance or Resistivity

  • The resistance of a wire depends on the following factors:
    i. Directly proportional to the length (l) of the wire
    ii. Inversely proportional to the area of cross-section of the wire
    iii. Nature of the material of the wire
    Revision Notes: Current Electricity | Physics Class 10 ICSE
  • Here, ρ is the constant of proportionality and is called the electrical resistivity or specific resistance of the material of the wire.
  • The resistivity will be given as
    ρ = RA/l
  • Resistivity is the resistance of a wire of that material of unit length and unit area of cross-section.
  • Its SI unit is ohm-metre (Ω m).
  • Conductivity: The reciprocal of resistivity is called conductivity. It is represented by σ.
    Revision Notes: Current Electricity | Physics Class 10 ICSE
  • Its SI unit is ohm−1 metre−1 or siemen metre−1 .

Choice of Material of Wire


The choice of material of a wire depends on the purpose for which the wire is to be used.

  1. The wires which are used for electrical connections and power transmission should possess negligible resistance.
  2. The resistance wires (or standard resistors) are made of materials such as nichrome, manganin, constantan etc., for which the resistivity is quite large and the effect of change in temperature on their resistance is negligible.
  3. A fuse wire is made from an alloy of lead and tin because its resistivity is high and melting point is low.
  4. A wire made of tungsten is used for the filament of an electric bulb because it has a high melting point and high resistivity.
  5. A nichrome wire is used as the heating element in appliances such as a heater, toaster and oven, because the resistivity of nichrome is very high and increase in its value with increase in temperature is also high.

Electromotive Force, Terminal Voltage and Internal Resistance of a Cell

  • When no current is drawn from a cell, i.e. when the cell is in open circuit, the potential difference between the terminals of the cell is called its electromotive force (emf).
  • The emf of a cell is denoted by the symbol ε (epsilon). Its unit is volt (V).

Factors Affecting the EMF of a Cell

  • The emf of a cell is the characteristic of the cell. It is different for different kinds of cells.
  • The emf of a cell depends on
    • Material of the electrodes
    • Electrolyte used in the cell
  • It is independent of
    • Shape of electrodes
    • Distance between the electrodes
    • Amount of electrolyte
  • The emf of a cell is also defined as the energy spent (or work done) per unit charge in taking a positive charge around the complete circuit of the cell.
    ε = W/q0

Terminal Voltage of a Cell

  • When current is drawn from a cell, i.e. when the cell is in a closed circuit, the potential difference between the electrodes of the cell is called its terminal voltage.
  • The terminal voltage of a cell is denoted by the letter V. It is also expressed in volt (V).
  • The terminal voltage of a cell is defined as the work done per unit charge in carrying a positive charge around the circuit connected across the terminals of the cell.
    V = W'/q0
  • The terminal voltage V of a cell is less than its emf ε by the amount of energy spent in the flow of unit positive charge (taking q0 = 1 C) through the electrolyte inside the cell.
    ε = V + v
  • When a larger current is drawn from the cell, a greater number of charge carriers flows through the electrolyte, and hence, more work is done. This results in more voltage drop v and hence less terminal voltage V.

Internal Resistance of a Cell

  • When current is drawn from a cell, it flows from the anode to the cathode in the external circuit and from the cathode to the anode inside the cell through the electrolyte so as to maintain a continuous flow.
  • The resistance offered by the electrolyte inside the cell to the flow of current is called the internal resistance of the cell. It is denoted by r. Its unit is ohm Ω.
  • When current I is drawn from the cell of which the internal resistance is r, the voltage drop is
    v = Ir
    Revision Notes: Current Electricity | Physics Class 10 ICSE

Relationship between the emf, terminal voltage and internal resistance

Revision Notes: Current Electricity | Physics Class 10 ICSE

Factors affecting the internal resistance of a cell: The internal resistance of a cell depends on the following four factors:
  1. Surface area of the electrodes
  2. Distance between the electrodes
  3. Nature and concentration of the electrolyte
  4. Temperature of the electrolyte

Resistors in Series

Revision Notes: Current Electricity | Physics Class 10 ICSE

  • The current in series remains the same across all the resistors.
  • The resultant resistance of the circuit is given as
    Rs = R1 + R2 + R3
  • Here, Rs is the resultant resistance. The resultant resistance is greater than all the resistances

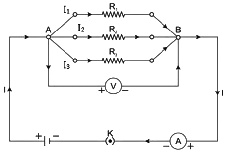
Resistors in Parallel

Revision Notes: Current Electricity | Physics Class 10 ICSE

  • The potential difference in parallel remains the same across all the resistors.
  • The resultant resistance of the circuit is given as
    Revision Notes: Current Electricity | Physics Class 10 ICSE
  • Here, Rp is the resultant resistance. The resultant resistance is lesser than all the resistances.
The document Revision Notes: Current Electricity | Physics Class 10 ICSE is a part of the Class 10 Course Physics Class 10 ICSE.
All you need of Class 10 at this link: Class 10
28 videos|121 docs|14 tests

FAQs on Revision Notes: Current Electricity - Physics Class 10 ICSE

1. What is the difference between potential and potential difference in electric circuits?
Ans.Potential refers to the amount of electric potential energy per unit charge at a specific point in an electric field, while potential difference (also known as voltage) is the difference in electric potential between two points in a circuit. It represents the work done in moving a unit charge from one point to another and is measured in volts (V).
2. How does resistance affect the flow of current in a circuit?
Ans.Resistance is a measure of how much a material opposes the flow of electric current. According to Ohm's Law, the current (I) flowing through a conductor between two points is directly proportional to the voltage (V) across the two points and inversely proportional to the resistance (R) of the conductor. Higher resistance results in lower current flow for a given voltage.
3. What is Ohm's Law and how is it applied in electrical circuits?
Ans.Ohm's Law states that the current flowing through a conductor between two points is directly proportional to the voltage across the two points and inversely proportional to the resistance. It is mathematically expressed as V = I × R, where V is voltage, I is current, and R is resistance. This law is fundamental in analyzing and designing electrical circuits.
4. What distinguishes ohmic resistors from non-ohmic resistors?
Ans.Ohmic resistors obey Ohm's Law, meaning their current-voltage relationship is linear and consistent regardless of the voltage applied. Non-ohmic resistors do not follow this linear relationship; their resistance can change with voltage or current, resulting in a non-linear graph of current versus voltage.
5. How do resistors in series and parallel differ in terms of total resistance?
Ans.In a series circuit, the total resistance is the sum of the individual resistances (R_total = R1 + R2 + R3 + ...). In contrast, in a parallel circuit, the total resistance is found using the formula 1/R_total = 1/R1 + 1/R2 + 1/R3 + ..., resulting in a total resistance that is less than the smallest individual resistance. This difference affects how current flows through each configuration.
Related Searches

practice quizzes

,

study material

,

ppt

,

Important questions

,

Exam

,

Viva Questions

,

Summary

,

Free

,

Semester Notes

,

MCQs

,

shortcuts and tricks

,

Revision Notes: Current Electricity | Physics Class 10 ICSE

,

Sample Paper

,

Objective type Questions

,

Revision Notes: Current Electricity | Physics Class 10 ICSE

,

Revision Notes: Current Electricity | Physics Class 10 ICSE

,

video lectures

,

Previous Year Questions with Solutions

,

mock tests for examination

,

Extra Questions

,

past year papers

,

pdf

;