UPSC Exam  >  UPSC Notes  >  Management Optional Notes for UPSC  >  Risk and Return - 2

Risk and Return - 2 | Management Optional Notes for UPSC PDF Download

Measuring Historical Return

The total return on investment for a given period is:

Risk and Return - 2 | Management Optional Notes for UPSC

The amount received throughout the period could be positive or negative. The difference between the ending price and the initial price is the rupee price change over time. This might be positive (the ending price is higher than the beginning price), zero (the ending price is the same as the beginning price), or negative (the ending price is lower than the beginning price).

Risk and Return - 2 | Management Optional Notes for UPSC

Where R = total return over the period
C = cash payment received during the period
PE = ending price of the investment
P= beginning price
To illustrate, consider the following information for an equity stock: 

  • Price at the beginning of the year: Rs.70.00
  • Dividend paid at the end of this year: Rs.5.00
  • Price at the end of the year: Rs.80.00

The total return on this stock is calculated as follows:

Risk and Return - 2 | Management Optional Notes for UPSC

Measuring Historical Risk

  • Risk encompasses the likelihood that the actual result of an investment may deviate from the anticipated outcome. Alternatively, it signifies variability or dispersion. An asset is deemed riskless if its return exhibits no variability. For instance, when assessing the total return of an equity stock over a specific period, it is not only important to understand the average return but also to grasp the extent of variability in returns.
  • Variance and Standard Deviation: The primary measures of risk widely employed in finance include the Variance, or its square root, the Standard Deviation. The variance and standard deviation of historical risk are defined as follows:

Risk and Return - 2 | Management Optional Notes for UPSC

Where, σ2 = Variance of Return
R= return from the stock in period I(I=1,.. ,.,n)
R = average rate of return or mean of the returns
n = number of periods
σ = standard deviation

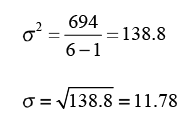
To illustrate, consider initial rate of return is 16% and the returns from a stock over 6 years period are:

 Ri = 16%, R= 12%, R3 = 20%, R4 = -13%, R5 =15%, R6 = 10%
The variance and standard deviation of returns are calculated as below:

Risk and Return - 2 | Management Optional Notes for UPSC

Risk and Return - 2 | Management Optional Notes for UPSC

Variance = 138.8 and Standard deviation = Risk and Return - 2 | Management Optional Notes for UPSC

Looking at the above calculations, we find that:

  • The squared difference between the distinct values and the mean values. This means that values that are distant from the mean have a significantly greater impact on standard deviation than those that are near to it.
  • The square root of the average of squared variances yields the standard deviation. This means that the standard deviation and the mean are both expressed in the same units, allowing them to be compared directly.

Question for Risk and Return - 2
Try yourself:
What is the total return on the equity stock mentioned in the passage?
View Solution

Measuring Expected Return And Risk

Up to this point, we have focused on historical (ex post) return and risk. Now, let's delve into anticipated (ex ante) return and risk.

Probability Distribution: When investing in a stock, one must acknowledge the range of potential returns. These returns could vary, ranging from 5% to 35%, for instance, with differing probabilities assigned to each outcome. Therefore, it becomes imperative to consider probability distributions. Probability distributions depict the likelihood of various events occurring. For instance, if there is an 80% probability that the market price of stock A will increase in the next two weeks, it implies an 80% chance of a price rise and a 20% chance of no change.

Risk and Return - 2 | Management Optional Notes for UPSC

Another illustration of the concept of probability distribution could be presented.  Consider the stock of Bharat Foods and the stock of Oriental Shipping. Based on the status of the economy, Bharat Foods stock could produce a return of 16%, 11%, or 06%, with certain probability associated with each. Based on the status of the economy, the second stock, Oriental Shipping stock, which is more volatile, might achieve a return of 40%, 10%, or -20% with the same odds. The following Exhibit shows the probability distributions of the returns for these two stocks:

Risk and Return - 2 | Management Optional Notes for UPSC

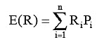
You can compute two crucial parameters, the expected rate of return and the standard deviation of the rate of return, using the probability distribution of the rate of return.

Expected Rate of Return: The expected rate of return is the weighted average of all possible returns multiplied by their respective probabilities. In symbols:

Risk and Return - 2 | Management Optional Notes for UPSC

Where,

  • E (R) = expected return from the stock
  • R= return from stock under state i
  • P= probability that the state i occurs
  • n = number of possible states of the world

From the above equation, E(R) is the weighted average of possible outcomes - each outcome is weighted by the probability associated with it. The expected rate of return on Bharat Foods stock is:

  • E(Rb) = (0.30) (.16%) + (0.50) (.11%) + (0.20) (6%) = 11.5%
  • E(Rb)= .048+.055+.012=0.115=11.5%

Similarly, the expected rate of return on Oriental Shipping stock is:
E(Ro) = (0.30) (40%) + (0.50) (10%) + (0.20) (-20%) = 13.0%
= .12+.05+ (-.04)=.13=13%

Standard Deviation of Return: The dispersion of a variable is referred to as risk. The variance or standard deviation are usually used to calculate it. The sum of the squares of the deviations of actual returns from the expected return, weighted by the related probabilities, is the variance of a probability distribution. In terms of symbols,

σ2 =∑ Px [R - E (R)]2 

Where,

  • σ2 = Variance
  • Ri =return for the ith possible outcome
  • Pi = Probability associated with the ith possible outcome
  • E (R ) = Expected return

Since variance is expressed as squared returns it is somewhat difficult to grasp. So, its square root, the standard deviation, is employed as an equivalent measure.

Risk and Return - 2 | Management Optional Notes for UPSC

Solution: Taking expected return as 11.5%, we calculate:
 Risk and Return - 2 | Management Optional Notes for UPSC

Risk and Return - 2 | Management Optional Notes for UPSC

Taking expected return as 13%, we calculate: 

Risk and Return - 2 | Management Optional Notes for UPSC

Risk and Return - 2 | Management Optional Notes for UPSC

Conclusion

  • The majority of investors exhibit a preference for risk-aversion, seeking to maximize returns while minimizing potential risks. It is commonly understood that the higher the risk one is willing to accept, the greater the potential reward. Investors typically leverage past experiences to gauge risk, adapting this knowledge to anticipate future changes, and subsequently construct a subjective probability distribution of potential returns from a proposed investment. 
  • Using this probability distribution, the expected value of return and its variability are estimated, with the mean representing the expected value and the variance, or its square root, the standard deviation, indicating the variability or risk measure. The mean-variance approach serves as a widely employed technique for risk assessment, where variance, synonymous with standard deviation, serves as a pivotal measure of risk. It not only quantifies overall risk but also identifies various contributing factors. To discern the impact of individual components, a breakdown of total risk is essential.
  • When delineating factors influencing total risk, two primary categories emerge: those generating non-diversifiable or systematic risk, and those eliciting non-diversifiable or unsystematic risk. The former encompasses factors like interest rate fluctuations, inflation, and market sentiment (bull-bear market), exerting a universal influence on all businesses and aiding in determining the requisite rate of return. Conversely, the latter encompasses factors such as the business environment, financial leverage, management quality, liquidity, and default risk, affecting specific businesses rather than the market as a whole. As these sources of risk typically have minimal impact on a well-diversified portfolio, they are often deemed inconsequential.

Question for Risk and Return - 2
Try yourself:
What is the expected rate of return on Bharat Foods stock?
View Solution

The document Risk and Return - 2 | Management Optional Notes for UPSC is a part of the UPSC Course Management Optional Notes for UPSC.
All you need of UPSC at this link: UPSC
271 docs

FAQs on Risk and Return - 2 - Management Optional Notes for UPSC

1. What is historical return and how is it measured?
Ans. Historical return refers to the past performance of an investment or asset. It is measured by calculating the percentage change in the value of the investment over a specific period of time. The formula for historical return is [(Ending value - Beginning value) / Beginning value] * 100.
2. How is historical risk measured?
Ans. Historical risk is measured by calculating the standard deviation of the investment's returns over a specific period of time. The standard deviation measures the dispersion or volatility of the investment's returns around its average return. A higher standard deviation indicates a higher level of risk.
3. What is expected return and how is it measured?
Ans. Expected return refers to the anticipated return on an investment or asset based on its future performance. It is measured by taking the weighted average of the possible returns, where each return is multiplied by its corresponding probability of occurrence. The formula for expected return is [(Return1 * Probability1) + (Return2 * Probability2) + ... + (Returnn * Probabilityn)].
4. How is expected risk measured?
Ans. Expected risk is measured by calculating the expected standard deviation of an investment's returns. It takes into account the potential range of returns and their probabilities of occurrence. The formula for expected standard deviation is the square root of the weighted sum of the squared deviations from the expected return, where each deviation is multiplied by its corresponding probability.
5. Why is it important to measure both return and risk?
Ans. It is important to measure both return and risk because they are key factors in investment decision-making. Return helps assess the potential profitability of an investment, while risk helps assess the potential volatility or uncertainty associated with the investment. By considering both return and risk, investors can make more informed decisions and manage their portfolios effectively.
Related Searches

mock tests for examination

,

Risk and Return - 2 | Management Optional Notes for UPSC

,

Exam

,

Important questions

,

Summary

,

study material

,

video lectures

,

Free

,

Risk and Return - 2 | Management Optional Notes for UPSC

,

Objective type Questions

,

practice quizzes

,

Risk and Return - 2 | Management Optional Notes for UPSC

,

Extra Questions

,

MCQs

,

pdf

,

Viva Questions

,

past year papers

,

Previous Year Questions with Solutions

,

Sample Paper

,

ppt

,

shortcuts and tricks

,

Semester Notes

;