NEET Exam  >  NEET Notes  >  Physics Class 11  >  Irodov Solutions: The Fundamental Equation of Dynamics

Irodov Solutions: The Fundamental Equation of Dynamics | Physics Class 11 - NEET PDF Download

Q1: An aerostat of mass m starts coming down with a constant acceleration w. Determine the ballast mass to be dumped for the aerostat to reach the upward acceleration of the same magnitude. The air drag is to be neglected. 

Irodov Solutions: The Fundamental Equation of Dynamics | Physics Class 11 - NEETView Answer  Irodov Solutions: The Fundamental Equation of Dynamics | Physics Class 11 - NEET

Ans. Let R be the constant upward thurst on the aerostat of mass m, coming down with a constant acceleration w. Applying Newton’s second law of motion for the aerostat in projection form

Fy = mwy

mg - R - mw      (1)

Now, if Am be the mass, to be dumped, then using the Eq. Fy = mwy

Irodov Solutions: The Fundamental Equation of Dynamics | Physics Class 11 - NEET  (2)

From Eqs. (1) and (2), w e get,  Irodov Solutions: The Fundamental Equation of Dynamics | Physics Class 11 - NEET 

Q2: In the arrangement of Fig. 1.9 the masses m0, m1, and m2 of bodies are equal, the masses of the pulley and the threads are negligible, and there is no friction in the pulley. Find the acceleration w with which the body m0 comes down, and the tension of the thread binding together the bodies m1 and m2, if the coefficient of friction between these bodies and the horizontal surface is equal to k. Consider possible cases. Irodov Solutions: The Fundamental Equation of Dynamics | Physics Class 11 - NEET

Irodov Solutions: The Fundamental Equation of Dynamics | Physics Class 11 - NEETView Answer  Irodov Solutions: The Fundamental Equation of Dynamics | Physics Class 11 - NEET

Ans. Let us write the fundamental equation of dynamics for all the three blocks in terms of projections, having taken the positive direction of x and y axes as shown in Fig; and using the fact that kinematical relation between the accelerations is such that the blocks move with same value of acceleration (say w)

Irodov Solutions: The Fundamental Equation of Dynamics | Physics Class 11 - NEET (1)
Irodov Solutions: The Fundamental Equation of Dynamics | Physics Class 11 - NEET (2)
and Irodov Solutions: The Fundamental Equation of Dynamics | Physics Class 11 - NEET         (3)

The simultaneous solution of Eqs. (1), (2) and (3) yields,

Irodov Solutions: The Fundamental Equation of Dynamics | Physics Class 11 - NEET
Irodov Solutions: The Fundamental Equation of Dynamics | Physics Class 11 - NEET

Irodov Solutions: The Fundamental Equation of Dynamics | Physics Class 11 - NEET

As the block m0 moves down with acceleration w, so in vector form

Irodov Solutions: The Fundamental Equation of Dynamics | Physics Class 11 - NEET

Q3: Two touching bars 1 and 2 are placed on an inclined plane forming an angle α with the horizontal (Fig. 1.10). The masses of the bars are equal to m1 and m2, and the coefficients of friction between the inclined plane and these bars are equal to k1 and k2 respectively, with k1 > k 2. Find:
 (a) the force of interaction of the bars in the process of motion;
 (b) the minimum value of the angle α at which the bars start sliding down. 

Irodov Solutions: The Fundamental Equation of Dynamics | Physics Class 11 - NEET

Irodov Solutions: The Fundamental Equation of Dynamics | Physics Class 11 - NEETView Answer  Irodov Solutions: The Fundamental Equation of Dynamics | Physics Class 11 - NEET

Ans. Let us indicate the positive direction of Jt-axis along the incline (Fig.). Figures show the force diagram for the blocks.
Let, R be the force of interaction between the bars and they are obviously sliding down with the same constant acceleration w.

Irodov Solutions: The Fundamental Equation of Dynamics | Physics Class 11 - NEETIrodov Solutions: The Fundamental Equation of Dynamics | Physics Class 11 - NEET

Newton’s second law of motion in projection form along x-axis for the blocks gives :

Irodov Solutions: The Fundamental Equation of Dynamics | Physics Class 11 - NEET    (1)

Irodov Solutions: The Fundamental Equation of Dynamics | Physics Class 11 - NEET     (2)

Solving Eqs. (1) and (2) simultaneously, we get

Irodov Solutions: The Fundamental Equation of Dynamics | Physics Class 11 - NEET

(b) when the blocks just slide down the plane, w = 0 , so from Eqn. (3)

Irodov Solutions: The Fundamental Equation of Dynamics | Physics Class 11 - NEET
Irodov Solutions: The Fundamental Equation of Dynamics | Physics Class 11 - NEET

Hence  Irodov Solutions: The Fundamental Equation of Dynamics | Physics Class 11 - NEET

Q4: A small body was launched up an inclined plane set at an angle α = 15° against the horizontal. Find the coefficient of friction, if the time of the ascent of the body is η = 2.0 times less than the time of its descent. 

Irodov Solutions: The Fundamental Equation of Dynamics | Physics Class 11 - NEETView Answer  Irodov Solutions: The Fundamental Equation of Dynamics | Physics Class 11 - NEET

Ans.  Case 1. When the body is launched up:

Let k be the coefficient of friction, u the velocity of projection and l the distance traversed along the incline. Retarding force on the block = mg sin α + k mg cos α and hence the retardation = g sin α + k g cos α .
Using the equation of particle kinematics along the incline,

0 - u2-2 (g sin α + k g cos α) l

or, Irodov Solutions: The Fundamental Equation of Dynamics | Physics Class 11 - NEET (1)
and Irodov Solutions: The Fundamental Equation of Dynamics | Physics Class 11 - NEET

or,    Irodov Solutions: The Fundamental Equation of Dynamics | Physics Class 11 - NEET     (2)

Irodov Solutions: The Fundamental Equation of Dynamics | Physics Class 11 - NEET   (3)

Case (2). When the block comes downward, the net force on the body - mg sin a - km g cos a and hence its acceleration - g sin a - k g cos a Let, t be the time required then

Irodov Solutions: The Fundamental Equation of Dynamics | Physics Class 11 - NEET       (4)

From Eqs. (3) and (4) 

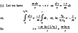
Irodov Solutions: The Fundamental Equation of Dynamics | Physics Class 11 - NEET

Irodov Solutions: The Fundamental Equation of Dynamics | Physics Class 11 - NEET   (according to the question),

Hence on solving we get

Irodov Solutions: The Fundamental Equation of Dynamics | Physics Class 11 - NEET

Q5: The following parameters of the arrangement of Fig. 1.11 are available: the angle α which the inclined plane forms with the horizontal, and the coefficient of friction k between the body m1 and the inclined plane. The masses of the pulley and the threads, as well as the friction in the pulley, are negligible. Assuming both bodies to be motionless at the initial moment, find the mass ratio m2/m1 at which the body m2
 (a) starts coming down;
 (b) starts going up;
 (c) is at rest.

Irodov Solutions: The Fundamental Equation of Dynamics | Physics Class 11 - NEETView Answer  Irodov Solutions: The Fundamental Equation of Dynamics | Physics Class 11 - NEET

Ans. At the initial moment, obviously the tension in the thread connecting m1 and m2 equals the weight of m2.

(a) For the block m2 to come down or the block m1 to go up, the conditions is

Irodov Solutions: The Fundamental Equation of Dynamics | Physics Class 11 - NEET

where T is tension and fr is friction which in the limiting case equals km1g cosα. Then 

or  Irodov Solutions: The Fundamental Equation of Dynamics | Physics Class 11 - NEET

or   Irodov Solutions: The Fundamental Equation of Dynamics | Physics Class 11 - NEET

(b) Similarly in the case

Irodov Solutions: The Fundamental Equation of Dynamics | Physics Class 11 - NEET

Irodov Solutions: The Fundamental Equation of Dynamics | Physics Class 11 - NEET

or,   Irodov Solutions: The Fundamental Equation of Dynamics | Physics Class 11 - NEET

Irodov Solutions: The Fundamental Equation of Dynamics | Physics Class 11 - NEET

(c) For this case, neither kind o f motion is possible, and fr need not be limiting.

Hence,  Irodov Solutions: The Fundamental Equation of Dynamics | Physics Class 11 - NEET

Q6: The inclined plane of Fig. 1.11 forms an angle α = 30° with the horizontal. The mass ratio m2/m1 =  η = 2/3. The coefficient of friction between the body m1 and the inclined plane is equal to k = 0.10. The masses of the pulley and the threads are negligible. Find the magnitude and the direction of acceleration of the body m2 when the formerly stationary system of masses starts moving.

Irodov Solutions: The Fundamental Equation of Dynamics | Physics Class 11 - NEETView Answer  Irodov Solutions: The Fundamental Equation of Dynamics | Physics Class 11 - NEET

Ans. From the conditions, obtained in the previous problem, first we will check whether the mass m2 goes up or down.

Here, m2/ m1 = η > sin α + k cos α , (substituting the values). Hence the mass m2 will come down with an acceleration (say w). From the free body diagram of previous problem,

Irodov Solutions: The Fundamental Equation of Dynamics | Physics Class 11 - NEET      (1)

and Irodov Solutions: The Fundamental Equation of Dynamics | Physics Class 11 - NEET       (2)

Adding (1) and (2), we get, 

Irodov Solutions: The Fundamental Equation of Dynamics | Physics Class 11 - NEET

Irodov Solutions: The Fundamental Equation of Dynamics | Physics Class 11 - NEET

Substituting all the values,  Irodov Solutions: The Fundamental Equation of Dynamics | Physics Class 11 - NEET

As m2 moves down with acceleration of magnitude w = .05 g > 0, thus in vector form acceleration of m2:

Irodov Solutions: The Fundamental Equation of Dynamics | Physics Class 11 - NEET

Q7: A plank of mass m1 with a bar of mass m2  placed on it lies on a smooth horizontal plane. A horizontal force growing with time t as F = at (a is constant) is applied to the bar. Find how the accelerations of the plank w1 and of the bar w2  depend on t, if the coefficient of friction between the plank and the bar is equal to k. Draw the approximate plots of these dependences.

Irodov Solutions: The Fundamental Equation of Dynamics | Physics Class 11 - NEETView Answer  Irodov Solutions: The Fundamental Equation of Dynamics | Physics Class 11 - NEET

Ans. Let us write the Newton’s second law in projection form along positive x-axis for the plank and the bar

fr - m1 w1, fr = m2 w2            (1)

At the initial moment, fr represents the static friction, and as the force F grows so does the friction force fr, but up to it’s limiting value 

Irodov Solutions: The Fundamental Equation of Dynamics | Physics Class 11 - NEET

Unless this value is reached, both bodies moves as a single body with equal acceleration. But as soon as the force fr reaches the limit, the bar starts sliding over the plank i.e.  Irodov Solutions: The Fundamental Equation of Dynamics | Physics Class 11 - NEET

Irodov Solutions: The Fundamental Equation of Dynamics | Physics Class 11 - NEET

Substituting here the values of w1 and w2 taken from Eq. (1) and taking into account that 

Irodov Solutions: The Fundamental Equation of Dynamics | Physics Class 11 - NEET  Irodov Solutions: The Fundamental Equation of Dynamics | Physics Class 11 - NEET corresponds to the moment  Irodov Solutions: The Fundamental Equation of Dynamics | Physics Class 11 - NEET

Hence,  Irodov Solutions: The Fundamental Equation of Dynamics | Physics Class 11 - NEET

If  Irodov Solutions: The Fundamental Equation of Dynamics | Physics Class 11 - NEET

Irodov Solutions: The Fundamental Equation of Dynamics | Physics Class 11 - NEET

Q8: A small body A starts sliding down from the top of a wedge (Fig. 1.12) whose base is equal to l = 2.10 m. The coefficient of friction between the body and the wedge surface is k = 0.140. At what value of the angle a will the time of sliding be the least? What will it be equal to? 

Irodov Solutions: The Fundamental Equation of Dynamics | Physics Class 11 - NEETView Answer  Irodov Solutions: The Fundamental Equation of Dynamics | Physics Class 11 - NEET

Ans.  Apply Fx = m wx for body A

Irodov Solutions: The Fundamental Equation of Dynamics | Physics Class 11 - NEET

or,  Irodov Solutions: The Fundamental Equation of Dynamics | Physics Class 11 - NEET

Now, from kinematical equation :

Irodov Solutions: The Fundamental Equation of Dynamics | Physics Class 11 - NEET

or,  Irodov Solutions: The Fundamental Equation of Dynamics | Physics Class 11 - NEET
Irodov Solutions: The Fundamental Equation of Dynamics | Physics Class 11 - NEET
(using Eq. (1)).

Irodov Solutions: The Fundamental Equation of Dynamics | Physics Class 11 - NEET

Irodov Solutions: The Fundamental Equation of Dynamics | Physics Class 11 - NEETIrodov Solutions: The Fundamental Equation of Dynamics | Physics Class 11 - NEET

i.e.  Irodov Solutions: The Fundamental Equation of Dynamics | Physics Class 11 - NEET

or,  Irodov Solutions: The Fundamental Equation of Dynamics | Physics Class 11 - NEET

and putting the values of α , k and l in Eq . (2) we get Irodov Solutions: The Fundamental Equation of Dynamics | Physics Class 11 - NEET

Q9: A bar of mass m is pulled by means of a thread up'an inclined plane forming an angle α with the horizontal (Fig. 1.13). The coefficient of friction is equal to k. Find the angle β which the thread must form with the inclined plane for the tension of the thread to be minimum. What is it equal to? 

Irodov Solutions: The Fundamental Equation of Dynamics | Physics Class 11 - NEETIrodov Solutions: The Fundamental Equation of Dynamics | Physics Class 11 - NEET

Irodov Solutions: The Fundamental Equation of Dynamics | Physics Class 11 - NEETView Answer  Irodov Solutions: The Fundamental Equation of Dynamics | Physics Class 11 - NEET

Ans. Let us fix the x - y co-ordinate system to the wedge, taking the x - axis up, along the incline and the y - axis perpendicular to it (Fig.).

Irodov Solutions: The Fundamental Equation of Dynamics | Physics Class 11 - NEET

Let us apply Newton’s second law in projection form along x and y axis for the bar :

Irodov Solutions: The Fundamental Equation of Dynamics | Physics Class 11 - NEET

Irodov Solutions: The Fundamental Equation of Dynamics | Physics Class 11 - NEET   (3)

For Tmin the value of (cos β + k sin β ) should be maximum 

So, Irodov Solutions: The Fundamental Equation of Dynamics | Physics Class 11 - NEET

Putting this value of β in Eq. (3) we get,

Irodov Solutions: The Fundamental Equation of Dynamics | Physics Class 11 - NEET

Q10: At the moment t = 0 the force F = at is applied to a small body of mass m resting on a smooth horizontal plane (a is a constant). 

The permanent direction of this force forms an angle α with the horizontal (Fig. 1.14). Find:
 (a) the velocity of the body at the moment of its breaking off the plane;
 (b) the distance traversed by the body up to this moment. 

Irodov Solutions: The Fundamental Equation of Dynamics | Physics Class 11 - NEETIrodov Solutions: The Fundamental Equation of Dynamics | Physics Class 11 - NEET

Irodov Solutions: The Fundamental Equation of Dynamics | Physics Class 11 - NEETView Answer  Irodov Solutions: The Fundamental Equation of Dynamics | Physics Class 11 - NEET

Ans. First of all let us draw the free body diagram for the small body of mass m and indicate x - axis along the horizontal plane and y - axis, perpendicular to it, as shown in the figure.
Let the block breaks off the plane at Irodov Solutions: The Fundamental Equation of Dynamics | Physics Class 11 - NEET

So,  Irodov Solutions: The Fundamental Equation of Dynamics | Physics Class 11 - NEET

or,  Irodov Solutions: The Fundamental Equation of Dynamics | Physics Class 11 - NEET      (1)

Irodov Solutions: The Fundamental Equation of Dynamics | Physics Class 11 - NEET

From Irodov Solutions: The Fundamental Equation of Dynamics | Physics Class 11 - NEET for the body under investigation :

Irodov Solutions: The Fundamental Equation of Dynamics | Physics Class 11 - NEET Integrating within the limits for v (t)

Irodov Solutions: The Fundamental Equation of Dynamics | Physics Class 11 - NEET

So,  Irodov Solutions: The Fundamental Equation of Dynamics | Physics Class 11 - NEET   (2)

Integrating, Eqn. (2) for s (t)

Irodov Solutions: The Fundamental Equation of Dynamics | Physics Class 11 - NEET       (3)

Using the value of t = t0 from Eq. (1), into Eqs. (2) and (3)

Irodov Solutions: The Fundamental Equation of Dynamics | Physics Class 11 - NEET

Q11: A bar of mass m resting on a smooth horizontal plane starts moving due to the force F = mg/3 of constant magnitude. In the process of its rectilinear motion the angle α between the direction of this force and the horizontal varies as α = as, where a is a constant, and s is the distance traversed by the bar from its initial position. Find the velocity of the bar as a function of the angle α. 

Irodov Solutions: The Fundamental Equation of Dynamics | Physics Class 11 - NEETView Answer  Irodov Solutions: The Fundamental Equation of Dynamics | Physics Class 11 - NEET

Ans. Newton’s second law of motion in projection form, along horizontal or x - axis i.e. 

    Irodov Solutions: The Fundamental Equation of Dynamics | Physics Class 11 - NEET

Integrating, over the limits for v (s)

Irodov Solutions: The Fundamental Equation of Dynamics | Physics Class 11 - NEET

Irodov Solutions: The Fundamental Equation of Dynamics | Physics Class 11 - NEET

Irodov Solutions: The Fundamental Equation of Dynamics | Physics Class 11 - NEET

which is the sought relationship.

Q12: A horizontal plane with the coefficient of friction k supports two bodies: a bar and an electric motor with a battery on a block. A thread attached to the bar is wound on the shaft of the electric motor. The distance between the bar and the electric motor is equal to l. When the motor is switched on, the bar, whose mass is twice as great as that of the other body, starts moving with a constant acceleration w. How soon will the bodies collide? 

Irodov Solutions: The Fundamental Equation of Dynamics | Physics Class 11 - NEETView Answer  Irodov Solutions: The Fundamental Equation of Dynamics | Physics Class 11 - NEET

Ans. From the Newton’s second law in projection from :

For the bar,

T - 2 kwg - (2 m) w      (1)

For the motor,

Irodov Solutions: The Fundamental Equation of Dynamics | Physics Class 11 - NEET    (2)

Now, from the equation of kinematics inthe frame of bar or motor

Irodov Solutions: The Fundamental Equation of Dynamics | Physics Class 11 - NEET    (3)

From (1), (2) and (3) wc get on eliminating T and W

Irodov Solutions: The Fundamental Equation of Dynamics | Physics Class 11 - NEET

Q13: A pulley fixed to the ceiling of an elevator car carries a thread whose ends are attached to the loads of masses m1 and m2. The car starts going up with an acceleration w0. Assuming the masses of the pulley and the thread, as well as the friction, to be negligible find:
(a) the acceleration of the load m1 relative to the elevator shaft and relative to the car;
 (b) the force exerted by the pulley on the ceiling of the car. 

Irodov Solutions: The Fundamental Equation of Dynamics | Physics Class 11 - NEETView Answer  Irodov Solutions: The Fundamental Equation of Dynamics | Physics Class 11 - NEET

Ans. Let us write Newton’s second law in vector from Irodov Solutions: The Fundamental Equation of Dynamics | Physics Class 11 - NEET for both the blocks (in the frame ofjround).

Irodov Solutions: The Fundamental Equation of Dynamics | Physics Class 11 - NEET

These two equations contain three unknown quantities Irodov Solutions: The Fundamental Equation of Dynamics | Physics Class 11 - NEET The third equation is provided by the kinematic relationship between the accelerations :

Irodov Solutions: The Fundamental Equation of Dynamics | Physics Class 11 - NEET

Irodov Solutions: The Fundamental Equation of Dynamics | Physics Class 11 - NEET

where  Irodov Solutions: The Fundamental Equation of Dynamics | Physics Class 11 - NEET is th acceleration of the mass m1 with respect to the pulley or elevator car.
Summing up termwise the lelt hand and the right-hand sides of these kinematical equations, we get

Irodov Solutions: The Fundamental Equation of Dynamics | Physics Class 11 - NEET   (4)

The simultaneous solution of Eqs* (1), (2) and (4) yield s

Irodov Solutions: The Fundamental Equation of Dynamics | Physics Class 11 - NEET

Using this result in Eq. (3) , we get,

Irodov Solutions: The Fundamental Equation of Dynamics | Physics Class 11 - NEET

Using the results in Eq. (3) we get   Irodov Solutions: The Fundamental Equation of Dynamics | Physics Class 11 - NEET

(b) obviously the force exerted by the pulley on the celing of the car

Irodov Solutions: The Fundamental Equation of Dynamics | Physics Class 11 - NEET

Note : one could also solve this problem in the frame of elevator car.

Q14: Find the acceleration w of body 2 in the arrangement shown in Fig. 1.15, if its mass is η times as great as the mass of bar l and the angle that the inclined plane forms with the horizontal is equal to α. The masses of the pulleys and the threads, as well as the friction, are assumed to be negligible. Look into possible cases.

Irodov Solutions: The Fundamental Equation of Dynamics | Physics Class 11 - NEETView Answer  Irodov Solutions: The Fundamental Equation of Dynamics | Physics Class 11 - NEET

Ans. Let us write Newton’s second law for both, bar 1 and body 2 in terms of projection having taken the positive direction of x1 and x2 as shown in the figure and assuming that body 2 starts sliding, say, upward along the incline 

Irodov Solutions: The Fundamental Equation of Dynamics | Physics Class 11 - NEET

Irodov Solutions: The Fundamental Equation of Dynamics | Physics Class 11 - NEET

For the pulley, moving in vertical direction from the equation  Irodov Solutions: The Fundamental Equation of Dynamics | Physics Class 11 - NEET

Irodov Solutions: The Fundamental Equation of Dynamics | Physics Class 11 - NEET

(as mass of the pulley mp = 0 ) 

or  Irodov Solutions: The Fundamental Equation of Dynamics | Physics Class 11 - NEET (3)

As the length of the threads are constant, the kinematical relation ship of accelerations becomes 

Irodov Solutions: The Fundamental Equation of Dynamics | Physics Class 11 - NEET      (4)

Simultaneous solutions of all these equations yields :

Irodov Solutions: The Fundamental Equation of Dynamics | Physics Class 11 - NEET

As η > 1, w is directed vertically downward, and hence in vector form 

Irodov Solutions: The Fundamental Equation of Dynamics | Physics Class 11 - NEET

Q15: In the arrangement shown in Fig. 1.16 the bodies have masses m0, m1, m2 ,t he friction is absent, the masses of the pulleys and the threads are negligible. Find the acceleration of the body m1. Look into possible cases.

Irodov Solutions: The Fundamental Equation of Dynamics | Physics Class 11 - NEETView Answer  Irodov Solutions: The Fundamental Equation of Dynamics | Physics Class 11 - NEET

Ans. Let us write Newton’s second law for masses m1 and m2 and moving pully in vertical direction along positive x - axis (Fig.) : 

Irodov Solutions: The Fundamental Equation of Dynamics | Physics Class 11 - NEET

Irodov Solutions: The Fundamental Equation of Dynamics | Physics Class 11 - NEET

or  Irodov Solutions: The Fundamental Equation of Dynamics | Physics Class 11 - NEET     (3)

Again using Newton’s second law in projection form for mass m0 along positive x1 direction

(Fig.), we get 

Irodov Solutions: The Fundamental Equation of Dynamics | Physics Class 11 - NEET   (4)

The kinematical relationship between the accelerations of masses gives in terms of projection on the x - axis

Irodov Solutions: The Fundamental Equation of Dynamics | Physics Class 11 - NEET

Simultaneous solution of the obtained five equations yields 

Irodov Solutions: The Fundamental Equation of Dynamics | Physics Class 11 - NEET

In vector form

Irodov Solutions: The Fundamental Equation of Dynamics | Physics Class 11 - NEET

Q16: In the arrangement shown in Fig. 1.17 the mass of the rod M exceeds the mass m of the ball. The ball has an opening permitting it to slide along the thread with some friction. The mass of the pulley and the friction in its axle are negligible. At the initial moment the ball was located opposite the lower end of the rod. When set free, both bodies began moving with constant accelerations. Find the friction force between the ball and the thread if t seconds after the beginning of motion the ball got opposite the upper end of the rod. The rod length equals l. 

Irodov Solutions: The Fundamental Equation of Dynamics | Physics Class 11 - NEETIrodov Solutions: The Fundamental Equation of Dynamics | Physics Class 11 - NEETIrodov Solutions: The Fundamental Equation of Dynamics | Physics Class 11 - NEET

Irodov Solutions: The Fundamental Equation of Dynamics | Physics Class 11 - NEETView Answer  Irodov Solutions: The Fundamental Equation of Dynamics | Physics Class 11 - NEET

Ans. As the thread is not tied with m, so if there were no friction between the thread and the ball m, the tension in the thread would be zero and as a result both bodies will have free fall motion. Obviously in the given problem it is the friction force exerted by the ball on the thread, which becomes the tension in the thread. From the condition or language of the problem wM > wm and as both are directed downward so , relative acceleration of M = wM > wm and is directed downward. Kinematical equation for the ball in the frame of rod in projection form along upward direction gives :

Irodov Solutions: The Fundamental Equation of Dynamics | Physics Class 11 - NEET

Irodov Solutions: The Fundamental Equation of Dynamics | Physics Class 11 - NEET

Newton’s second law in projection form along vertically down direction for both, rod and ball gives,

Irodov Solutions: The Fundamental Equation of Dynamics | Physics Class 11 - NEET

Multiplying Eq. (2) by m and Eq. (3) by M and then subtracting Eq. (3) from (2) and after using Eq. (1) we get

Irodov Solutions: The Fundamental Equation of Dynamics | Physics Class 11 - NEET

Q17: In the arrangement shown in Fig. 1.18 the mass of ball 1 is η = 1.8 times as great as that of rod 2. The length of the latter is l = 100 cm. The masses of the pulleys and the threads, as well as the friction, are negligible. The ball is set on the same level as the lower end of the rod and then released. How soon will the ball be opposite the upper end of the rod? 

Irodov Solutions: The Fundamental Equation of Dynamics | Physics Class 11 - NEETView Answer  Irodov Solutions: The Fundamental Equation of Dynamics | Physics Class 11 - NEET

Ans. Suppose, the ball goes up with accleration w1 and the rod comes down with the acceleration w2. As the length of the thread is constant,

2 = w2    (1)

From Newton's second law in projection form along vertically upward for the ball and vertically downward for the rod respectively gives,

Irodov Solutions: The Fundamental Equation of Dynamics | Physics Class 11 - NEET    (2)

and  Irodov Solutions: The Fundamental Equation of Dynamics | Physics Class 11 - NEET     (3)

but T = 2T   (because pulley is massless)   (4)

From Eqs. (1), (2), (3) and (4)

Irodov Solutions: The Fundamental Equation of Dynamics | Physics Class 11 - NEET
Irodov Solutions: The Fundamental Equation of Dynamics | Physics Class 11 - NEET

Irodov Solutions: The Fundamental Equation of Dynamics | Physics Class 11 - NEET

From kinematical equation in projection form, we get 

Irodov Solutions: The Fundamental Equation of Dynamics | Physics Class 11 - NEET

as, w1 and w2 are in the opposite direction.
Putting the values of w1 and w2, the sought time becomes

Irodov Solutions: The Fundamental Equation of Dynamics | Physics Class 11 - NEET

Q18: In the arrangement shown in Fig. 1.19 the mass of body 1 is η = 4.0 times as great as that of body 1. The height h = 20 cm. The masses of the pulleys and the threads, as well as the friction, are negligible. At a certain moment body 2 is released and the arrangement set in motion. What is the maximum height that body 2 will go up to? 

Irodov Solutions: The Fundamental Equation of Dynamics | Physics Class 11 - NEETView Answer  Irodov Solutions: The Fundamental Equation of Dynamics | Physics Class 11 - NEET

Ans. Using Newton's second law in projection form along x - axis for the body 1 and along negative x - axis for the body 2 respectively, we get 

Irodov Solutions: The Fundamental Equation of Dynamics | Physics Class 11 - NEET

For the pulley lowering in downward direction from Newton's law along x axis,

Irodov Solutions: The Fundamental Equation of Dynamics | Physics Class 11 - NEET

As the length of the thread is constant so,

w2 =  2w1          (4)

Irodov Solutions: The Fundamental Equation of Dynamics | Physics Class 11 - NEET

The simultaneous solution of above equations yields,

Irodov Solutions: The Fundamental Equation of Dynamics | Physics Class 11 - NEET

Irodov Solutions: The Fundamental Equation of Dynamics | Physics Class 11 - NEET    (5)

Obviously during the time interval in which the body 1 comes to the horizontal floor covering the distance h, the body 2 moves upward the distance 2h. At the moment when the body 2 is at the height 2h from the floor its velocity is given by the expression :

Irodov Solutions: The Fundamental Equation of Dynamics | Physics Class 11 - NEETIrodov Solutions: The Fundamental Equation of Dynamics | Physics Class 11 - NEET

After the body m1 touches the floor the thread becomes slack or the tension in the thread zero, thus as a result body 2 is only under gravity for it's subsequent motion.

Owing to the velocity v2 at that moment or at the height 2h from the floor, the body 2 further goes up under gravity by the distance,

Irodov Solutions: The Fundamental Equation of Dynamics | Physics Class 11 - NEET

Thus the sought maximum height attained by the body 2 :

Irodov Solutions: The Fundamental Equation of Dynamics | Physics Class 11 - NEET

Q19: Find the accelerations of rod A and wedge B in the arrangement shown in Fig. 1.20 if the ratio of the mass of the wedge to that of the rod equals η, and the friction between all contact surfaces is negligible.

Irodov Solutions: The Fundamental Equation of Dynamics | Physics Class 11 - NEETView Answer  Irodov Solutions: The Fundamental Equation of Dynamics | Physics Class 11 - NEET

Ans. Let us draw free body diagram of each body, i.e. of rod A and of wedge B and also draw the kinemetical diagram for accelerations, after analysing the directions of motion of A and B. Kinematical relationship of accelarations is :

Irodov Solutions: The Fundamental Equation of Dynamics | Physics Class 11 - NEET    (1)

Let us write Newton’s second law for both bodies in terms of projections having taken positive directions of y and x axes as shown in the figure.

Irodov Solutions: The Fundamental Equation of Dynamics | Physics Class 11 - NEET    (2)

and Irodov Solutions: The Fundamental Equation of Dynamics | Physics Class 11 - NEET    (3)

Simultaneous solution of (1), (2) and (3) yields : 

Irodov Solutions: The Fundamental Equation of Dynamics | Physics Class 11 - NEET
Irodov Solutions: The Fundamental Equation of Dynamics | Physics Class 11 - NEET
Irodov Solutions: The Fundamental Equation of Dynamics | Physics Class 11 - NEETIrodov Solutions: The Fundamental Equation of Dynamics | Physics Class 11 - NEET

Note : We may also solve this problem using conservation of mechanical energy instead of Newton's second law.


Q20: In the arrangement shown in Fig. 1.21 the masses of the wedge M and the body m are known. The appreciable friction exists only between the wedge and the body m, the friction coefficient being equal to k. The masses of the pulley and the thread are negligible. Find the acceleration of the body m relative to the horizontal surface on which the wedge slides. 

Irodov Solutions: The Fundamental Equation of Dynamics | Physics Class 11 - NEETIrodov Solutions: The Fundamental Equation of Dynamics | Physics Class 11 - NEET

Irodov Solutions: The Fundamental Equation of Dynamics | Physics Class 11 - NEETView Answer  Irodov Solutions: The Fundamental Equation of Dynamics | Physics Class 11 - NEET

Ans. Let us draw free body diagram of each body and fix the coordinate system, as shown in the figure. After analysing the motion of M and m on the basis of force diagrams, let us draw the kinematical diagram for accelerations (Fig.).
As the length of threads are constant so,

Irodov Solutions: The Fundamental Equation of Dynamics | Physics Class 11 - NEET do not change their directions that why

Irodov Solutions: The Fundamental Equation of Dynamics | Physics Class 11 - NEET

Irodov Solutions: The Fundamental Equation of Dynamics | Physics Class 11 - NEET

Irodov Solutions: The Fundamental Equation of Dynamics | Physics Class 11 - NEET

so, from the triangle law of vector addition

Irodov Solutions: The Fundamental Equation of Dynamics | Physics Class 11 - NEET      (1)

From the Eq. Fx = mwx , for the wedge and block :

T - N = Mw,        (2)

and    N = mw    (3)

Now, from the Eq. F= mwy , for the block 

mg - T - kN= mw     (4)

Simultaneous solution of Eqs. (2), (3) and (4) yields :     

  Irodov Solutions: The Fundamental Equation of Dynamics | Physics Class 11 - NEET

Hence using Eq. (1)

Irodov Solutions: The Fundamental Equation of Dynamics | Physics Class 11 - NEET 

Q21: What is the minimum acceleration with which bar A (Fig. 1.22) should be shifted horizontally to keep bodies 1 and 2 stationary relative to the bar? The masses of the bodies are equal, and the coefficient of friction between the bar and the bodies is equal to k. The masses of the pulley and the threads are negligible, the friction in the pulley is absent. 

Irodov Solutions: The Fundamental Equation of Dynamics | Physics Class 11 - NEETView Answer  Irodov Solutions: The Fundamental Equation of Dynamics | Physics Class 11 - NEET

Ans. Bodies 1 and 2 will remain at rest with repect to bar Irodov Solutions: The Fundamental Equation of Dynamics | Physics Class 11 - NEET the sought minimum acceleration of the bar. Beyond these limits there will be a relative motion betw een b ar and the bodies. Irodov Solutions: The Fundamental Equation of Dynamics | Physics Class 11 - NEET the tendency o f body 1 in relation to the bar A is to move towards right and is in the opposite sense for Irodov Solutions: The Fundamental Equation of Dynamics | Physics Class 11 - NEET On the basis of above argument the static friction on 2 by A is directed upward and on 1 by A is directed towards le ft for the purpose o f calculating Irodov Solutions: The Fundamental Equation of Dynamics | Physics Class 11 - NEET.

Let us write Newton’s second law for bodies 1 and 2 in terms of projection along positive x - axis (Fig.).

Irodov Solutions: The Fundamental Equation of Dynamics | Physics Class 11 - NEET

As body 2 has no acceleration in vertical direction, so

Irodov Solutions: The Fundamental Equation of Dynamics | Physics Class 11 - NEET

Irodov Solutions: The Fundamental Equation of Dynamics | Physics Class 11 - NEET

From (4) and (5)

Irodov Solutions: The Fundamental Equation of Dynamics | Physics Class 11 - NEET

Hence

Irodov Solutions: The Fundamental Equation of Dynamics | Physics Class 11 - NEET

Q22: Prism 1 with bar 2 of mass m placed on it gets a horizontal acceleration w directed to the left (Fig. 1.23). At what maximum value of this acceleration will the bar be still stationary relative to the prism, if the coefficient of friction between them k< cot α? 

Irodov Solutions: The Fundamental Equation of Dynamics | Physics Class 11 - NEETView Answer  Irodov Solutions: The Fundamental Equation of Dynamics | Physics Class 11 - NEET

Ans. On the basis of the initial aigument of the solution of Q.79, the tendency of bar 2 with respect to 1 will be to move up along the plane.
Let us fix (x - y) coordinate system in the frame o f ground as shown in the figure.
From second law of motion in projection form along y and x axes :

m g cos α - N = m w sin a

Irodov Solutions: The Fundamental Equation of Dynamics | Physics Class 11 - NEET

Irodov Solutions: The Fundamental Equation of Dynamics | Physics Class 11 - NEET

So, the sought maximum acceleration of the wedge :

Irodov Solutions: The Fundamental Equation of Dynamics | Physics Class 11 - NEET

Q23: Prism 1 of mass m1 and with angle α (see Fig. 1.23) rests on a horizontal surface. Bar 2 of mass m2  is placed on the prism. Assuming the friction to be negligible, find the acceleration of the prism. 

Irodov Solutions: The Fundamental Equation of Dynamics | Physics Class 11 - NEETView Answer  Irodov Solutions: The Fundamental Equation of Dynamics | Physics Class 11 - NEET

Ans. Let us draw the force diagram of each body, and on this basis we observe that the prism moves towards right say with an acceleration Irodov Solutions: The Fundamental Equation of Dynamics | Physics Class 11 - NEET nd the bar 2 of mass moves down the plane with respect to 1, say with acceleration  Irodov Solutions: The Fundamental Equation of Dynamics | Physics Class 11 - NEET (Fig.)

Let us write Newton’s second law for both bodies in projection form along positive y2 and x1 axes as shown in the Fig.

Irodov Solutions: The Fundamental Equation of Dynamics | Physics Class 11 - NEETIrodov Solutions: The Fundamental Equation of Dynamics | Physics Class 11 - NEET

or,   Irodov Solutions: The Fundamental Equation of Dynamics | Physics Class 11 - NEET (1)
and Irodov Solutions: The Fundamental Equation of Dynamics | Physics Class 11 - NEET     (2)

Solving (1) and (2), we get

Irodov Solutions: The Fundamental Equation of Dynamics | Physics Class 11 - NEET

Irodov Solutions: The Fundamental Equation of Dynamics | Physics Class 11 - NEET

Q24: In the arrangement shown in Fig. 1.24 the masses m of the bar and M of the wedge, as well as the wedge angle α, are known.  The masses of the pulley and the thread are negligible. The friction is absent. Find the acceleration of the wedge M. 

Irodov Solutions: The Fundamental Equation of Dynamics | Physics Class 11 - NEETIrodov Solutions: The Fundamental Equation of Dynamics | Physics Class 11 - NEET

Irodov Solutions: The Fundamental Equation of Dynamics | Physics Class 11 - NEETView Answer  Irodov Solutions: The Fundamental Equation of Dynamics | Physics Class 11 - NEET

Ans. To analyse the kinematic relations between the bodies, sketch the force diagram of each body as shown in the figure.

On the basis of force diagram, it is obvious that the wedge M will move towards right and the block will move down along the wedge. As the length of the thread is constant, the distance travelled by the block on the wedge must be equal to the distance travelled by the wedge on the flo&r. Hence  Irodov Solutions: The Fundamental Equation of Dynamics | Physics Class 11 - NEET do not change their directions and acceleration that’s why Irodov Solutions: The Fundamental Equation of Dynamics | Physics Class 11 - NEET (say) and accordingly the diagram of kinematical dependence is shown in figure.

Irodov Solutions: The Fundamental Equation of Dynamics | Physics Class 11 - NEETIrodov Solutions: The Fundamental Equation of Dynamics | Physics Class 11 - NEET

Irodov Solutions: The Fundamental Equation of Dynamics | Physics Class 11 - NEET so from triangle law o f vector addition.

Irodov Solutions: The Fundamental Equation of Dynamics | Physics Class 11 - NEET  (1)

From Fx = m wx , (for the wedge), 

Irodov Solutions: The Fundamental Equation of Dynamics | Physics Class 11 - NEET   (2)

For the bar m let us fix (x - y) coordinate system in the frame of ground Newton ’s law in projection form along x and y axes (Fig.) gives

Irodov Solutions: The Fundamental Equation of Dynamics | Physics Class 11 - NEET
Irodov Solutions: The Fundamental Equation of Dynamics | Physics Class 11 - NEET (3)
Irodov Solutions: The Fundamental Equation of Dynamics | Physics Class 11 - NEET        (4)

Solving the above Eqs. simultaneously, we get

Irodov Solutions: The Fundamental Equation of Dynamics | Physics Class 11 - NEET

Note : We can study the motion of the block m in the frame of wedge also, alternately we may solve this problem using conservation of mechanical energy. 

Q25: A particle of mass m moves along a circle of radius R. Find the modulus of the average vector of the force acting on the particle over the distance equal to a quarter of the circle, if the particle moves
 (a) uniformly with velocity v;
(b) with constant tangential acceleration wτ the initial velocity being equal to zero. 

Irodov Solutions: The Fundamental Equation of Dynamics | Physics Class 11 - NEET

Irodov Solutions: The Fundamental Equation of Dynamics | Physics Class 11 - NEETView Answer  Irodov Solutions: The Fundamental Equation of Dynamics | Physics Class 11 - NEET

Ans. Let us sketch the diagram for the motion of the particle of mass m along the circle of radius R and indicate x and y axis, as shown Jn the figure.

(a) For the particle, change in momentum  Irodov Solutions: The Fundamental Equation of Dynamics | Physics Class 11 - NEET

so ,  Irodov Solutions: The Fundamental Equation of Dynamics | Physics Class 11 - NEET

and time taken in describing quarter of the circle, 

Irodov Solutions: The Fundamental Equation of Dynamics | Physics Class 11 - NEET

Irodov Solutions: The Fundamental Equation of Dynamics | Physics Class 11 - NEET

Irodov Solutions: The Fundamental Equation of Dynamics | Physics Class 11 - NEET

Irodov Solutions: The Fundamental Equation of Dynamics | Physics Class 11 - NEET

Q26: An aircraft loops the loop of radius R = 500 m with a constant velocity v = 360 km per hour. Find the weight of the flyer of mass m = 70 kg in the lower, upper, and middle points of the loop.

Irodov Solutions: The Fundamental Equation of Dynamics | Physics Class 11 - NEETView Answer  Irodov Solutions: The Fundamental Equation of Dynamics | Physics Class 11 - NEET

Ans. While moving in a loop, normal reaction exerted by the flyer on the loop at different points and uncom pensated weight if any contribute to the weight of flyer at those points,

(a) When the aircraft is at the lowermost point, Newton’s second law of motion in projection form Fn = mwn gives

Irodov Solutions: The Fundamental Equation of Dynamics | Physics Class 11 - NEET

Irodov Solutions: The Fundamental Equation of Dynamics | Physics Class 11 - NEET

(b) When it is at the upper most point, again from Fn - mwn we get

Irodov Solutions: The Fundamental Equation of Dynamics | Physics Class 11 - NEET

 Irodov Solutions: The Fundamental Equation of Dynamics | Physics Class 11 - NEET

Irodov Solutions: The Fundamental Equation of Dynamics | Physics Class 11 - NEET

(c) When the aircraft is at the middle point of the loop, again from  Fn = m w

Irodov Solutions: The Fundamental Equation of Dynamics | Physics Class 11 - NEET

The uncompensated weight is mg. Thus effective weight   Irodov Solutions: The Fundamental Equation of Dynamics | Physics Class 11 - NEET obliquely.

Q27: A small sphere of mass m suspended by a thread is first taken aside so that the thread forms the right angle with the vertical and then released. Find:
 (a) the total acceleration of the sphere and the thread tension as a function of θ, the angle of deflection of the thread from the vertical;
 (b) the thread tension at the moment when the vertical component of the sphere's velocity is maximum;
 (c) the angle θ between the thread and the vertical at the moment when the total acceleration vector of the sphere is directed horizontally.

Irodov Solutions: The Fundamental Equation of Dynamics | Physics Class 11 - NEETView Answer  Irodov Solutions: The Fundamental Equation of Dynamics | Physics Class 11 - NEET

Ans. Let us depict the forces acting on the small sphere m, (at an arbitrary position when the thread makes an angle θ from the vertical) and write equation Irodov Solutions: The Fundamental Equation of Dynamics | Physics Class 11 - NEET via projection on A 
the unit vectors Irodov Solutions: The Fundamental Equation of Dynamics | Physics Class 11 - NEET

Irodov Solutions: The Fundamental Equation of Dynamics | Physics Class 11 - NEET

(as vertical is reference line of angular position)

or   Irodov Solutions: The Fundamental Equation of Dynamics | Physics Class 11 - NEET

Integrating both the sides : 

Irodov Solutions: The Fundamental Equation of Dynamics | Physics Class 11 - NEET

or,    Irodov Solutions: The Fundamental Equation of Dynamics | Physics Class 11 - NEET

Irodov Solutions: The Fundamental Equation of Dynamics | Physics Class 11 - NEET

Irodov Solutions: The Fundamental Equation of Dynamics | Physics Class 11 - NEET

(Eq. (1) can be easily obtained by the conservation of mechanical energy).
From

Irodov Solutions: The Fundamental Equation of Dynamics | Physics Class 11 - NEET

Irodov Solutions: The Fundamental Equation of Dynamics | Physics Class 11 - NEET

Irodov Solutions: The Fundamental Equation of Dynamics | Physics Class 11 - NEET

(b) Vertical component of velocity, vy = v sin θ

So,  Irodov Solutions: The Fundamental Equation of Dynamics | Physics Class 11 - NEET

For maximum   Irodov Solutions: The Fundamental Equation of Dynamics | Physics Class 11 - NEET

which yields  Irodov Solutions: The Fundamental Equation of Dynamics | Physics Class 11 - NEET

Therefore from  Irodov Solutions: The Fundamental Equation of Dynamics | Physics Class 11 - NEET

(c) We have  Irodov Solutions: The Fundamental Equation of Dynamics | Physics Class 11 - NEET

But in accordance with the problem wy = 0 

So,    Irodov Solutions: The Fundamental Equation of Dynamics | Physics Class 11 - NEET

or,     Irodov Solutions: The Fundamental Equation of Dynamics | Physics Class 11 - NEET

or,     Irodov Solutions: The Fundamental Equation of Dynamics | Physics Class 11 - NEET

Q28: A ball suspended by a thread swings in a vertical plane so that its acceleration values in the extreme and the lowest position are equal. Find the thread deflection angle in the extreme position. 

Irodov Solutions: The Fundamental Equation of Dynamics | Physics Class 11 - NEETView Answer  Irodov Solutions: The Fundamental Equation of Dynamics | Physics Class 11 - NEET

Ans. The ball has only normal acceleration at the lowest position and only tangential acceleration at any of the extreme position. Let v be the speed of the ball at its lowest position and l be the length of the thread, then according to the problem

Irodov Solutions: The Fundamental Equation of Dynamics | Physics Class 11 - NEET

where α is the maximum deflection angle

From Newton’s law in projection form : Ft = mwt

or,  Irodov Solutions: The Fundamental Equation of Dynamics | Physics Class 11 - NEET

On integrating both the sides within their limits.

Irodov Solutions: The Fundamental Equation of Dynamics | Physics Class 11 - NEET

   or,Irodov Solutions: The Fundamental Equation of Dynamics | Physics Class 11 - NEET

Irodov Solutions: The Fundamental Equation of Dynamics | Physics Class 11 - NEET

Note : Eq. (2) can easily be obtained by the conservation of mechanical energy of the ball in the uniform field of gravity.
From Eqs. (1) and (2) with θ = α

or,  Irodov Solutions: The Fundamental Equation of Dynamics | Physics Class 11 - NEET

Q29: A small body A starts sliding off the top of a smooth sphere of radius R. Find the angle θ (Fig. 1.25) corresponding to the point at which the body breaks off the sphere, as well as the break-off velocity of the body. 

Irodov Solutions: The Fundamental Equation of Dynamics | Physics Class 11 - NEETView Answer  Irodov Solutions: The Fundamental Equation of Dynamics | Physics Class 11 - NEET

Ans. Let us depict the forces acting on the body A(which are the force of gravity Irodov Solutions: The Fundamental Equation of Dynamics | Physics Class 11 - NEET and the normal reaction Irodov Solutions: The Fundamental Equation of Dynamics | Physics Class 11 - NEET and write equation  Irodov Solutions: The Fundamental Equation of Dynamics | Physics Class 11 - NEET via projection on the unit vectors  Irodov Solutions: The Fundamental Equation of Dynamics | Physics Class 11 - NEET

Irodov Solutions: The Fundamental Equation of Dynamics | Physics Class 11 - NEET

Irodov Solutions: The Fundamental Equation of Dynamics | Physics Class 11 - NEET

or,  Irodov Solutions: The Fundamental Equation of Dynamics | Physics Class 11 - NEET

Integrating both side for obtaining v (θ)

Irodov Solutions: The Fundamental Equation of Dynamics | Physics Class 11 - NEET

Irodov Solutions: The Fundamental Equation of Dynamics | Physics Class 11 - NEET

Irodov Solutions: The Fundamental Equation of Dynamics | Physics Class 11 - NEET

At the mom ent the body loses contact with the surface, N = 0 and therefore the Eq. (2) becomes

v2 = gR cos θ

where v and θ correspond to the moment when the body loses contact with the surface. Solving Eqs. (1) and (3) we obtainIrodov Solutions: The Fundamental Equation of Dynamics | Physics Class 11 - NEET

Q30: A device (Fig. 1.26) consists of a smooth L-shaped rod located in a horizontal plane and a sleeve A of mass m attached by a weight- less spring to a point B. The spring stiffness is equal to x. The whole system rotates with a constant angular velocity ω about a vertical axis passing through the point O. Find the elongation of the spring. How is the result affected by the rotation direction? 

Irodov Solutions: The Fundamental Equation of Dynamics | Physics Class 11 - NEETView Answer  Irodov Solutions: The Fundamental Equation of Dynamics | Physics Class 11 - NEET

Ans. At first draw the free body diagram of the device as, shown. The forces, acting on the sleeve are it's weight, acting vertically downward, spring force, along the length of the spring and normal reaction by the rod, perpendicular to its length.
Let F be the spring force, and Δl be the elongation.

Irodov Solutions: The Fundamental Equation of Dynamics | Physics Class 11 - NEET
Irodov Solutions: The Fundamental Equation of Dynamics | Physics Class 11 - NEET (1)
Irodov Solutions: The Fundamental Equation of Dynamics | Physics Class 11 - NEET

Irodov Solutions: The Fundamental Equation of Dynamics | Physics Class 11 - NEET    (2)

Irodov Solutions: The Fundamental Equation of Dynamics | Physics Class 11 - NEET

Irodov Solutions: The Fundamental Equation of Dynamics | Physics Class 11 - NEET

and it is independent of the direction of rotation.

Q31: A cyclist rides along the circumference of a circular horizontal plane of radius R, the friction coefficient being dependent only on distance r from the centre O of the plane as k = k0 (1—r/R), where k0 is a constant. Find the radius of the circle with the centre at the point along which the cyclist can ride with the maximum velocity. What is this velocity? 

Irodov Solutions: The Fundamental Equation of Dynamics | Physics Class 11 - NEETView Answer  Irodov Solutions: The Fundamental Equation of Dynamics | Physics Class 11 - NEET

Ans.  According to the question, the cyclist moves along the circular path and the centripetal force is provided by the frictional force. Thus from die equation  Fn = m wn

Irodov Solutions: The Fundamental Equation of Dynamics | Physics Class 11 - NEET
or, Irodov Solutions: The Fundamental Equation of Dynamics | Physics Class 11 - NEET    (1)

Irodov Solutions: The Fundamental Equation of Dynamics | Physics Class 11 - NEET

Q32: A car moves with a constant tangential acceleration wτ = 0.62 m/s2 along a horizontal surface circumscribing a circle of radius R = 40 m. The coefficient of sliding friction between the wheels of the car and the surface is k = 0.20. What distance will the car ride without sliding if at the initial moment of time its velocity is equal to zero? 

Irodov Solutions: The Fundamental Equation of Dynamics | Physics Class 11 - NEETView Answer  Irodov Solutions: The Fundamental Equation of Dynamics | Physics Class 11 - NEET

Ans.  As initial velocity is zero thus

v2 = 2 wts

As wt > 0 the speed of the car increases with time or distance. Till the moment, sliding starts, the static friction provides the required centripetal acceleration to the car.

Thus  Irodov Solutions: The Fundamental Equation of Dynamics | Physics Class 11 - NEET

So,   Irodov Solutions: The Fundamental Equation of Dynamics | Physics Class 11 - NEET

or,   Irodov Solutions: The Fundamental Equation of Dynamics | Physics Class 11 - NEET

Hence   Irodov Solutions: The Fundamental Equation of Dynamics | Physics Class 11 - NEET

so, from Eqn. (1), the sought distance  Irodov Solutions: The Fundamental Equation of Dynamics | Physics Class 11 - NEET

Q33: A car moves uniformly along a horizontal sine curve y = a sin (x/α), where a and α are certain constants. The coefficient of friction between the wheels and the road is equal to k. At what velocity will the car ride without sliding?

Irodov Solutions: The Fundamental Equation of Dynamics | Physics Class 11 - NEETView Answer  Irodov Solutions: The Fundamental Equation of Dynamics | Physics Class 11 - NEET

Ans. Since the car follows a curve, so the maximum velocity at which it can ride without sliding at the point of minimum radius of curvature is the sought velocity and obviously in this case the static friction between the car and the road is limiting.

Hence from the equation Fn = mw 

Irodov Solutions: The Fundamental Equation of Dynamics | Physics Class 11 - NEET

so    Irodov Solutions: The Fundamental Equation of Dynamics | Physics Class 11 - NEET    (1)

We know that, radius of curvature for a curve at any point (x, y) is given as,

Irodov Solutions: The Fundamental Equation of Dynamics | Physics Class 11 - NEET    (2)

For the given curve,

Irodov Solutions: The Fundamental Equation of Dynamics | Physics Class 11 - NEET

Substituting this value in (2) we get,

Irodov Solutions: The Fundamental Equation of Dynamics | Physics Class 11 - NEET

For the minimum  Irodov Solutions: The Fundamental Equation of Dynamics | Physics Class 11 - NEET

and therefore, corresponding radius of curvature

Irodov Solutions: The Fundamental Equation of Dynamics | Physics Class 11 - NEET     (3)

Hence from (1) and (2)

Irodov Solutions: The Fundamental Equation of Dynamics | Physics Class 11 - NEET

Q34: A chain of mass m forming a circle of radius R is slipped on a smooth round cone with half-angle θ. Find the tension of the chain if it rotates with a constant angular velocity co about a vertical axis coinciding with the symmetry axis of the cone. 

Irodov Solutions: The Fundamental Equation of Dynamics | Physics Class 11 - NEETView Answer  Irodov Solutions: The Fundamental Equation of Dynamics | Physics Class 11 - NEET

Ans. The sought tensile stress acts on each element of the chain. Hence divide the chain into small, similar elements so that each element may be assumed as a particle. We consider one such element of mass dm, which subtends angle d α at the centre. The chain moves along a circle of known radius R with a known angular speed ω and certain forces act on it We have to find one of these forces.

From Newton’s second law in projection form, Fx = mwx we get

Irodov Solutions: The Fundamental Equation of Dynamics | Physics Class 11 - NEET

Irodov Solutions: The Fundamental Equation of Dynamics | Physics Class 11 - NEET

Then putting   Irodov Solutions: The Fundamental Equation of Dynamics | Physics Class 11 - NEET

Irodov Solutions: The Fundamental Equation of Dynamics | Physics Class 11 - NEET

Irodov Solutions: The Fundamental Equation of Dynamics | Physics Class 11 - NEETIrodov Solutions: The Fundamental Equation of Dynamics | Physics Class 11 - NEET

Q35: A fixed pulley carries a weightless thread with masses m1 and m2  at its ends. There is friction between the thread and the pulley. It is such that the thread starts slipping when the ratio m2/m1 = η0. Find:
 (a) the friction coefficient;
(b) the acceleration of the masses when m2/m1  = η > η0.

Irodov Solutions: The Fundamental Equation of Dynamics | Physics Class 11 - NEETView Answer  Irodov Solutions: The Fundamental Equation of Dynamics | Physics Class 11 - NEET

Ans. Let, us consider a small element of the thread and draw free body diagram for this element, (a) Applying Newton’s second law of motion in projection form, Fn = mwn for this element,

Irodov Solutions: The Fundamental Equation of Dynamics | Physics Class 11 - NEET

or,    Irodov Solutions: The Fundamental Equation of Dynamics | Physics Class 11 - NEET        (1)

Also,    Irodov Solutions: The Fundamental Equation of Dynamics | Physics Class 11 - NEET    (2)

Irodov Solutions: The Fundamental Equation of Dynamics | Physics Class 11 - NEET

Irodov Solutions: The Fundamental Equation of Dynamics | Physics Class 11 - NEET

(b) When Irodov Solutions: The Fundamental Equation of Dynamics | Physics Class 11 - NEET which is greater than η the blocks will move with same value of acceleration, (say w) and clearly m2 moves downward. From Newton’s second law in projection form (downward for m2 and upward for m1) we get : 

Irodov Solutions: The Fundamental Equation of Dynamics | Physics Class 11 - NEET     (4)and   Irodov Solutions: The Fundamental Equation of Dynamics | Physics Class 11 - NEET     (5)

Also   Irodov Solutions: The Fundamental Equation of Dynamics | Physics Class 11 - NEET     (6)

Simultaneous solution of Eqs. (4), (5) and (6) yields : 

Irodov Solutions: The Fundamental Equation of Dynamics | Physics Class 11 - NEET

Q36: A particle of mass m moves along the internal smooth surface of a vertical cylinder of radius R. Find the force with which the particle acts on the cylinder wall if at the initial moment of time its velocity equals v0  and forms an angle α with the horizontal. 

Irodov Solutions: The Fundamental Equation of Dynamics | Physics Class 11 - NEETView Answer  Irodov Solutions: The Fundamental Equation of Dynamics | Physics Class 11 - NEET

Ans. The force with which the cylinder wall acts on the particle will provide centripetal force necessary for the motion of the particle> and since there is no acceleration acting in the horizontal direction, horizontal component of the velocity will remain constant througout the motion.

Irodov Solutions: The Fundamental Equation of Dynamics | Physics Class 11 - NEET

So vx = vcos α

Using, Fn = m wn, for the particle of mass m,

Irodov Solutions: The Fundamental Equation of Dynamics | Physics Class 11 - NEET

which is the required normal force.

Q37: Find the magnitude and direction of the force acting on the particle of mass m during its motion in the plane xy according to the law x = a sin ωt, y = b cos ωt, where a, b, and ω are constants. 

Irodov Solutions: The Fundamental Equation of Dynamics | Physics Class 11 - NEETView Answer  Irodov Solutions: The Fundamental Equation of Dynamics | Physics Class 11 - NEET

Ans. Obviously the radius vector describing the position of the particle relative to the origin of coordinate is 

Irodov Solutions: The Fundamental Equation of Dynamics | Physics Class 11 - NEET

Differentiating twice with respect the time :

Irodov Solutions: The Fundamental Equation of Dynamics | Physics Class 11 - NEET   (1)

Thus  Irodov Solutions: The Fundamental Equation of Dynamics | Physics Class 11 - NEET

Q38: A body of mass m is thrown at an angle to the horizontal with the initial velocity v0. Assuming the air drag to be negligible, find:
 (a) the momentum increment Δp that the body acquires over the first t seconds of motion;
 (b) the modulus of the momentum increment Δp during the total time of motion. 

Irodov Solutions: The Fundamental Equation of Dynamics | Physics Class 11 - NEETView Answer  Irodov Solutions: The Fundamental Equation of Dynamics | Physics Class 11 - NEET

Ans.  Irodov Solutions: The Fundamental Equation of Dynamics | Physics Class 11 - NEET

Irodov Solutions: The Fundamental Equation of Dynamics | Physics Class 11 - NEET     (1)

(b) Using the solution of problem 1.28 (b), the total time of motion Irodov Solutions: The Fundamental Equation of Dynamics | Physics Class 11 - NEET

Hence using Irodov Solutions: The Fundamental Equation of Dynamics | Physics Class 11 - NEET

Irodov Solutions: The Fundamental Equation of Dynamics | Physics Class 11 - NEETIrodov Solutions: The Fundamental Equation of Dynamics | Physics Class 11 - NEET

Q39: At the moment t = 0 a stationary particle of mass in experiences a time-dependent force F = at (τ — t), where a is a constant vector, τ is the time during which the given force acts. Find:
 (a) the momentum of the particle when the action of the force discontinued;
 (b) the distance covered by the particle while the force acted. 

Irodov Solutions: The Fundamental Equation of Dynamics | Physics Class 11 - NEETView Answer  Irodov Solutions: The Fundamental Equation of Dynamics | Physics Class 11 - NEET

Ans. From the equation o f the g iven time dependence force Irodov Solutions: The Fundamental Equation of Dynamics | Physics Class 11 - NEET  the force vanishes,

(a) Thus  Irodov Solutions: The Fundamental Equation of Dynamics | Physics Class 11 - NEET

or,   Irodov Solutions: The Fundamental Equation of Dynamics | Physics Class 11 - NEETbut   Irodov Solutions: The Fundamental Equation of Dynamics | Physics Class 11 - NEET

(b) Again from the equation   Irodov Solutions: The Fundamental Equation of Dynamics | Physics Class 11 - NEETor,  Irodov Solutions: The Fundamental Equation of Dynamics | Physics Class 11 - NEETIntegrating w ithin the limits for   Irodov Solutions: The Fundamental Equation of Dynamics | Physics Class 11 - NEET

Irodov Solutions: The Fundamental Equation of Dynamics | Physics Class 11 - NEETor,   Irodov Solutions: The Fundamental Equation of Dynamics | Physics Class 11 - NEET

Thus   Irodov Solutions: The Fundamental Equation of Dynamics | Physics Class 11 - NEET

Hence distance covered during the tim e interval t = τ, 

Irodov Solutions: The Fundamental Equation of Dynamics | Physics Class 11 - NEET

Irodov Solutions: The Fundamental Equation of Dynamics | Physics Class 11 - NEET

Q40: At the moment t = 0 a particle of mass m starts moving due to a force F = F0 sin ωt, where F0 and ω are constants. Find the distance covered by the particle as a function of t. Draw the approximate plot of this function. 

Irodov Solutions: The Fundamental Equation of Dynamics | Physics Class 11 - NEETView Answer  Irodov Solutions: The Fundamental Equation of Dynamics | Physics Class 11 - NEET

Ans. We have Irodov Solutions: The Fundamental Equation of Dynamics | Physics Class 11 - NEET

or  Irodov Solutions: The Fundamental Equation of Dynamics | Physics Class 11 - NEET

On integrating,

Irodov Solutions: The Fundamental Equation of Dynamics | Physics Class 11 - NEET

When 

Irodov Solutions: The Fundamental Equation of Dynamics | Physics Class 11 - NEET

Irodov Solutions: The Fundamental Equation of Dynamics | Physics Class 11 - NEET

Thus    Irodov Solutions: The Fundamental Equation of Dynamics | Physics Class 11 - NEET

Irodov Solutions: The Fundamental Equation of Dynamics | Physics Class 11 - NEET

Q41: At the moment t = 0 a particle of mass m starts moving due to a force F = F0 cos ωt, where F0 and ω are constants. How long will it be moving until it stops for the first time? What distance will it traverse during that time? What is the maximum velocity of the particle over this distance?

Irodov Solutions: The Fundamental Equation of Dynamics | Physics Class 11 - NEETView Answer  Irodov Solutions: The Fundamental Equation of Dynamics | Physics Class 11 - NEET

Ans. According to the problem, the force acting on the particle of mass m Irodov Solutions: The Fundamental Equation of Dynamics | Physics Class 11 - NEET cos ω

So,  Irodov Solutions: The Fundamental Equation of Dynamics | Physics Class 11 - NEET

Integrating, within the limits. 

Irodov Solutions: The Fundamental Equation of Dynamics | Physics Class 11 - NEET

It is clear from equation (1), that after starting at t = 0, die particle comes to rest fro the first time at Irodov Solutions: The Fundamental Equation of Dynamics | Physics Class 11 - NEET

From Eqn.  (1),   Irodov Solutions: The Fundamental Equation of Dynamics | Physics Class 11 - NEET    (2)

Thus during the time interval t = π/ω, the sought distance 

Irodov Solutions: The Fundamental Equation of Dynamics | Physics Class 11 - NEET

From Eq. (1)

Irodov Solutions: The Fundamental Equation of Dynamics | Physics Class 11 - NEET

Q42: A motorboat of mass m moves along a lake with velocity v0. At the moment t = 0 the engine of the boat is shut down. Assuming the resistance of water to be proportional to the velocity of the boat F = —rv, find:
 (a) how long the motorboat moved with the shutdown engine;
 (b) the velocity of the motorboat as a function of the distance covered with the shutdown engine, as well as the total distance covered till the complete stop;
 (c) the mean velocity of the motorboat over the time interval (beginning with the moment t = 0), during which its velocity decreases η  times. 

Irodov Solutions: The Fundamental Equation of Dynamics | Physics Class 11 - NEETView Answer  Irodov Solutions: The Fundamental Equation of Dynamics | Physics Class 11 - NEET

Ans. (a) From the problem Irodov Solutions: The Fundamental Equation of Dynamics | Physics Class 11 - NEET

Thus   Irodov Solutions: The Fundamental Equation of Dynamics | Physics Class 11 - NEET

or,  Irodov Solutions: The Fundamental Equation of Dynamics | Physics Class 11 - NEET

On integrating   Irodov Solutions: The Fundamental Equation of Dynamics | Physics Class 11 - NEET

But at  Irodov Solutions: The Fundamental Equation of Dynamics | Physics Class 11 - NEET

or,   Irodov Solutions: The Fundamental Equation of Dynamics | Physics Class 11 - NEET

Thus for   Irodov Solutions: The Fundamental Equation of Dynamics | Physics Class 11 - NEET

(b) We have  Irodov Solutions: The Fundamental Equation of Dynamics | Physics Class 11 - NEET

Integrating within the given limits to obtain v (s):

or,  Irodov Solutions: The Fundamental Equation of Dynamics | Physics Class 11 - NEET

Thus for  Irodov Solutions: The Fundamental Equation of Dynamics | Physics Class 11 - NEET

Irodov Solutions: The Fundamental Equation of Dynamics | Physics Class 11 - NEET

Now, average velocity over this time interval,

Irodov Solutions: The Fundamental Equation of Dynamics | Physics Class 11 - NEET

Q43: Having gone through a plank of thickness h, a bullet changed its velocity from v0 to v. Find the time of motion of the bullet in the plank, assuming the resistance force to be proportional to the square of the velocity.

Irodov Solutions: The Fundamental Equation of Dynamics | Physics Class 11 - NEETView Answer  Irodov Solutions: The Fundamental Equation of Dynamics | Physics Class 11 - NEET

Ans. According to the problem

Irodov Solutions: The Fundamental Equation of Dynamics | Physics Class 11 - NEET

Integrating, withing the limits,

Irodov Solutions: The Fundamental Equation of Dynamics | Physics Class 11 - NEET

To find the valufc of k, rewrite

Irodov Solutions: The Fundamental Equation of Dynamics | Physics Class 11 - NEET

On integrating

Irodov Solutions: The Fundamental Equation of Dynamics | Physics Class 11 - NEET

So,   Irodov Solutions: The Fundamental Equation of Dynamics | Physics Class 11 - NEET   (2)

Putting the value of k from (2) in (1), we get

Irodov Solutions: The Fundamental Equation of Dynamics | Physics Class 11 - NEET

Q44: A small bar starts sliding down an inclined plane forming an angle α with the horizontal. The friction coefficient depends on the distance x covered as k = ax, where a is a constant. Find the distance covered by the bar till it stops, and its maximum velocity over this distance.

Irodov Solutions: The Fundamental Equation of Dynamics | Physics Class 11 - NEETView Answer  Irodov Solutions: The Fundamental Equation of Dynamics | Physics Class 11 - NEET

Ans. From Newton’s second law for the bar in projection from, Fx = m wx along x direction 

we get  Irodov Solutions: The Fundamental Equation of Dynamics | Physics Class 11 - NEET

or,  Irodov Solutions: The Fundamental Equation of Dynamics | Physics Class 11 - NEET


or, Irodov Solutions: The Fundamental Equation of Dynamics | Physics Class 11 - NEET

or,   Irodov Solutions: The Fundamental Equation of Dynamics | Physics Class 11 - NEET

Irodov Solutions: The Fundamental Equation of Dynamics | Physics Class 11 - NEET

Irodov Solutions: The Fundamental Equation of Dynamics | Physics Class 11 - NEET

Irodov Solutions: The Fundamental Equation of Dynamics | Physics Class 11 - NEETAs the motion of the bar is unidirectional it stops after going through a distance of   Irodov Solutions: The Fundamental Equation of Dynamics | Physics Class 11 - NEET

Irodov Solutions: The Fundamental Equation of Dynamics | Physics Class 11 - NEETIrodov Solutions: The Fundamental Equation of Dynamics | Physics Class 11 - NEETHence, the maximum velocity will be at the distance, x = tan α/a Putting this value of x in (1) the maximum velocity,

Irodov Solutions: The Fundamental Equation of Dynamics | Physics Class 11 - NEET

Q45: A body of mass m rests on a horizontal plane with the friction coefficient lc. At the moment t = 0 a horizontal force is applied to it, which varies with time as F = at, where a is a constant vector. Find the distance traversed by the body during the first t seconds after the force action began. 

Irodov Solutions: The Fundamental Equation of Dynamics | Physics Class 11 - NEETView Answer  Irodov Solutions: The Fundamental Equation of Dynamics | Physics Class 11 - NEET

Ans. Since, the applied force is proportional to the time and the frictional force also exists, the motion does not start just after applying the force. The body starts its motion when F equals the limiting friction.

Let the motion start after time t0 , then

Irodov Solutions: The Fundamental Equation of Dynamics | Physics Class 11 - NEET

Irodov Solutions: The Fundamental Equation of Dynamics | Physics Class 11 - NEET the body remains at rest and for t > t0 obviously 

Irodov Solutions: The Fundamental Equation of Dynamics | Physics Class 11 - NEET

Irodov Solutions: The Fundamental Equation of Dynamics | Physics Class 11 - NEET

Q46: A body of mass m is thrown straight up with velocity vo. Find the velocity v' with which the body comes down if the air drag equals kv2, where k is a constant and v is the velocity of the body. 

Irodov Solutions: The Fundamental Equation of Dynamics | Physics Class 11 - NEETView Answer  Irodov Solutions: The Fundamental Equation of Dynamics | Physics Class 11 - NEET

Ans. While going upward, from Newton’s second law in vertical direction :

Irodov Solutions: The Fundamental Equation of Dynamics | Physics Class 11 - NEET

At the maximum height h, the speed v = 0, so

Irodov Solutions: The Fundamental Equation of Dynamics | Physics Class 11 - NEET

Integrating and solving, we get, 

Irodov Solutions: The Fundamental Equation of Dynamics | Physics Class 11 - NEET    (1)

When the body falls downward, the net force acting on the body in downward direction equals Irodov Solutions: The Fundamental Equation of Dynamics | Physics Class 11 - NEET

Hence net acceleration, in downward direction, according to second law of motion

Irodov Solutions: The Fundamental Equation of Dynamics | Physics Class 11 - NEET

Thus,   Irodov Solutions: The Fundamental Equation of Dynamics | Physics Class 11 - NEET

Integrating and putting the value of h from (1), we get, 

Irodov Solutions: The Fundamental Equation of Dynamics | Physics Class 11 - NEET

Q47: A particle of mass m moves in a certain plane P due to a force F whose magnitude is constant and whose vector rotates in that plane with a constant angular velocity ω. Assuming the particle to be stationary at the moment t = 0, find:
 (a) its velocity as a function of time;
 (b) the distance covered by the particle between two successive stops, and the mean velocity over this time. 

Irodov Solutions: The Fundamental Equation of Dynamics | Physics Class 11 - NEET

Irodov Solutions: The Fundamental Equation of Dynamics | Physics Class 11 - NEETView Answer  Irodov Solutions: The Fundamental Equation of Dynamics | Physics Class 11 - NEET

Ans. Let us fix x - y co-ordinate system to the given plane, taking x-axis in the direction along which the force vector was oriented at the moment  t = 0 , then the fundamental equation of dynamics expressed via the projection on x and y-axes gives,

Irodov Solutions: The Fundamental Equation of Dynamics | Physics Class 11 - NEET      (1)and  Irodov Solutions: The Fundamental Equation of Dynamics | Physics Class 11 - NEET    (2)

(a) Using the condition  Irodov Solutions: The Fundamental Equation of Dynamics | Physics Class 11 - NEET   (3)

and  

Irodov Solutions: The Fundamental Equation of Dynamics | Physics Class 11 - NEET    (4)

Hence,  Irodov Solutions: The Fundamental Equation of Dynamics | Physics Class 11 - NEET

(b) It is seen from this that the velocity v turns into zero after the time interval Δt, which can be found from the relation ,

Irodov Solutions: The Fundamental Equation of Dynamics | Physics Class 11 - NEET  Consequently, the sought distance, is

Irodov Solutions: The Fundamental Equation of Dynamics | Physics Class 11 - NEET

Irodov Solutions: The Fundamental Equation of Dynamics | Physics Class 11 - NEET

Irodov Solutions: The Fundamental Equation of Dynamics | Physics Class 11 - NEETIrodov Solutions: The Fundamental Equation of Dynamics | Physics Class 11 - NEET

Q48: A small disc A is placed on an inclined plane forming an angle a with the horizontal (Fig. 1.27) and is imparted an initial velocity v0. Find how the velocity of the disc depends on the angle y if the friction coefficient k = tan α and at the initial moment yo  = = π/2. 

Irodov Solutions: The Fundamental Equation of Dynamics | Physics Class 11 - NEETView Answer  Irodov Solutions: The Fundamental Equation of Dynamics | Physics Class 11 - NEET

Ans. The acceleration of the disc along the plane is determined by the projection of the force of gravity on this plane Fx = mg sin α and the friction force fr = kmg cos α . In our case k = tan α and therefore

Irodov Solutions: The Fundamental Equation of Dynamics | Physics Class 11 - NEET

Let us find the projection of the acceleration on the derection of the tangent to the trajectory and on the x-axis :

Irodov Solutions: The Fundamental Equation of Dynamics | Physics Class 11 - NEET

It is seen fromthis that wt = - wx, which means that the velocity v and its projection vx differ only by a constant value C which does not change with time, i.e.

Irodov Solutions: The Fundamental Equation of Dynamics | Physics Class 11 - NEET

Irodov Solutions: The Fundamental Equation of Dynamics | Physics Class 11 - NEET

where  Irodov Solutions: The Fundamental Equation of Dynamics | Physics Class 11 - NEET . The constant C is found from the initial condition v = v0, whence Irodov Solutions: The Fundamental Equation of Dynamics | Physics Class 11 - NEET initially. Finally we obtain

Irodov Solutions: The Fundamental Equation of Dynamics | Physics Class 11 - NEET

In the cource of time Irodov Solutions: The Fundamental Equation of Dynamics | Physics Class 11 - NEET (Motion then is unaccelerated.)

Q49: A chain of length l is placed on a smooth spherical surface of radius R with one of its ends fixed at the top of the sphere. What will be the acceleration w of each element of the chain when its upper end is released? It is assumed that the length of the chain Irodov Solutions: The Fundamental Equation of Dynamics | Physics Class 11 - NEET

Irodov Solutions: The Fundamental Equation of Dynamics | Physics Class 11 - NEETView Answer  Irodov Solutions: The Fundamental Equation of Dynamics | Physics Class 11 - NEET

Ans. Let us consider an element of length ds at an angle qp from the vertical diameter. As the speed of this element is zero at initial instant of time, it's centripetal acceleration is zero, and hence, Irodov Solutions: The Fundamental Equation of Dynamics | Physics Class 11 - NEET  where λ is the linear mass density o f the chain Let  Irodov Solutions: The Fundamental Equation of Dynamics | Physics Class 11 - NEETbe the tension at the upper and the lower ends of ds. we have from, Irodov Solutions: The Fundamental Equation of Dynamics | Physics Class 11 - NEET

Irodov Solutions: The Fundamental Equation of Dynamics | Physics Class 11 - NEETor,  Irodov Solutions: The Fundamental Equation of Dynamics | Physics Class 11 - NEET

If we sum the above equation for all elements, the term   Irodov Solutions: The Fundamental Equation of Dynamics | Physics Class 11 - NEET because there is no tension at the free ends, so

Irodov Solutions: The Fundamental Equation of Dynamics | Physics Class 11 - NEET

Irodov Solutions: The Fundamental Equation of Dynamics | Physics Class 11 - NEET

Irodov Solutions: The Fundamental Equation of Dynamics | Physics Class 11 - NEET

Q50: A small body is placed on the top of a smooth sphere of radius R. Then the sphere is imparted a constant acceleration w0 in the horizontal direction and the body begins sliding down. Find:
 (a) the velocity of the body relative to the sphere at the moment of break-off;
(b) the angle θ0 between the vertical and the radius vector drawn from the centre of the sphere to the break-off point; calculate θ0 for w0 = g.

Irodov Solutions: The Fundamental Equation of Dynamics | Physics Class 11 - NEETView Answer  Irodov Solutions: The Fundamental Equation of Dynamics | Physics Class 11 - NEET

Ans. In the problem, we require the velocity of the body, relative to the sphere, which itself moves with an acceleration w0 in horizontal direction (say towards left). Hence it is advisible to solve the problem in the frame of sphere (non-inertial frame).
At an arbitary moment, when the body is at an angle θ with the vertical, we sketch the force diagram for the body and write the second law of motion in projection form 

Irodov Solutions: The Fundamental Equation of Dynamics | Physics Class 11 - NEETIrodov Solutions: The Fundamental Equation of Dynamics | Physics Class 11 - NEETIrodov Solutions: The Fundamental Equation of Dynamics | Physics Class 11 - NEETIrodov Solutions: The Fundamental Equation of Dynamics | Physics Class 11 - NEETIrodov Solutions: The Fundamental Equation of Dynamics | Physics Class 11 - NEET   (3)

Note that the Eq. (3) can also be obtained by the work-energy theorem A = ΔT (in the frame of sphere)

therefore, Irodov Solutions: The Fundamental Equation of Dynamics | Physics Class 11 - NEETIrodov Solutions: The Fundamental Equation of Dynamics | Physics Class 11 - NEETor,  Irodov Solutions: The Fundamental Equation of Dynamics | Physics Class 11 - NEETSolving Eqs. (2) and (3) we get,

Irodov Solutions: The Fundamental Equation of Dynamics | Physics Class 11 - NEET

Hence  Irodov Solutions: The Fundamental Equation of Dynamics | Physics Class 11 - NEET

Q51: A particle moves in a plane under the action of a force which is always perpendicular to the particle's velocity and depends on a distance to a certain point on the plane as 1/rn, where n is a constant. At what value of n will the motion of the particle along the circle be steady? 

Irodov Solutions: The Fundamental Equation of Dynamics | Physics Class 11 - NEETView Answer  Irodov Solutions: The Fundamental Equation of Dynamics | Physics Class 11 - NEET

Ans. This is not central force problem unless the path is a circle about the said point. Rather here Ft (tangential force) vanishes. Thus equation of motion becomes,

Irodov Solutions: The Fundamental Equation of Dynamics | Physics Class 11 - NEET

and,  Irodov Solutions: The Fundamental Equation of Dynamics | Physics Class 11 - NEET

We can consider the latter equation as the equilibrium under two forces. When the motion is perturbed, we write r = r0 + x and the net force acting on the particle is,

Irodov Solutions: The Fundamental Equation of Dynamics | Physics Class 11 - NEET

This is opposite to the displacement  Irodov Solutions: The Fundamental Equation of Dynamics | Physics Class 11 - NEET is an outward directed centrifugal force while  Irodov Solutions: The Fundamental Equation of Dynamics | Physics Class 11 - NEETis the inward directed external force).

Q52: A sleeve A can slide freely along a smooth rod bent in the shape of a half-circle of radius R (Fig. 1.28). The system is set in rotation with a constant angular velocity ω about a vertical axis OO'. Find the angle θ corresponding to the steady position of the sleeve. 

Irodov Solutions: The Fundamental Equation of Dynamics | Physics Class 11 - NEETView Answer  Irodov Solutions: The Fundamental Equation of Dynamics | Physics Class 11 - NEET

Ans. There are two forces on the sleeve, the weight F1 and the centrifugal force F2. We resolve both forces into tangential and normal component then the net downward tangential force on the sleeve is,

Irodov Solutions: The Fundamental Equation of Dynamics | Physics Class 11 - NEET

is always positive for small values of 0 and hence the net tangential force near θ = 0  opposes any displacement away from it. θ = 0 is then stable.

Irodov Solutions: The Fundamental Equation of Dynamics | Physics Class 11 - NEET

Irodov Solutions: The Fundamental Equation of Dynamics | Physics Class 11 - NEET

However Irodov Solutions: The Fundamental Equation of Dynamics | Physics Class 11 - NEET is stable because the force tends to bring the sleeve near the equilibrium position Irodov Solutions: The Fundamental Equation of Dynamics | Physics Class 11 - NEET

If ω2R = g, the two positions coincide and becomes a stable equilibrium point.

Q53: A rifle was aimed at the vertical line on the target located precisely in the northern direction, and then fired. Assuming the air drag to be negligible, find how much off the line, and in what direction, will the bullet hit the target. The shot was fired in the horizontal direction at the latitude φ = 60°, the bullet velocity v = 900 m/s, and the distance from the target equals s = 1.0 km. 

Irodov Solutions: The Fundamental Equation of Dynamics | Physics Class 11 - NEETView Answer  Irodov Solutions: The Fundamental Equation of Dynamics | Physics Class 11 - NEET

Ans. Define the axes as shown with z along the local vertical, x due east and y due north. (We assume we are in the northern hemisphere). Then the Coriolis force has the components.

Irodov Solutions: The Fundamental Equation of Dynamics | Physics Class 11 - NEET

Irodov Solutions: The Fundamental Equation of Dynamics | Physics Class 11 - NEETIrodov Solutions: The Fundamental Equation of Dynamics | Physics Class 11 - NEET

Irodov Solutions: The Fundamental Equation of Dynamics | Physics Class 11 - NEET

Irodov Solutions: The Fundamental Equation of Dynamics | Physics Class 11 - NEET

Irodov Solutions: The Fundamental Equation of Dynamics | Physics Class 11 - NEET

Q54: A horizontal disc rotates with a constant angular velocity ω = 6.0 rad/s about a vertical axis passing through its centre. A small body of mass m = 0.50 kg moves along a diameter of the disc with a velocity v' = 50 cm/s which is constant relative to the disc. Find the force that the disc exerts on the body at the moment when it is located at the distance r = 30 cm from the rotation axis. 

Irodov Solutions: The Fundamental Equation of Dynamics | Physics Class 11 - NEETView Answer  Irodov Solutions: The Fundamental Equation of Dynamics | Physics Class 11 - NEET

Ans. The disc exerts three forces which are mutually perpendicular. They are the reaction of the weight, mgy vertically upward, the Coriolis force 2mv' ω perpendicular to the plane of the vertical and along the diameter, and mω2r outward along the diameter. The resultant force is,

  Irodov Solutions: The Fundamental Equation of Dynamics | Physics Class 11 - NEET

Q55: A horizontal smooth rod AB rotates with a constant angular velocity ω = 2.00 rad/s about a vertical axis passing through its end A. A freely sliding sleeve of mass m = 0.50 kg moves along the rod from the point A with the initial velocity v0  = 1.00 m/s. Find the Coriolis force acting on the sleeve (in the reference frame fixed to the rotating rod) at the moment when the sleeve is located at the distance r = 50 cm from the rotation axis. 

Irodov Solutions: The Fundamental Equation of Dynamics | Physics Class 11 - NEET

Irodov Solutions: The Fundamental Equation of Dynamics | Physics Class 11 - NEETView Answer  Irodov Solutions: The Fundamental Equation of Dynamics | Physics Class 11 - NEET

Ans. The sleeve is free to slide along the rod AB. Thus only the centrifugal force acts on it.

The equation is,

Irodov Solutions: The Fundamental Equation of Dynamics | Physics Class 11 - NEET

so,  Irodov Solutions: The Fundamental Equation of Dynamics | Physics Class 11 - NEETor,  Irodov Solutions: The Fundamental Equation of Dynamics | Physics Class 11 - NEET

v0 being the initial velocity when r = 0. The Coriolis force is then,

Irodov Solutions: The Fundamental Equation of Dynamics | Physics Class 11 - NEET

Q56: A horizontal disc of radius R rotates with a constant angular velocity ω about a stationary vertical axis passing through its edge. Along the circumference of the disc a particle of mass m moves with a velocity that is constant relative to the disc. At the moment when the particle is at the maximum distance from the rotation axis, the resultant of the inertial forces Fin acting on the particle in the reference frame fixed to the disc turns into zero. Find:
 (a) the acceleration ω' of the particle relative to the disc;
(b) the dependence of Fin  on the distance from the rotation axis. 

Irodov Solutions: The Fundamental Equation of Dynamics | Physics Class 11 - NEETView Answer  Irodov Solutions: The Fundamental Equation of Dynamics | Physics Class 11 - NEET

Ans. The disc OBAC is rotating with angular velocity ω about the axis OO' passing through the edge point O. The equation of motion in rotating frame is,

Irodov Solutions: The Fundamental Equation of Dynamics | Physics Class 11 - NEET

where  Irodov Solutions: The Fundamental Equation of Dynamics | Physics Class 11 - NEET is the resultant inertial force. (pseudo force) which is the vector sum of centrifugal and Coriolis forces.

Irodov Solutions: The Fundamental Equation of Dynamics | Physics Class 11 - NEET

Irodov Solutions: The Fundamental Equation of Dynamics | Physics Class 11 - NEET

where  Irodov Solutions: The Fundamental Equation of Dynamics | Physics Class 11 - NEET the inward drawn unit vector to the centre from the point in question, here A.

Thus,  Irodov Solutions: The Fundamental Equation of Dynamics | Physics Class 11 - NEET

so,  Irodov Solutions: The Fundamental Equation of Dynamics | Physics Class 11 - NEET

(b) At B  Irodov Solutions: The Fundamental Equation of Dynamics | Physics Class 11 - NEET

its magnitude is  Irodov Solutions: The Fundamental Equation of Dynamics | Physics Class 11 - NEET

Q57: A small body of mass m = 0.30 kg starts sliding down from the top of a smooth sphere of radius R = 1.00 m. The sphere rotates with a constant angular velocity ω = 6.0 rad/s about a vertical axis passing through its centre. Find the centrifugal force of inertia and the Coriolis force at the moment when the body breaks off the surface of the sphere in the reference frame fixed to the sphere.

Irodov Solutions: The Fundamental Equation of Dynamics | Physics Class 11 - NEETView Answer  Irodov Solutions: The Fundamental Equation of Dynamics | Physics Class 11 - NEET

Ans. The equation of motion in the rotating coordinate system is,

Irodov Solutions: The Fundamental Equation of Dynamics | Physics Class 11 - NEETIrodov Solutions: The Fundamental Equation of Dynamics | Physics Class 11 - NEETIrodov Solutions: The Fundamental Equation of Dynamics | Physics Class 11 - NEET

Thus the equation of motion are,

Irodov Solutions: The Fundamental Equation of Dynamics | Physics Class 11 - NEETIrodov Solutions: The Fundamental Equation of Dynamics | Physics Class 11 - NEETIrodov Solutions: The Fundamental Equation of Dynamics | Physics Class 11 - NEETIrodov Solutions: The Fundamental Equation of Dynamics | Physics Class 11 - NEET

Irodov Solutions: The Fundamental Equation of Dynamics | Physics Class 11 - NEET

A result that is easy to understand by considering the motion in non-rotating frame. The eliminating φ we get,

Irodov Solutions: The Fundamental Equation of Dynamics | Physics Class 11 - NEET

Integrating the last equation

Irodov Solutions: The Fundamental Equation of Dynamics | Physics Class 11 - NEET

Hence

Irodov Solutions: The Fundamental Equation of Dynamics | Physics Class 11 - NEET

So the body must fly off for  Irodov Solutions: The Fundamental Equation of Dynamics | Physics Class 11 - NEET exactly as if the sphere were nonrotating.

Now, at this point  Irodov Solutions: The Fundamental Equation of Dynamics | Physics Class 11 - NEET

Irodov Solutions: The Fundamental Equation of Dynamics | Physics Class 11 - NEET

Q58: A train of mass m = 2000 tons moves in the latitude φ = 60° North. Find:
(a) the magnitude and direction of the lateral force that the train exerts on the rails if it moves along a meridian with a velocity v = 54 km per hour;
(b) in what direction and with what velocity the train should move for the resultant of the inertial forces acting on the train in the reference frame fixed to the Earth to be equal to zero.

Irodov Solutions: The Fundamental Equation of Dynamics | Physics Class 11 - NEETView Answer  Irodov Solutions: The Fundamental Equation of Dynamics | Physics Class 11 - NEET

Ans. (a) When the train is moving along a meridian only the Coriolis force has a lateral component and its magnitude (see the previous problem) is,

Irodov Solutions: The Fundamental Equation of Dynamics | Physics Class 11 - NEET

So,  Irodov Solutions: The Fundamental Equation of Dynamics | Physics Class 11 - NEET

= 3.77 kN, (we write λ for the latitude)

(b) The resultant of the inertial forces acting on the train is,

Irodov Solutions: The Fundamental Equation of Dynamics | Physics Class 11 - NEET

Irodov Solutions: The Fundamental Equation of Dynamics | Physics Class 11 - NEET

Irodov Solutions: The Fundamental Equation of Dynamics | Physics Class 11 - NEET

Thus  Irodov Solutions: The Fundamental Equation of Dynamics | Physics Class 11 - NEET

(We write λ for the latitude here)

Thus the train must move from the east to west along the 60th parallel with a speed,

Irodov Solutions: The Fundamental Equation of Dynamics | Physics Class 11 - NEET

Q59: At the equator a stationary (relative to the Earth) body falls down from the height h = 500 m. Assuming the air drag to be negligible, find how much off the vertical, and in what direction, the body will deviate when it hits the ground. 

Irodov Solutions: The Fundamental Equation of Dynamics | Physics Class 11 - NEETView Answer  Irodov Solutions: The Fundamental Equation of Dynamics | Physics Class 11 - NEET

Ans. We go to the equation given in 1.111. Here vy = 0 so we can take y = 0, thus we get for the motion in the Irodov Solutions: The Fundamental Equation of Dynamics | Physics Class 11 - NEET .

Irodov Solutions: The Fundamental Equation of Dynamics | Physics Class 11 - NEET

and    Irodov Solutions: The Fundamental Equation of Dynamics | Physics Class 11 - NEET

Integrating,   Irodov Solutions: The Fundamental Equation of Dynamics | Physics Class 11 - NEET

Irodov Solutions: The Fundamental Equation of Dynamics | Physics Class 11 - NEET

So Irodov Solutions: The Fundamental Equation of Dynamics | Physics Class 11 - NEET

    Irodov Solutions: The Fundamental Equation of Dynamics | Physics Class 11 - NEET

There is thus a displacement to the east of

Irodov Solutions: The Fundamental Equation of Dynamics | Physics Class 11 - NEET

The document Irodov Solutions: The Fundamental Equation of Dynamics | Physics Class 11 - NEET is a part of the NEET Course Physics Class 11.
All you need of NEET at this link: NEET
96 videos|367 docs|98 tests

FAQs on Irodov Solutions: The Fundamental Equation of Dynamics - Physics Class 11 - NEET

1. What is the fundamental equation of dynamics?
Ans. The fundamental equation of dynamics is Newton's second law of motion, which states that the force acting on an object is equal to the mass of that object multiplied by its acceleration (F = ma). This equation is crucial for understanding how forces affect the motion of objects.
2. How can I apply the fundamental equation of dynamics in problem-solving?
Ans. To apply the fundamental equation of dynamics in problem-solving, first identify the forces acting on the object in question. Then, use F = ma to calculate the acceleration by rearranging the equation if needed. Ensure to account for the mass of the object and the net force acting on it, which may include friction, gravity, and applied forces.
3. What are the units used in the fundamental equation of dynamics?
Ans. In the fundamental equation of dynamics, the force (F) is measured in Newtons (N), mass (m) is measured in kilograms (kg), and acceleration (a) is measured in meters per second squared (m/s²). This consistency in units is essential for accurate calculations.
4. Can the fundamental equation of dynamics be applied to rotational motion?
Ans. Yes, the fundamental equation of dynamics can be applied to rotational motion by using its angular equivalent, which is τ = Iα, where τ is the torque, I is the moment of inertia, and α is the angular acceleration. This helps analyze the dynamics of rotating objects similarly to how linear dynamics is analyzed.
5. What common mistakes should I avoid when using the fundamental equation of dynamics?
Ans. Common mistakes to avoid include neglecting to consider all forces acting on an object, incorrectly calculating the net force, misapplying the equation by not using the correct mass, and confusing acceleration with velocity. Always double-check your calculations and ensure that you are using the correct units throughout the problem.
Related Searches

pdf

,

Exam

,

MCQs

,

Summary

,

Free

,

Previous Year Questions with Solutions

,

past year papers

,

Objective type Questions

,

Viva Questions

,

Sample Paper

,

Semester Notes

,

ppt

,

practice quizzes

,

Important questions

,

video lectures

,

study material

,

Irodov Solutions: The Fundamental Equation of Dynamics | Physics Class 11 - NEET

,

Extra Questions

,

shortcuts and tricks

,

Irodov Solutions: The Fundamental Equation of Dynamics | Physics Class 11 - NEET

,

mock tests for examination

,

Irodov Solutions: The Fundamental Equation of Dynamics | Physics Class 11 - NEET

;