Mechanical Engineering Exam  >  Mechanical Engineering Notes  >  Heat Transfer  >  Forced Convective Heat Transfer - 3

Forced Convective Heat Transfer - 3 | Heat Transfer - Mechanical Engineering PDF Download

Illustration 4.1
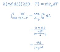
Pressurized air is to be heated by flowing into a pipe of 2.54 cm diameter. The air at 200oC and 2 atm pressure enters in the pipe at 10 m/s. The temperature of the entire pipe is maintained at 220oC. Evaluate the heat transfer coefficient for a unit length of a tube considering the constant heat flux conditions are maintained at the pipe wall. What will be the bulk temperature of the air at the end of 3 m length of the tube?

The following data for the entering air (at 200oC) has been given,

Forced Convective Heat Transfer - 3 | Heat Transfer - Mechanical Engineering

Solution 4.1

Reynolds number can be calculated from the above data,

Forced Convective Heat Transfer - 3 | Heat Transfer - Mechanical Engineering

The value of Reynolds number shows that the flow is in turbulent zone. Thus the Dittus-Boelter equation (eq.4.3) should be used,

Forced Convective Heat Transfer - 3 | Heat Transfer - Mechanical Engineering

Thus h can be calculated for the known values of k, and d, which comes out to be

Forced Convective Heat Transfer - 3 | Heat Transfer - Mechanical Engineering

Energy balance is required to evaluate the increase in bulk temperature in a 3 m length of the tube,

Forced Convective Heat Transfer - 3 | Heat Transfer - Mechanical Engineering

Forced Convective Heat Transfer - 3 | Heat Transfer - Mechanical Engineering

Therefore the temperature of the air leaving the pipe will be at 210.81oC.

4.3.2 Laminar flow
Hausen presents the following empirical relations for fully developed laminar flow in tubes at constant wall temperature.

Forced Convective Heat Transfer - 3 | Heat Transfer - Mechanical Engineering            (4.8)

The heat transfer coefficient calculated from eq. 4.8 is the average value over the entire length (including entrance length) of tube Forced Convective Heat Transfer - 3 | Heat Transfer - Mechanical Engineering .
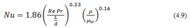
Sieder and Tate suggested a simple relation for laminar heat transfer in tubes.

Forced Convective Heat Transfer - 3 | Heat Transfer - Mechanical Engineering

The condition for applicability of eq. 4.9:

Forced Convective Heat Transfer - 3 | Heat Transfer - Mechanical Engineering

where, μ is the viscosity of the fluid at the bulk temperature and μw is that at the wall temperature Tw . The other fluid properties are at mean bulk temperature of the fluid. Here also the heat transfer coefficient calculated from eq. 4.9 is the average value over the entire length (including entrance length) of tube Forced Convective Heat Transfer - 3 | Heat Transfer - Mechanical Engineering .

The empirical relations shown in eq. 4.2-4.9 are for smooth pipe. However, it case of rough pipes, it is sometimes appropriate that the Reynolds analogy between fluid friction and heat transfer be used to effect a solution under these conditions and can be expressed in terms of Stanton number.

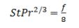
In order to account the variation of the thermal properties of different fluids the following equations may be used (i.e. Stanton number multiplied by Forced Convective Heat Transfer - 3 | Heat Transfer - Mechanical Engineering),

Forced Convective Heat Transfer - 3 | Heat Transfer - Mechanical Engineering(4.10)

Forced Convective Heat Transfer - 3 | Heat Transfer - Mechanical Engineering(4.11)

where, Forced Convective Heat Transfer - 3 | Heat Transfer - Mechanical Engineering   is the mean free velocity. The friction factor can be evaluated from Moody’s chart.

4.3.3 Flow through non-circular ducts
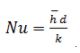
The same co-relations as discussed in section 4.4.1 can be used for the non-circular ducts. However, the diameter of the tube has to be replaced by the hydraulic diameter or equivalent diameter for the non-circular ducts. The hydraulic diameter is defined as

Forced Convective Heat Transfer - 3 | Heat Transfer - Mechanical Engineering

Where rh is hydraulic radius.

4.3.4. Flow over a flat plate
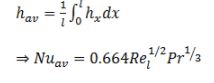
Heat transfer in flow over a plate occurs through the boundary layer formed on the plane. Therefore at any location the heat transfer coefficient will depend on the local Reynolds and Prandtl number. For local heat transfer coefficient in laminar boundary layer flow, the following correlation can be used to find the local Nusselt number. It depends upon the distance from the leading edge (x) of the plate.

Forced Convective Heat Transfer - 3 | Heat Transfer - Mechanical Engineering (4.13)

where,Forced Convective Heat Transfer - 3 | Heat Transfer - Mechanical Engineering  and  are the local Nusselt and Reynold numbers, respectively.
An average value of the heat transfer coefficient over a distance l may be obtained by,

Forced Convective Heat Transfer - 3 | Heat Transfer - Mechanical Engineering               (4.14)

Forced Convective Heat Transfer - 3 | Heat Transfer - Mechanical Engineering

The document Forced Convective Heat Transfer - 3 | Heat Transfer - Mechanical Engineering is a part of the Mechanical Engineering Course Heat Transfer.
All you need of Mechanical Engineering at this link: Mechanical Engineering
55 videos|100 docs|86 tests

FAQs on Forced Convective Heat Transfer - 3 - Heat Transfer - Mechanical Engineering

1. What is forced convective heat transfer?
Ans. Forced convective heat transfer refers to the process of transferring heat from one fluid to another due to the motion or flow of the fluid. In this process, the fluid is forced to move by an external means, such as a pump or a fan, which enhances the heat transfer rate. This mechanism is commonly used in various industrial processes and heat exchangers.
2. What factors affect forced convective heat transfer?
Ans. Several factors influence forced convective heat transfer. These include the fluid properties (such as viscosity and thermal conductivity), the velocity and flow rate of the fluid, the temperature difference between the fluid and the surface, the surface area and geometry of the heat transfer surface, and the presence of any obstructions or roughness on the surface. Understanding these factors is crucial for designing efficient heat transfer systems.
3. How is forced convective heat transfer calculated?
Ans. Forced convective heat transfer can be calculated using various empirical correlations or equations. One commonly used equation is the Dittus-Boelter equation for turbulent flow, which relates the heat transfer coefficient to the fluid properties, flow conditions, and geometry of the heat transfer surface. Other equations, such as the Nusselt number correlation, can be used for different flow regimes and geometries. These equations help engineers determine the heat transfer rate in a given system.
4. What are some applications of forced convective heat transfer in chemical engineering?
Ans. Forced convective heat transfer is extensively applied in chemical engineering processes. Some common applications include heat exchangers, cooling towers, distillation columns, reactors, and drying processes. For example, in a heat exchanger, one fluid passes through tubes while another fluid passes over the tubes, allowing efficient heat transfer between the fluids. Understanding forced convective heat transfer is crucial for optimizing these processes.
5. How can forced convective heat transfer be enhanced?
Ans. There are several methods to enhance forced convective heat transfer. Some common techniques include increasing the flow rate or velocity of the fluid, using turbulence promoters such as fins or baffles, employing heat transfer enhancers like extended surfaces or porous media, and improving the heat transfer surface's geometry. Additionally, increasing the temperature difference between the fluid and the surface can also enhance the heat transfer. These techniques aim to maximize the heat transfer rate and improve the overall efficiency of the system.
Related Searches

Objective type Questions

,

Forced Convective Heat Transfer - 3 | Heat Transfer - Mechanical Engineering

,

Exam

,

video lectures

,

Semester Notes

,

past year papers

,

mock tests for examination

,

Forced Convective Heat Transfer - 3 | Heat Transfer - Mechanical Engineering

,

practice quizzes

,

MCQs

,

Sample Paper

,

Extra Questions

,

Previous Year Questions with Solutions

,

ppt

,

Viva Questions

,

Important questions

,

pdf

,

Forced Convective Heat Transfer - 3 | Heat Transfer - Mechanical Engineering

,

Summary

,

study material

,

Free

,

shortcuts and tricks

;