Class 10 Exam  >  Class 10 Notes  >  Mathematics (Maths) Class 10  >  Previous Year Questions: Introduction to Trigonometry

Class 10 Maths Chapter 8 Previous Year Questions - Introduction to Trigonometry

Previous Year Questions 2025

Q1: If tan A+ cot A= 6, then find the value of tan2A + cot2 A - 4. 

Class 10 Maths Chapter 8 Previous Year Questions - Introduction to TrigonometryView Answer  Class 10 Maths Chapter 8 Previous Year Questions - Introduction to Trigonometry

Ans: We have, tanA + cotA = 6 
On squaring both sides, we get (tanA + cotA)2 = 36 
⇒ tan2A + cot2A + 2 tanA cotA = 36 
Since tan A cot A = 1
⇒ tan2A + cot2A + 2 = 36
⇒ tan 2A + cot 2A = 36 - 2 = 34 Class 10 Maths Chapter 8 Previous Year Questions - Introduction to Trigonometry
∴ tan2A + cot2A - 4 = 34 - 4 = 30

Q2:  If tan 3θ = √3, then θ/2 equals 
(a) 60° 
(b) 30° 
(c) 20° 
(d) 10°

Class 10 Maths Chapter 8 Previous Year Questions - Introduction to TrigonometryView Answer  Class 10 Maths Chapter 8 Previous Year Questions - Introduction to Trigonometry

Ans: (d) 
We have, tan3θ = √3 
⇒ tan3θ = tan 60° 
Class 10 Maths Chapter 8 Previous Year Questions - Introduction to Trigonometry

Q3: If sin 4θ = √3/2, then θ/3 equals:
(a) 60° 
(b) 20° 
(c) 15° 
(d) 5° 

Class 10 Maths Chapter 8 Previous Year Questions - Introduction to TrigonometryView Answer  Class 10 Maths Chapter 8 Previous Year Questions - Introduction to Trigonometry

Ans: (d) 
Given, sin 4θ = √3/2 = sin 60°.
⇒ 4θ = 60°
⇒ θ = 15°.
Class 10 Maths Chapter 8 Previous Year Questions - Introduction to Trigonometry

Q4: If α + β = 90° and α = 2β, then cos2α + sin2β is equal to: 
(a) 0 
(b) 1/2
(c) 1 
(d) 2 

Class 10 Maths Chapter 8 Previous Year Questions - Introduction to TrigonometryView Answer  Class 10 Maths Chapter 8 Previous Year Questions - Introduction to Trigonometry

Ans: (b) 
α + β = 90° and α = 2β     ...(i) 
∴ 2β + β = 90° ⇒ 3β = 90° ⇒ β = 30° 
∴ α = 2 × 30° = 60° [From (i)] 
∴ cos²α + sin²β = cos²60° + sin²30°
Class 10 Maths Chapter 8 Previous Year Questions - Introduction to Trigonometry

Q5: Class 10 Maths Chapter 8 Previous Year Questions - Introduction to Trigonometry then x : y =
(a) 1 : 1 
(b) 1 : 2
(c) 2 : 1 
(d) 4: 1

Class 10 Maths Chapter 8 Previous Year Questions - Introduction to TrigonometryView Answer  Class 10 Maths Chapter 8 Previous Year Questions - Introduction to Trigonometry

Ans: (c) 
Class 10 Maths Chapter 8 Previous Year Questions - Introduction to Trigonometry
Class 10 Maths Chapter 8 Previous Year Questions - Introduction to Trigonometry

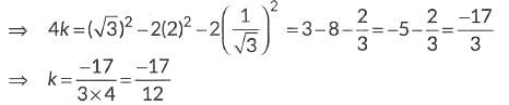
Q6: If 4k = tan260° - 2cosec2 30° - 2tan2 30°, then find the value of k. 

Class 10 Maths Chapter 8 Previous Year Questions - Introduction to TrigonometryView Answer  Class 10 Maths Chapter 8 Previous Year Questions - Introduction to Trigonometry

Ans: Given, 4k = tan260° - 2 cosec230° - 2 tan230° 
Class 10 Maths Chapter 8 Previous Year Questions - Introduction to Trigonometry

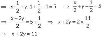
Q7: If x cos60° + ycos0° + sin30° - cot45° = 5, then find the value of x + 2y. 

Class 10 Maths Chapter 8 Previous Year Questions - Introduction to TrigonometryView Answer  Class 10 Maths Chapter 8 Previous Year Questions - Introduction to Trigonometry

Ans: We have, x cos60° + y cos0° + sin30° - cot45° = 5 
Class 10 Maths Chapter 8 Previous Year Questions - Introduction to Trigonometry

Q8: Class 10 Maths Chapter 8 Previous Year Questions - Introduction to Trigonometry

Q9: Class 10 Maths Chapter 8 Previous Year Questions - Introduction to Trigonometry
(a) cot θ
(b) Class 10 Maths Chapter 8 Previous Year Questions - Introduction to Trigonometry
(c) Class 10 Maths Chapter 8 Previous Year Questions - Introduction to Trigonometry
(d) tan θ

Class 10 Maths Chapter 8 Previous Year Questions - Introduction to TrigonometryView Answer  Class 10 Maths Chapter 8 Previous Year Questions - Introduction to Trigonometry

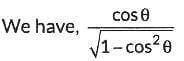
Ans: (a) 
We have, Class 10 Maths Chapter 8 Previous Year Questions - Introduction to Trigonometry
Class 10 Maths Chapter 8 Previous Year Questions - Introduction to Trigonometry [∵ 1 - cos2θ = sin2θ]

Q10:  The value of (tan A cosec A)2 - (sin A sec A)2 is: 
(a) 0 
(b) 1 
(c) -1 
(d) 2

Class 10 Maths Chapter 8 Previous Year Questions - Introduction to TrigonometryView Answer  Class 10 Maths Chapter 8 Previous Year Questions - Introduction to Trigonometry

Ans: (b) 
We have, 
(tan A · cosec A)2 - (sin A . sec A)2  
Using identities:
tan A = sin A / cos A,
cosec A = 1 / sin A,
sec A = 1 / cos A.
sec² A - tan² A = 1
Class 10 Maths Chapter 8 Previous Year Questions - Introduction to Trigonometry

Q11: (cotθ + tanθ) equals: 
(a) cosecθ secθ 
(b) sinθ secθ
(c) cosθ tanθ 
(d) sinθ cosθ

Class 10 Maths Chapter 8 Previous Year Questions - Introduction to TrigonometryView Answer  Class 10 Maths Chapter 8 Previous Year Questions - Introduction to Trigonometry

Ans: (a)
We have, cotθ + tanθ 
cot θ = cos θ / sin θ,
tan θ = sin θ / cos θ.
Class 10 Maths Chapter 8 Previous Year Questions - Introduction to Trigonometry

Q12:  The value of Class 10 Maths Chapter 8 Previous Year Questions - Introduction to Trigonometry
(a) 1
(b) 0
(c) -1
(d) 2

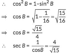
Q13: In a right triangle ABC, right-angled at A, if sin B = 1/4 then the value of sec B is 
(a) 4
(b) √15/4
(c) √15
(d) 4/√15

Class 10 Maths Chapter 8 Previous Year Questions - Introduction to TrigonometryView Answer  Class 10 Maths Chapter 8 Previous Year Questions - Introduction to Trigonometry

Ans: (d) 
Given, sin B = 1/4
Class 10 Maths Chapter 8 Previous Year Questions - Introduction to Trigonometry

Q14: If a secθ + b tan θ = m and b sec θ + a tan θ = n, prove that a2 + n2 = b2 + m2   

Class 10 Maths Chapter 8 Previous Year Questions - Introduction to TrigonometryView Answer  Class 10 Maths Chapter 8 Previous Year Questions - Introduction to Trigonometry

Ans: 
We have, a sec θ + b tan θ = m
and b sec θ + a tan θ = n
Taking, m² - n²
= (a sec θ + b tan θ)² - (b sec θ + a tan θ)²
= a²sec²θ + b²tan²θ + 2ab tan θ sec θ - b²sec²θ - a²tan²θ - 2ab tan θ sec θ
= a²(sec²θ - tan²θ) + b²(tan²θ - sec²θ)
= a² × 1 + b² × (-1)
= a² - b²
∴ m² - n² = a² - b²
⇒  a² + n² = b² + m²
Hence, proved.

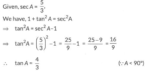
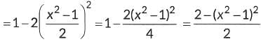
Q15: Use the identity: sin2A + cos2A = 1 to prove that tan2A + 1 = sec2A. Hence, find the value of tan A, where sec A = 5/3, where A is an acute angle.

Class 10 Maths Chapter 8 Previous Year Questions - Introduction to TrigonometryView Answer  Class 10 Maths Chapter 8 Previous Year Questions - Introduction to Trigonometry

Ans: 
To prove: tan2A + 1 = sec2
Taking L.H.S., tan2 A+ 1 
Class 10 Maths Chapter 8 Previous Year Questions - Introduction to Trigonometry
∴ L.H.S = R.H.S
Class 10 Maths Chapter 8 Previous Year Questions - Introduction to Trigonometry

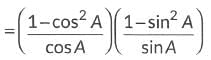
Q16: Prove that: Class 10 Maths Chapter 8 Previous Year Questions - Introduction to Trigonometry

Q17: Prove that: Class 10 Maths Chapter 8 Previous Year Questions - Introduction to Trigonometry

Q18: Prove that: Class 10 Maths Chapter 8 Previous Year Questions - Introduction to Trigonometry

Q19: Class 10 Maths Chapter 8 Previous Year Questions - Introduction to Trigonometry

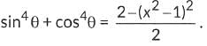
Q20: Given that sin 8 + cos 8 = x, prove that Class 10 Maths Chapter 8 Previous Year Questions - Introduction to Trigonometry

Class 10 Maths Chapter 8 Previous Year Questions - Introduction to TrigonometryView Answer  Class 10 Maths Chapter 8 Previous Year Questions - Introduction to Trigonometry

Ans: sin θ + cos θ = x ...(i) 
Squaring both sides in equation (i), 
sin² θ + cos² θ + 2sin θ cos θ = x² 
2sin θ cos θ = x² - 1 ...(ii) 
[∵ sin² θ + cos² θ = 1] 
Also, sin² θ + cos² θ = (sin θ + cos θ)² - 2sin θ cos θ
Class 10 Maths Chapter 8 Previous Year Questions - Introduction to Trigonometry

Q21: Prove that: Class 10 Maths Chapter 8 Previous Year Questions - Introduction to Trigonometry

Previous Year Questions 2024

Q1: If sin α = √3/2, cos β = √3/2 then tan α. tan β is:    (1 Mark) (CBSE 2024)
(a) √3
(b) 1/√3
(c) 1
(d) 0

Class 10 Maths Chapter 8 Previous Year Questions - Introduction to TrigonometryView Answer  Class 10 Maths Chapter 8 Previous Year Questions - Introduction to Trigonometry

Ans: (c)
sin α = √3/2, ⇒ sin α  = sin 60º
⇒ α = 60º
∵ cos β = √3/2, 
⇒ cos β = cos 30º 
⇒ β = 30º 
tan α. tan β = tan 60º. tan 30º
= √3 x 13

= 1

Q2: Evaluate: 5 tan 60°(sin² 60° + cos² 60°) tan 30°        (3 Marks) (CBSE 2024)

Class 10 Maths Chapter 8 Previous Year Questions - Introduction to TrigonometryView Answer  Class 10 Maths Chapter 8 Previous Year Questions - Introduction to Trigonometry

Ans:

5 tan 60°(sin² 60° + cos² 60°) tan 30° = 5 × 31 × 13

= 5 × 3 × 3

= 5 × 3

= 15

Q3: Prove that: (cosec θ – sin θ) (sec θ – cos θ) (tan θ + cot θ) = 1     (3 Marks) (CBSE 2024)

Class 10 Maths Chapter 8 Previous Year Questions - Introduction to TrigonometryView Answer  Class 10 Maths Chapter 8 Previous Year Questions - Introduction to Trigonometry

Ans:
L.H.S. = (cosec θ – sin θ) (sec θ – cos θ) (tan θ + cot θ)
= (cosec θ – sin θ) (sec θ – cos θ) (tan θ + cot θ)
Since, cosec θ = 1/sin θ, sec θ =  1/cos θ, tan θ = sin θ/cos θ, cot θ = cos θ/sin θ
= (1/sin θ – sin θ) (1/cos θ – cos θ) (sin θ/cos θ + cos θ/sin θ)

= 1 - sin2θsin θ × 1 - cos2θcos θ × sin2θ + cos2θsin θ . cos θ

= cos2θ × sin2θsin θ × cos θ × 1sin θ . cos θ

= sin θ . cos θ1 × 1sin θ . cos θ    [ : sin2θ + cos2θ = 1 ]

= 1 = R.H.S.
Hence, proved.

Previous Year Questions 2023

Q1: If 2 tan A = 3, then find the value of 4 sin A + 5 cos A6 sin A + 2 cos A  is   (3 Marks)(2023)

Class 10 Maths Chapter 8 Previous Year Questions - Introduction to TrigonometryView Answer  Class 10 Maths Chapter 8 Previous Year Questions - Introduction to Trigonometry

Ans:
Class 10 Maths Chapter 8 Previous Year Questions - Introduction to Trigonometry

Given:

2 tan A = 3 ⇒ tan A = 3/2

Using sin2 A + cos2 A = 1, let:

sin A = 3/√13, cos A = 2/√13

Substituting in the given expression:

4 sin A + 5 cos A6 sin A + 2 cos A

= 4 × 3/√13 + 5 × 2/√136 × 3/√13 + 2 × 2/√13

= 12/√13 + 10/√1318/√13 + 4/√13

= 22/√1322/√13

= 1

Q2: 5/8 sec260° - tan260° + cos245° is equal to    (1 Mark) (2023)
(a) 5/3
(b) -1/2
(c) 0
(d) -1/4

Class 10 Maths Chapter 8 Previous Year Questions - Introduction to TrigonometryView Answer  Class 10 Maths Chapter 8 Previous Year Questions - Introduction to Trigonometry

Ans: (c)
Sol:
5× (2)2 - (√3)2 + (1√2)2 = 5/8 × 4 - 3 + 12 = 0
 

Q3: Evaluate 2 sec2θ + 3 cosec2θ - 2 sin θ cos θ if θ = 45°      (2 Marks) (CBSE 2023)

Class 10 Maths Chapter 8 Previous Year Questions - Introduction to TrigonometryView Answer  Class 10 Maths Chapter 8 Previous Year Questions - Introduction to Trigonometry

Ans: Since θ = 45°, sec 45° = √2, cosec 45° = √2, sin 45° = 1/√2 cos 45° = 1/√2
2sec2 θ + 3 cosec2 θ – 2 sin θ cos θ
= 2 (√2)2 + 3 (√2)2 - 2 (1√2) × (1√2)

= 2 × 2 + 3 × 2 - 2 × 12

= 4 + 6 - 1

= 9

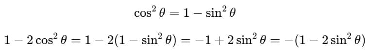
Q4: Which of the following is true for all values of θ(0o ≤ θ ≤ 90o)? (1 Mark) (2023)
(a) 
cos2θ - sin2θ - 1
(b) 
cosec2θ - sec2θ- 1
(c) 
sec2θ - tan2θ - 1
(d) 
cot2θ- tan2θ = 1

Class 10 Maths Chapter 8 Previous Year Questions - Introduction to TrigonometryView Answer  Class 10 Maths Chapter 8 Previous Year Questions - Introduction to Trigonometry

Ans: (c)

Option (a): cos²θ - sin²θ - 1
Using the identity: cos²θ - sin²θ = cos 2θ, we get cos²θ - sin²θ - 1 = cos 2θ - 1, which is not always true. So, this option is incorrect.

Option (b): cosec²θ - sec²θ - 1
Using the identities cosec²θ = 1 + cot²θ and sec²θ = 1 + tan²θ, 
we get cosec²θ - sec²θ - 1 = (1 + cot²θ) - (1 + tan²θ) - 1 = cot²θ - tan²θ - 1, which is not always zero. So, this option is incorrect.

Option (c): sec²θ - tan²θ - 1
Using the identity sec²θ = 1 + tan²θ, 
we get sec²θ - tan²θ - 1 = (1 + tan²θ) - tan²θ - 1 = 0, which is always true. 
So, this option is correct.

Option (d): cot²θ - tan²θ = 1
Using the identity cot²θ = 1/tan²θ, we get cot²θ - tan²θ = (1/tan²θ) - tan²θ, which is not always equal to 1. So, this option is incorrect.

Q5: If sinθ +cosθ = √3. then find the value of sinθ. cosθ.   (3 Marks) (2023)

Class 10 Maths Chapter 8 Previous Year Questions - Introduction to TrigonometryView Answer  Class 10 Maths Chapter 8 Previous Year Questions - Introduction to Trigonometry

Ans: Given, sinθ +cosθ = √3
Squaring both sides, we get (sinθ + cosθ)2 = (√3)2
⇒ sin2θ + cos2θ + 2sinθ cosθ = 3 ( ∵ sin2θ + cos2θ = 1)
⇒ 1 + 2sinθ cosθ = 3 
⇒ 2sinθ cosθ = 3 - 1  
⇒ 2sinθ cosθ = 2
⇒  sinθ cosθ = 1

Q6: If sin α = 1/√2 and cot β = √3, then find the value of cosec α + cosec β.   (3 Marks) (2023)

Class 10 Maths Chapter 8 Previous Year Questions - Introduction to TrigonometryView Answer  Class 10 Maths Chapter 8 Previous Year Questions - Introduction to Trigonometry

Ans: Given, sin α = 1/√2 and cot β = √3
We know that, cosec α = 1/sinα = √2
Also, 1 + cot2β = cosec2β
⇒ cosec2β = 4
⇒ cosec β = √4 = 2 
Now, cosec α + cosec β = √2 + 2

Q7: Prove that the Following Identities: Sec A (1 + Sin A) ( Sec A - tan A) = 1   (3 Marks) (2023)

Class 10 Maths Chapter 8 Previous Year Questions - Introduction to TrigonometryView Answer  Class 10 Maths Chapter 8 Previous Year Questions - Introduction to Trigonometry

Ans: LHS = sec A(1 + sin A )( sec A - tan A)

= 1cos A (1 + sin A) 1cos A - sin Acos A

= 1cos A (1 + sin A) (1 - sin Acos A)

= 1 - sin² Acos² A = cos² Acos² A

= 1

= RHS

Hence proved..

Q8: (secθ – 1) (cosec2 θ – 1) is equal to: (1 Mark) (CBSE 2023)
(a) –1 
(b) 1 
(c) 0 
(d) 2 

Class 10 Maths Chapter 8 Previous Year Questions - Introduction to TrigonometryView Answer  Class 10 Maths Chapter 8 Previous Year Questions - Introduction to Trigonometry

Ans: (b)

(sec²θ - 1) (cosec²θ - 1) = tan²θ . cot²θ

tan²θtan²θ       [ ∵ sec²θ - 1 = tan²θ & cosec²θ - 1 = cot²θ ]

= 1

Q9: If sin θ – cos θ =  0,  then find the value of sin4 θ + cos4 θ.     (2 Marks) (CBSE 2023)

Class 10 Maths Chapter 8 Previous Year Questions - Introduction to TrigonometryView Answer  Class 10 Maths Chapter 8 Previous Year Questions - Introduction to Trigonometry

Ans: Given, 
sin θ – cos θ = 0 
sin θ = cos θ 
tan θ = 1 
tan θ = tan 45° 
⇒ θ = 45° 
Now, sin4 θ + cos4 θ = sin45° + cos45°

= (1√2)4 + (1√2)4

= 14 + 14 = 12

Q10: Prove that sin A - 2 sin3 A2 cos3 A - cos A = tan A  (4 & 5 Marks) (CBSE 2023)

Class 10 Maths Chapter 8 Previous Year Questions - Introduction to TrigonometryView Answer  Class 10 Maths Chapter 8 Previous Year Questions - Introduction to Trigonometry

Ans:

LHS = sin A - 2 sin3 A2 cos3 A - cos A

= sin A (1 - 2 sin² A)cos A (2 cos² A - 1)

= sin A (1 - 2 (1 - cos² A)cos A (2 cos² A - 1)

= tan A 1 - 2 + 2 cos² A2 cos² A - 1

= tan A 2 cos² A - 12 cos² A - 1

= tan A

= RHS

Previous Year Questions 2022

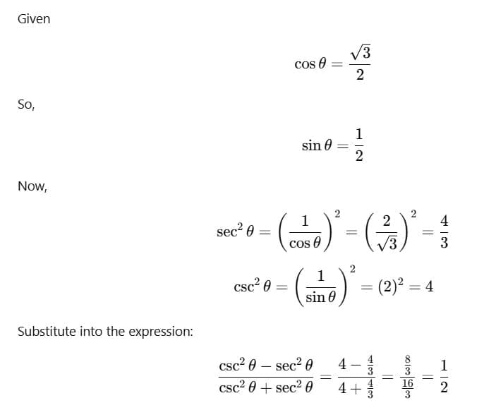
Q1: Given that cos θ = √3/2, then the value of  cosec2θ - sec2θcosec2θ + sec2θ3 is  (2022) 
(a) -1
(b) 1
(c) 1/2
(d) -1/2

Class 10 Maths Chapter 8 Previous Year Questions - Introduction to TrigonometryView Answer  Class 10 Maths Chapter 8 Previous Year Questions - Introduction to Trigonometry

Ans: (c)
Sol:
Given, cosθ = √3/2  = B/H
Class 10 Maths Chapter 8 Previous Year Questions - Introduction to Trigonometry
Let B = √3k and H = 2k

∴ P = √((2k)2 - (√3k)2) [By Pythagoras Theorem]

⇒ k2 = k

∴ cosec θ = H / p = 2k / k = 2

sec θ = H / B = 2k / √3k = 2 / √3

cosec2θ - sec2θ = (2)2 - (2 / √3)24 - 4/3

= 4 - 43 = 83

cosec2θ + sec2θ = (2)2 + (2 / √3)24 + 4/3

= 4 + 43 = 163

Q2: 1cosec θ (1 - cot θ)1sec θ (1 - tan θ) is equal to   (2022)
(a) 0
(b) 1
(c) sinθ + cosθ
(d) sinθ - cosθ

Class 10 Maths Chapter 8 Previous Year Questions - Introduction to TrigonometryView Answer  Class 10 Maths Chapter 8 Previous Year Questions - Introduction to Trigonometry

Ans: (c)
Sol: We have,

1cosec θ (1 - cot θ) + 1sec θ (1 - tan θ)

= sin θcos θ / 1 - cos θsin θ + 1 - sin θ1 - cos θ

= 1cosec θ = sin θcos θ, 1sec θ

= sin2 θcos2 θ = sin2 θ - cos2 θsin θ - cos θ

= sin θ + cos θ

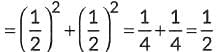
Q3: The value of θ for which 2 sin2θ = 1, is   (2022)
(a) 15° 
(b) 30°
(c) 45° 
(d) 60°

Class 10 Maths Chapter 8 Previous Year Questions - Introduction to TrigonometryView Answer  Class 10 Maths Chapter 8 Previous Year Questions - Introduction to Trigonometry

Ans: (a)
Sol: Given, 2 sin2θ = 1 ⇒ sin2θ = 1/2
⇒ 2θ = 30°
⇒ θ = 15°

Q4: If sin2θ + sinθ = 1, then find the value of cos2θ + cos4θ is   (2022)
(a) -1
(b) 1
(c) 0
(d) 2

Class 10 Maths Chapter 8 Previous Year Questions - Introduction to TrigonometryView Answer  Class 10 Maths Chapter 8 Previous Year Questions - Introduction to Trigonometry

Ans: (b)
Sol: Given, sin2θ + sinθ = 1 ---(i)
sinθ = 1 - sin2θ
⇒ sinθ = cos2θ ---(ii)
∴ cos2θ + cos4θ
= sinθ + sin2θ [From (ii)]
= 1        [From (i)]

Previous Year Questions 2021

Q1: If 3 sin A = 1. then find the value of sec A.    (2021 C)

Class 10 Maths Chapter 8 Previous Year Questions - Introduction to TrigonometryView Answer  Class 10 Maths Chapter 8 Previous Year Questions - Introduction to Trigonometry

Ans: We have, 3 sin A = 1
∴ sin A = 1/3
Now by using cosA = 1 - sin2 A, we get

cos2 A = 1 - 19 = 89
⇒ cos A = 2√23

∴ sec A = 1cos A = 12√2 / 3 = 3√24

Q2: Show that: 1 + cot2θ1 + tan2θ = cot2θ    (2021 C)

Class 10 Maths Chapter 8 Previous Year Questions - Introduction to TrigonometryView Answer  Class 10 Maths Chapter 8 Previous Year Questions - Introduction to Trigonometry

Ans: We have, L.H.S.
1 + cot2θ1 + tan2θ = cosec2θsec2θ
[By using 1 + tan2θ = sec2θ and 1 + cot2 θ = cosec2θ ]
⇒ 1sin2θ = cos2θsin2θ = cot2θ
Hence,
1 + cot2θ1 + tan2θ = cot2θ 

Previous Year Questions 2020

Q1: If sin θ = cos θ, then the value of tan2 θ + cot2 θ is (2020)
(a) 2
(b) 4
(c) 1
(d) 10/3

Class 10 Maths Chapter 8 Previous Year Questions - Introduction to TrigonometryView Answer  Class 10 Maths Chapter 8 Previous Year Questions - Introduction to Trigonometry

Ans: (a)
Sol: We have, sin θ = cos θ
or sin θ / cos θ = 1
⇒ tan θ = 1 and cot θ = 1     [∵ cot θ = 1/tanθ]
∴ tanθ + cotθ = 1 + 1 = 2
Hence, A option is correct.

Q2: Given 15 cot A = 8, then find the values of sin A and sec A.    (2020)

Class 10 Maths Chapter 8 Previous Year Questions - Introduction to TrigonometryView Answer  Class 10 Maths Chapter 8 Previous Year Questions - Introduction to Trigonometry

Ans: In right angle ΔABC we have
15 cot A = 8
⇒ cot A = 8/15
Class 10 Maths Chapter 8 Previous Year Questions - Introduction to Trigonometry
Since, cot A = AB/BC
∴ AB/BC = 8/15
Let AB = 8k and BC = 15k
By using Pythagoras theorem, we get
AC= AB2 + BC2
⇒ (8k)2 + (15)2 = 64k2 + 225k2 = 289k2 = (17k)

⇒ AC = √((17k)2) = 17k

∴ sin A = BCAC = 15k17k = 1517

and cos A = ABAC = 8k17k = 817

So, sec A = 1cos A = 178

Q3: Write the value of sin2 30° + cos2 60°.     (2020)

Class 10 Maths Chapter 8 Previous Year Questions - Introduction to TrigonometryView Answer  Class 10 Maths Chapter 8 Previous Year Questions - Introduction to Trigonometry

Ans:  We have, sin2 30° + cos2 60°
Class 10 Maths Chapter 8 Previous Year Questions - Introduction to Trigonometry

Q4: The distance between the points (a cos θ + b sin θ, 0) and (0, a sin θ − b cos θ) is      (2020)
(a) a+ b2
(b) a + b
(c) Class 10 Maths Chapter 8 Previous Year Questions - Introduction to Trigonometry
(d) Class 10 Maths Chapter 8 Previous Year Questions - Introduction to Trigonometry

Class 10 Maths Chapter 8 Previous Year Questions - Introduction to TrigonometryView Answer  Class 10 Maths Chapter 8 Previous Year Questions - Introduction to Trigonometry

Ans: (c)
Sol: Given the point A (cos θ + b sin θ , 0), (0 , a sin θ − b cos θ)
By distance formula,

The distance of

AB = (x2 - x1)² + (y2 - y1

So,

AB = (a cos θ + b sin θ - 0)² + (0 - a sin θ + b cos θ)²

= a²(sin²θ + cos²θ) + b²(sin²θ + cos²θ)

But according to the trigonometric identity,

sin²θ + cos²θ = 1

Therefore,

AB = a² + b²

Q5: 5 tan2θ - 5 sec2θ = ____________.    (2020)

Class 10 Maths Chapter 8 Previous Year Questions - Introduction to TrigonometryView Answer  Class 10 Maths Chapter 8 Previous Year Questions - Introduction to Trigonometry

Ans: We have 5(tan2θ - sec2θ)
= 5(-1) = - 5 [By using 1 + tan2θ = sec2 θ ⇒ tan2θ - sec2θ = - 1]

Q6: If sinθ + cosθ = √3. then prove that tan θ + cot θ = 1    (2020)

Class 10 Maths Chapter 8 Previous Year Questions - Introduction to TrigonometryView Answer  Class 10 Maths Chapter 8 Previous Year Questions - Introduction to Trigonometry

Ans: sin θ + cos θ =√3
= (sinθ + cosθ)= (√3)2
= sin2 θ + cos2 θ + 2sin θ cos θ = 3        (Since,sin2θ + cos2θ = 1)
= 1 + 2sin θ cos θ = 3  
⇒ 2sin θ cos θ = 2
⇒ sin θ cos θ = 1
⇒ sin θ cos θ = sin2θ + cos2θ
⇒ 1 = sin2θ + cos2θsin θ cos θ
⇒ tan θ + cot θ = 1

Q7: If x = a sinθ and y = b cosθ, write the value of (b2x2 + a2y2). (CBSE 2020)

Class 10 Maths Chapter 8 Previous Year Questions - Introduction to TrigonometryView Answer  Class 10 Maths Chapter 8 Previous Year Questions - Introduction to Trigonometry

Ans: Given, x = a sin θ and y = b cos θ 
Putting the values of x and y in  (b2x2 + a2y2)
We get, 
= b2(a sin θ)+ a2(b cos θ)2
= a2b2 [sin2 θ + cos2 θ]   [Also, sin2θ + cos2θ = 1]
= a2b2 [1]  
= a2b2

Q8: Prove that: 2 (sin6 θ + cos6 θ) – 3 (sin4 θ + cos4 θ) + 1 = 0. (CBSE 2020)

Class 10 Maths Chapter 8 Previous Year Questions - Introduction to TrigonometryView Answer  Class 10 Maths Chapter 8 Previous Year Questions - Introduction to Trigonometry

Ans: We know that, 
sin2 θ + cos2 θ = 1 
So, (sin2 θ + cos2 θ) 2 = 1
⇒ sin4 θ + cosθ + 2sin2 θ cos2 θ = 1 
i.e., sin4 θ + cos4 θ = 1 – 2 sin2 θ cos2 θ …(i) 
Also, (sin2 θ + cos2 θ) 3 = 13
⇒ sin6 θ + cos6 θ + 3 sin2 θ cos2 θ (sin2 θ + cos2 θ) = 1 
⇒ sin6 θ+ cos6 θ+ 3sin2 θ cos2 θ (1) = 1 
i.e., sin6 θ + cos6 θ = 1 – 3 sin2 θ cos2 θ …(ii) 
Now, 
LHS = 2(sin6 θ + cos6 θ) – 3(sin4 θ + cos4 θ) + 1 
= 2(1 – 3 sin2 θ cos2 θ) – 3(1 – 2 sin2 θ cos2 θ) + 1 
= 2 – 3 + 1 
= 0 
Hence, proved.

Q9: Prove that: (sin4 θ – cos4 θ + 1) cosec2 θ = 2.  [CBSE 2020].

Class 10 Maths Chapter 8 Previous Year Questions - Introduction to TrigonometryView Answer  Class 10 Maths Chapter 8 Previous Year Questions - Introduction to Trigonometry

Ans: L.H.S. = (sin4 θ – cos4 θ + 1) cosec2 θ 
= [(sin2 θ + cos2 θ) (sin2 θ – cos2 θ) + 1] cosec2 θ
[(1) (sin2 θ – cos2 θ) + 1] cosecθ         as [ sin2 θ + cos2 θ = 1] 
= [sin2 θ + (1 – cos2 θ)] cosec2 θ 
= (sinθ + sin2 θ) cosec2θ
= (2 sin2 θ) cosec2 θ
= Class 10 Maths Chapter 8 Previous Year Questions - Introduction to Trigonometry

= 2 × 1
= 2 = R.H.S.
Hence, proved.

Previous Year Questions 2019

Q1: If sin x + cos y = 1, x = 30° and y is an acute angle, find the value of y.    (2019)

Class 10 Maths Chapter 8 Previous Year Questions - Introduction to TrigonometryView Answer  Class 10 Maths Chapter 8 Previous Year Questions - Introduction to Trigonometry

Ans: Given,
⇒ sin x + cos y = 1
⇒ sin 30° + cos y = 1
⇒ 1/2 + cos y = 1
⇒ cos y = 1 - 1/2
⇒ cos y = 1/2
⇒ cos y = cos 60°.
Hence, y = 60°.

Q2: If cosec2 θ (cos θ - 1)(1 + cos θ) = k, then what is the value of k?   (2019)

Class 10 Maths Chapter 8 Previous Year Questions - Introduction to TrigonometryView Answer  Class 10 Maths Chapter 8 Previous Year Questions - Introduction to Trigonometry

Ans:  Given:
cosec2 θ (cos θ - 1)(1 + cos θ) = k
Concept used:
Cosec α = 1/Sin α
Sin2 α + Cos2 α = 1
(a + b)(a - b) = a2 - b2
Calculation:
cosec2 θ (cos θ - 1)(1 + cos θ) = k
⇒ cosec2 θ (1 - cos θ)(1 + cos θ) = - k
⇒ cosec2 θ (1 - cos2 θ) = -k      [Also, sin2 θ + cos2 θ = 1]
⇒ cosec2 θ × sin2 θ = -k
⇒ 1 = -k
⇒ k = -1
∴ The value of k is (-1).

Q3: The value of ( 1 + cot A − cosec A ) ( 1 + tan A + sec A ) is

Class 10 Maths Chapter 8 Previous Year Questions - Introduction to TrigonometryView Answer  Class 10 Maths Chapter 8 Previous Year Questions - Introduction to Trigonometry

Ans: 

(1 + cos Asin A - 1sin A ) (1 + sin Acos A + 1cos A )

= sin A + cos A - 1sin A × cos A + sin A + 1cos A

= (sin A + cos A)2 - 1sin A . cos A

= sin2A + cos2A + 2 sin A . cos A - 1sin A . cos A

= sin2A + cos2A - 1 + 2 sin A . cos Asin A . cos A

= 2

Previous Year Questions 2013

Q1: If sec θ + tan θ + 1 = 0, then sec θ – tan θ is: 
(a) –1 
(b) 1 
(c) 0 
(d) 2  (CBSE 2013)

Class 10 Maths Chapter 8 Previous Year Questions - Introduction to TrigonometryView Answer  Class 10 Maths Chapter 8 Previous Year Questions - Introduction to Trigonometry

Ans: (a)

sec θ + tan θ + 1 = 0

⇒ sec θ + tan θ = -1

Multiplying and dividing LHS by sec θ - tan θ, we get

⇒ (sec θ + tan θ) × sec θ - tan θsec θ - tan θ = -1

sec² θ - tan² θsec θ - tan θ = -1

1 + tan² θ - tan² θsec θ - tan θ = -1 (∵ sec² θ = 1 + tan² θ)

1sec θ - tan θ = -1

⇒ sec θ - tan θ = -1

Hence, the correct option is (a).

The document Class 10 Maths Chapter 8 Previous Year Questions - Introduction to Trigonometry is a part of the Class 10 Course Mathematics (Maths) Class 10.
All you need of Class 10 at this link: Class 10
127 videos|584 docs|79 tests

FAQs on Class 10 Maths Chapter 8 Previous Year Questions - Introduction to Trigonometry

1. What are the basic trigonometric ratios?
Ans. The basic trigonometric ratios are sine (sin), cosine (cos), and tangent (tan). These ratios are defined for a right triangle as follows: - Sine of an angle is the ratio of the length of the opposite side to the length of the hypotenuse (sin θ = opposite/hypotenuse). - Cosine of an angle is the ratio of the length of the adjacent side to the length of the hypotenuse (cos θ = adjacent/hypotenuse). - Tangent of an angle is the ratio of the length of the opposite side to the length of the adjacent side (tan θ = opposite/adjacent).
2. How can I remember the trigonometric identities?
Ans. One effective way to remember trigonometric identities is through mnemonic devices. For example, the Pythagorean identity can be remembered with the phrase "sin²θ + cos²θ = 1." Additionally, using flashcards to write down each identity and its corresponding proof can help reinforce memory through repetition. Practicing problems that involve these identities also aids retention.
3. What is the unit circle, and why is it important in trigonometry?
Ans. The unit circle is a circle with a radius of one centered at the origin of a coordinate plane. It is important in trigonometry because it provides a visual representation of the sine, cosine, and tangent functions. The x-coordinate of a point on the unit circle corresponds to the cosine of the angle, while the y-coordinate corresponds to the sine. This relationship helps in understanding the periodic nature of trigonometric functions.
4. What are some real-world applications of trigonometry?
Ans. Trigonometry has numerous real-world applications, including in fields such as architecture, engineering, physics, and astronomy. For instance, architects use trigonometric principles to calculate structural loads and angles in buildings. Engineers apply trigonometry in designing bridges and roads. In physics, it is used to analyze wave patterns and forces. Astronomers use trigonometric methods to measure distances to stars and planets.
5. How do I solve trigonometric equations?
Ans. To solve trigonometric equations, follow these steps: 1. Isolate the trigonometric function on one side of the equation. 2. Use inverse trigonometric functions if necessary to find the angle. 3. Consider the range of the function to find all possible angles that satisfy the equation. 4. Verify your solutions by substituting them back into the original equation to ensure they are valid.
Related Searches

Objective type Questions

,

MCQs

,

Semester Notes

,

past year papers

,

mock tests for examination

,

Important questions

,

ppt

,

pdf

,

Viva Questions

,

Free

,

video lectures

,

Sample Paper

,

practice quizzes

,

Summary

,

study material

,

Class 10 Maths Chapter 8 Previous Year Questions - Introduction to Trigonometry

,

Previous Year Questions with Solutions

,

shortcuts and tricks

,

Class 10 Maths Chapter 8 Previous Year Questions - Introduction to Trigonometry

,

Extra Questions

,

Class 10 Maths Chapter 8 Previous Year Questions - Introduction to Trigonometry

,

Exam

;