JEE Exam  >  JEE Notes  >  Mathematics (Maths) Main & Advanced  >  Properties of Inverse Trigonometric Functions

Properties of Inverse Trigonometric Functions - (Maths) for JEE Main

There are a few properties of inverse trigonometric functions which are crucial for problem solving and for a deeper conceptual understanding. Inverse trigonometric functions (also called arc-functions) give the angle (or arc length) whose trigonometric ratio has a given value. Each inverse trigonometric function is defined with a specific principal branch (range) so that it is single-valued. The domain of an inverse trigonometric function is the set of input values for which the inverse is defined; the range (or principal value) is the set of output angles returned by the inverse function.

Basic definitions, domains and principal values

Principal branches (ranges) used throughout

  • arcsin x or sin-1x: domain x ∈ [-1,1]; range y ∈ [-π/2, π/2].
  • arccos x or cos-1x: domain x ∈ [-1,1]; range y ∈ [0, π].
  • arctan x or tan-1x: domain x ∈ (-∞, ∞); range y ∈ (-π/2, π/2).
  • arccot x or cot-1x: domain x ∈ (-∞, ∞); range y ∈ (0, π).
  • arcsec x or sec-1x: domain |x| ≥ 1; range y ∈ [0, π], y ≠ π/2.
  • arccosec x or cosec-1x: domain |x| ≥ 1; range y ∈ [-π/2, π/2], y ≠ 0.

Fundamental composition identities

  • sin(sin-1x) = x for -1 ≤ x ≤ 1.
  • cos(cos-1x) = x for -1 ≤ x ≤ 1.
  • tan(tan-1x) = x for all real x.
  • cot(cot-1x) = x for all real x.
  • sec(sec-1x) = x for |x| ≥ 1.
  • cosec(cosec-1x) = x for |x| ≥ 1.
  • sin-1(sin y) = y for y ∈ [-π/2, π/2].
  • cos-1(cos y) = y for y ∈ [0, π].
  • tan-1(tan y) = y for y ∈ (-π/2, π/2).
  • cot-1(cot y) = y for y ∈ (0, π).
  • sec-1(sec y) = y for y ∈ [0, π], y ≠ π/2.
  • cosec-1(cosec y) = y for y ∈ [-π/2, π/2], y ≠ 0.

Important properties of inverse trigonometric functions

Property Set 1 - Reciprocal relations

  • sin-1x = cosec-1(1/x), for x ∈ [-1,1] \ {0} (the right-hand side is defined because |1/x| ≥ 1).
  • cos-1x = sec-1(1/x), for x ∈ [-1,1] \ {0}.
  • tan-1x = cot-1(1/x) when x > 0; when x < 0 a shift by ±π may be required to match principal values (use principal ranges to decide the exact 
  • cot-1x = tan-1(1/x) when x > 0; when x < 0 a shift by ±π may be required to match principal 

Property Set 2 - Odd/even and sign-change relations

  • sin-1(-x) = - sin-1(x) for x ∈ [-1,1].
  • tan-1(-x) = - tan-1(x) for all real x.
  • cos-1(-x) = π - cos-1(x) for x ∈ [-1,1].
  • cosec-1(-x) = - cosec-1(x) for |x| ≥ 1.
  • sec-1(-x) = π - sec-1(x) for |x| ≥ 1.
  • cot-1(-x) = π - cot-1(x) for real x.

Proofs for typical sign-change identities

Proof - sin-1(-x) = - sin-1(x)

Let sin-1(-x) = y, so -x = sin y.

Then x = - sin y = sin(-y).

Therefore sin-1(x) = -y = - sin-1(-x).

Hence sin-1(-x) = - sin-1(x).

  • Similarly, tan-1(-x) = - tan-1(x) and cosec-1(-x) = - cosec-1(x) (within respective domains) follow by the oddness of sine, tangent and cosecant on their principal intervals.

Proof - cos-1(-x) = π - cos-1(x)

Let cos-1(-x) = y, so -x = cos y.

Then x = -cos y = cos(π - y).

Hence cos-1(x) = π - y = π - cos-1(-x).

Rearranging gives cos-1(-x) = π - cos-1(x).

  • Similarly, sec-1(-x) = π - sec-1(x) and cot-1(-x) = π - cot-1(x) follow by corresponding symmetry in principal ranges.

Property Set 3 - Reciprocal input relations

  • sin-1(1/x) = cosec-1x for |x| ≥ 1.
  • cos-1(1/x) = sec-1x for |x| ≥ 1.
  • Relations between tan-1(1/x) and cot-1(x) depend on the sign of x and principal branches; use principal-value conventions when converting.

Proof - sin-1(1/x) = cosec-1x for |x| ≥ 1

Let cosec-1x = y, so x = cosec y.

Then 1/x = sin y.

Hence sin-1(1/x) = y = cosec-1x.

Illustrative examples (reciprocal relations)

  • sin-1(1/3) = cosec-1(3).
  • cos-1(1/4) = sec-1(4).
  • tan-1(-3) relates to cot-1(-1/3) with a π-shift depending on principal values; check ranges before finalising such conversions.

Property Set 4 - Mixed-function arguments

  • sin-1(cos θ) = π/2 - θ if θ ∈ [0, π].
  • cos-1(sin θ) = π/2 - θ if θ ∈ [-π/2, π/2].
  • tan-1(cot θ) = π/2 - θ if θ ∈ (0, π).
  • cot-1(tan θ) = π/2 - θ if θ ∈ (-π/2, π/2).
  • sec-1(cosec θ) = π/2 - θ for θ in appropriate subintervals avoiding singular points.
  • cosec-1(sec θ) = π/2 - θ for θ ∈ [0, π] \ {π/2} (respecting principal values).
  • sin-1x = cos-1[√(1 - x2)] for 0 ≤ x ≤ 1.
  • sin-1x = - cos-1[√(1 - x2)] for -1 ≤ x < 0, with sign chosen to match principal />

Illustrations for Property Set 4

Example 1. Given cos-1(-3/4) = π - sin-1A. Find A.

Solution:

cos-1(-3/4) = π - cos-1(3/4) because cos-1(-x) = π - cos-1(x).

Consider a right triangle (or unit-circle construction) with adjacent side 3 and hypotenuse 4 so that sin of the acute angle is √(1 - (3/4)2) = √7/4.

Therefore A = √7/4.

Illustrations for Property Set 4

Additional short examples and conversions:

  • cos-1(1/4) = sin-1(√15/4).
  • sin-1(-1/2) = - sin-1(1/2) = -π/6, and this equals - cos-1(√3/2) appropriately interpreted in principal ranges.
  • sin2(tan-1(3/4)) = (3/5)2 = 9/25 because tan θ = 3/4 gives sin θ = 3/5.
  • sin-1(sin 2π/3) = π/3 since 2π/3 is not in [-π/2, π/2] and the principal value maps to π/3.

Property Set 5 - Complementary sums

  • sin-1x + cos-1x = π/2 for x ∈ [-1,1].
  • tan-1x + cot-1x = π/2 for all real x (use principal branches).
  • sec-1x + cosec-1x = π/2 for |x| ≥ 1.

Proof - sin-1x + cos-1x = π/2

Let sin-1x = y, so x = sin y.

Then x = cos(π/2 - y).

Hence cos-1x = π/2 - y.

Adding gives sin-1x + cos-1x = y + (π/2 - y) = π/2.

Illustrations

  • sec-1(4) + cosec-1(4) = π/2.
  • tan-1(3) + cot-1(3) = π/2.

Property Set 6 - Addition and subtraction formulas for arctangent

  • tan-1x + tan-1y = tan-1[(x + y)/(1 - xy)] when xy < 1 (adjust by ±π when necessary to get the principal />
  • tan-1x - tan-1y = tan-1[(x - y)/(1 + xy)] when xy > -1 (adjust by ±π as required).
  • 2 tan-1x = tan-1[2x/(1 - x2)] for |x| < 1 (principal-value />

Proof - tan-1x + tan-1y formula

Let tan-1x = α and tan-1y = β, so x = tan α and y = tan β.

Then tan(α + β) = (tan α + tan β)/(1 - tan α tan β) = (x + y)/(1 - xy).

Therefore α + β = tan-1[(x + y)/(1 - xy)] up to addition of kπ; choose k so that α + β lies in principal branch.

Examples using arctangent addition

Evaluation steps are shown without numbered "Step" labels but each algebraic/argument step is on a separate line.

Example. tan-1(-1/2) + tan-1(-1/3).

Compute (-1/2) + (-1/3) = -5/6.

Compute 1 - (-1/2)(-1/3) = 1 - 1/6 = 5/6.

So tan-1(-1/2) + tan-1(-1/3) = tan-1((-5/6)/(5/6)) = tan-1(-1) = -π/4.

Example. tan-1(-2) + tan-1(-3).

Sum numerator = -5 and denominator = 1 - 6 = -5.

So tan-1(-2) + tan-1(-3) = tan-1(1) = π/4 (principal value).

Example (equation). tan-12x + tan-13x = π/4. Find x.

Use tan addition: tan(π/4) = 1 = (2x + 3x)/(1 - 6x2) = 5x/(1 - 6x2).

Therefore 5x = 1 - 6x2.

Rearrange: 6x2 + 5x - 1 = 0.

Solve quadratic: discriminant = 25 + 24 = 49.

Roots: x = (-5 ± 7)/12, i.e. x = 1/6 or x = -1.

Both satisfy the original equation after checking principal-value conditions.

Example. If tan-14 + tan-15 = cot-1(λ), find λ.

Compute tan-14 + tan-15 = tan-1[(4 + 5)/(1 - 20)] = tan-1(9/(-19)) = tan-1(-9/19).

So cot-1(λ) = tan-1(-9/19).

Use relation cot-1(u) = tan-1(1/u) with sign adjustments; here one finds λ = -19/9 by matching principal values.

Examples using arctangent addition
Examples using arctangent addition
Examples using arctangent addition

Property Set 7 - Sum formulas for arcsine and arccosine

  • sin-1x + sin-1y = sin-1[x√(1 - y2) + y√(1 - x2)] provided the right-hand side expression lies in [-1,1] and principal ranges are used.
  • cos-1x + cos-1y = cos-1[xy - √(1 - x2)√(1 - y2)] under appropriate conditions on x,y.

Illustration for sum of arcsines

Example. sin-1(4/5) + sin-1(7/25) = sin-1(A). Find A.

Compute √(1 - (7/25)2) and √(1 - (4/5)2).

Evaluate A = (4/5)√(1 - (7/25)2) + (7/25)√(1 - (4/5)2) = 117/125.

So sin-1(4/5) + sin-1(7/25) = sin-1(117/125).

Example (verification of complementary sum). Prove sin-1(63/65) + sin-1(16/65) = π/2.

Use sin-cos complement: sin-1(63/65) = cos-1(16/65).

Therefore sin-1(63/65) + sin-1(16/65) = cos-1(16/65) + sin-1(16/65) = π/2.

Property Set 8 - Behaviour of f(f(x)) graphs and periodic folding

  • sin-1(sin x) equals x if x ∈ [-π/2, π/2], and takes different folded values outside this interval according to periodicity and principal branch (for example π - x, -π - x, etc.).
  • cos-1(cos x) equals x if x ∈ [0, π], and takes appropriate folded values outside that interval (for example 2π - x in some intervals).
  • tan-1(tan x) equals x for x ∈ (-π/2, π/2) and equals x - π or x + π when x lies outside that principal interval, according to periodic continuation by π.
Property Set 8 - Behaviour of f(f(x)) graphs and periodic folding

Typical evaluations using these rules:

  • sin-1(sin 2π/3) = π/3.
  • cos-1(cos 13π/6) = π/6.
  • sin-1(sin 4) = π - 4 (because 4 ≈ 1.273π lies in [π/2, 3π/2], fold back to principal range).
  • sin-1(sin 6) = 6 - 2π.
  • tan-1(tan 3) = 3 - π (since 3 ∉ (-π/2, π/2)).
Property Set 8 - Behaviour of f(f(x)) graphs and periodic folding
Property Set 8 - Behaviour of f(f(x)) graphs and periodic folding

Property Set 9 - Double-angle connection for arctangent

Relation: 2 tan-1x = sin-1[2x/(1 + x2)] for |x| < 1 (principal branches chosen />

Proof

Let tan-1x = y, so x = tan y.

Then 2 tan-1x = 2y.

Compute 2x/(1 + x2) = (2 tan y)/(1 + tan2y) = sin 2y.

So sin-1[2x/(1 + x2)] = sin-1(sin 2y) = 2y.

Thus 2 tan-1x = sin-1[2x/(1 + x2)].

  • Also 2 tan-1x = cos-1[(1 - x2)/(1 + x2)] for x ≥ 0, with appropriate principal-value interpretation.
  • And 2 tan-1x = tan-1[2x/(1 - x2)] when -1 < x />< 1 (again choosing the correct branch so the equality />
Proof

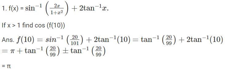
Further illustrative figures and solved diagrams

Further illustrative figures and solved diagrams
Further illustrative figures and solved diagrams

Concluding remarks

When working with inverse trigonometric functions always:

  • Keep principal branches (ranges) in mind; many apparent algebraic equalities require choosing the correct branch and sometimes adding or subtracting π (or multiples) to match principal values.
  • Check domains carefully before applying reciprocal or composition relations (for example, arcsec and arccosec require |x| ≥ 1).
  • Use geometric (triangle or unit-circle) constructions to evaluate or simplify expressions like sin-1 and cos-1 when a ratio is given.
  • When using addition/subtraction formulas for arctangent, always verify the sign/branch of the resulting angle so the principal value is obtained.

This document collects the standard properties, identities and typical illustrative examples required for a clear understanding of inverse trigonometric functions and their use in problem solving. Apply the principal-value conventions consistently to avoid sign or π-shift errors.

The document Properties of Inverse Trigonometric Functions - Mathematics (Maths) for JEE Main & Advanced is a part of the JEE Course Mathematics (Maths) for JEE Main & Advanced.
All you need of JEE at this link: JEE
173 videos|510 docs|154 tests

FAQs on Properties of Inverse Trigonometric Functions - Mathematics (Maths) for JEE Main & Advanced

1. What are the definitions of inverse trigonometric functions?
Ans. Inverse trigonometric functions are the functions that provide the angle corresponding to a particular value of a trigonometric ratio. These functions are denoted as arcsin, arccos, and arctan, which represent the inverses of the sine, cosine, and tangent functions, respectively. They help in determining angles when the ratios of the sides of a right triangle are known.
2. What are the principal values of inverse trigonometric functions?
Ans. The principal values of inverse trigonometric functions are the specific ranges of angles that the functions return. For example, the principal value of arcsin(x) is in the range of [-π/2, π/2], arccos(x) is in the range of [0, π], and arctan(x) is in the range of (-π/2, π/2). These ranges ensure that each function is single-valued and thus can be used effectively in calculations.
3. What are the fundamental composition identities for inverse trigonometric functions?
Ans. The fundamental composition identities for inverse trigonometric functions describe how these functions interact with their corresponding trigonometric functions. For example, sin(arcsin(x)) = x for x in the range [-1, 1]; cos(arccos(x)) = x for x in the range [-1, 1]; and tan(arctan(x)) = x for all x. These identities confirm that applying a trigonometric function to its inverse returns the original input.
4. What are some important properties of inverse trigonometric functions?
Ans. Important properties of inverse trigonometric functions include their odd and even nature. For example, arcsin(-x) = -arcsin(x), which shows that arcsin is an odd function. Similarly, arccos(-x) = π - arccos(x) and arctan(-x) = -arctan(x). These properties are crucial for simplifying expressions and solving equations involving inverse trigonometric functions.
5. How do inverse trigonometric functions apply in real-world scenarios?
Ans. Inverse trigonometric functions are widely used in various fields, such as physics, engineering, and computer graphics. They help in solving problems involving angles in right triangles, determining the direction of forces, and creating graphical representations of functions. Their ability to convert ratios into angles is essential in navigation, architecture, and design, making them a valuable tool in practical applications.
Related Searches
mock tests for examination, Sample Paper, Free, study material, past year papers, Viva Questions, video lectures, ppt, pdf , shortcuts and tricks, Previous Year Questions with Solutions, practice quizzes, Important questions, Properties of Inverse Trigonometric Functions - Mathematics (Maths) for JEE Main & Advanced, Exam, Properties of Inverse Trigonometric Functions - Mathematics (Maths) for JEE Main & Advanced, MCQs, Summary, Properties of Inverse Trigonometric Functions - Mathematics (Maths) for JEE Main & Advanced, Extra Questions, Semester Notes, Objective type Questions;