Physics Exam  >  Physics Notes  >  Mathematical Methods  >  Integral Calculus

Integral Calculus | Mathematical Methods - Physics PDF Download

Line, Surface, and Volume Integrals

(a) Line Integrals
A line integral is an expression of the form
Integral Calculus | Mathematical Methods - Physics 
Integral Calculus | Mathematical Methods - Physics
whereIntegral Calculus | Mathematical Methods - Physicsis a vector function, Integral Calculus | Mathematical Methods - Physics is the infinitesimal displacement vector and the integral is to be carried out along a prescribed path P from point a to point b. If the path in question forms a closed loop (that is, if b = a), put a circle on the integral sign:
Integral Calculus | Mathematical Methods - Physics 
At each point on the path we take the dot product of Integral Calculus | Mathematical Methods - Physics (evaluated at that point) with the displacement Integral Calculus | Mathematical Methods - Physics to the next point on the path. The most familiar example of a line integral is the work done by a forceIntegral Calculus | Mathematical Methods - Physics
Integral Calculus | Mathematical Methods - Physics
Ordinarily, the value of a line integral depends critically on the particular path taken from a to b, but there is an important special class of vector functions for which the line integral is independent of the path, and is determined entirely by the end points(A force that has this property is called conservative.)

Example 14: Calculate the line integral of the function Integral Calculus | Mathematical Methods - Physicsfrom the point a = (1, 1, 0) to the point b = (2, 2, 0), along the paths (1) and (2) as shown in figure. What is Integral Calculus | Mathematical Methods - Physics for the loop that goes from a to b along (1) and returns to a along (2)?

Integral Calculus | Mathematical Methods - Physics
Since Integral Calculus | Mathematical Methods - PhysicsPath (1) consists of two parts. Along the “horizontal” segment dy = dz = 0, so
(i) Integral Calculus | Mathematical Methods - Physics
On the “vertical” stretch dx = dz = 0, so
(ii)Integral Calculus | Mathematical Methods - Physics
By path (1), then,
Integral Calculus | Mathematical Methods - Physics
Meanwhile, on path (2) x = y,  dx = dy, and dz = 0, so
Integral Calculus | Mathematical Methods - Physics
so
Integral Calculus | Mathematical Methods - Physics
For the loop that goes out (1) and back (2), then,
Integral Calculus | Mathematical Methods - Physics


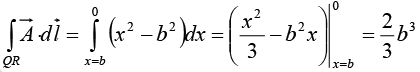
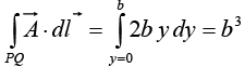
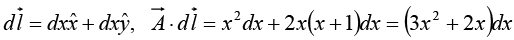
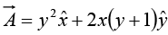
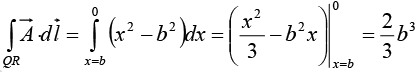
Example 15: Find the line integral of the vector Integral Calculus | Mathematical Methods - Physics around a square of side ‘b’ which has a corner at the origin, one side on the x axis and the other side on the y axis.
Integral Calculus | Mathematical Methods - Physics

In a Cartesian coordinate systeIntegral Calculus | Mathematical Methods - Physics
Integral Calculus | Mathematical Methods - Physics
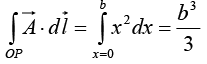
Along OP, y = 0, dy = 0 ⇒Integral Calculus | Mathematical Methods - Physics 
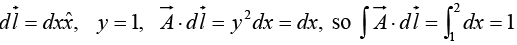
Along PQ , x = b,  dx = 0 ⇒ Integral Calculus | Mathematical Methods - Physics
Along QR, y = b, dy = 0 ⇒ Integral Calculus | Mathematical Methods - Physics
Along RO, x = 0,  dx = 0 ⇒ Integral Calculus | Mathematical Methods - Physics
Integral Calculus | Mathematical Methods - Physics


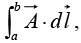
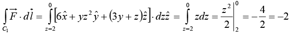
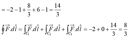
Example 16: Compute the line integralIntegral Calculus | Mathematical Methods - Physicsalong the triangular path shown in the figure.
Integral Calculus | Mathematical Methods - Physics

Line IntegralIntegral Calculus | Mathematical Methods - Physics
On path C1,  x = 0,  y = 0, Integral Calculus | Mathematical Methods - Physics
Integral Calculus | Mathematical Methods - Physics
On path C2, x = 0,  z = 0, Integral Calculus | Mathematical Methods - Physics
On path C3 the slope of line is -2 and intercept on z axis is 2 ⇒  z = -2y + 2 = 2 1 (1 - y) and the connecting points are (0, 1, 0) and (0, 0, 2)
On C3,  x=0, dx = 0 Integral Calculus | Mathematical Methods - Physics
Integral Calculus | Mathematical Methods - Physics
Integral Calculus | Mathematical Methods - Physics


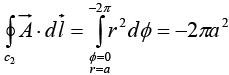
Example 17: Given Integral Calculus | Mathematical Methods - Physicsin cylindrical coordinates. Find Integral Calculus | Mathematical Methods - Physics where c1 and c2 are contours shown in the figure.
Integral Calculus | Mathematical Methods - Physics

In cylindrical coordinate systemIntegral Calculus | Mathematical Methods - Physics
Integral Calculus | Mathematical Methods - Physics
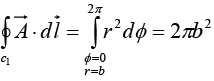
In figure on curve c1,Ф varies from 0 to 2π, r = b and dr = 0
Integral Calculus | Mathematical Methods - Physics
On curve c2 , r = a,Ф varies from 0 to - 2π , and dr = 0 ⇒ Integral Calculus | Mathematical Methods - Physics
So, Integral Calculus | Mathematical Methods - Physics

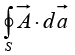
(b) Surface Integrals
Integral Calculus | Mathematical Methods - Physics
A surface integral is an expression of the form
Integral Calculus | Mathematical Methods - Physics
where Integral Calculus | Mathematical Methods - Physics is again some vector function, and Integral Calculus | Mathematical Methods - Physics is an infinitesimal patch of area, with direction perpendicular to the surface(as shown in figure). There are, of course, two directions perpendicular to any surface, so the sign of a surface integral is intrinsically ambiguous. If the surface is closed then “outward” is positive, but for open surfaces it’s arbitrary.  If Integral Calculus | Mathematical Methods - Physics describes the flow of a fluid (mass per unit area per unit time), then Integral Calculus | Mathematical Methods - Physics arepresents the total mass per unit time passing through the surface-hence the alternative name, “flux.”
Ordinarily, the value of a surface integral depends on the particular surface chosen, but there is a special class of vector functions for which it is independent of the surface, and is determined entirely by the boundary line.

Example 18: Calculate the surface integral of A Integral Calculus | Mathematical Methods - Physics over five sides (excluding the bottom) of the cubical box (side 2) as shown in figure. Let “upward and outward” be the positive direction, as indicated by the arrows.

Taking the sides one at a time:
Integral Calculus | Mathematical Methods - Physics 
(i) Integral Calculus | Mathematical Methods - Physics
(ii)Integral Calculus | Mathematical Methods - Physics
(iii) Integral Calculus | Mathematical Methods - Physics
(iv) Integral Calculus | Mathematical Methods - Physics

(v)Integral Calculus | Mathematical Methods - Physics
Evidently the total flux is
Integral Calculus | Mathematical Methods - Physics 


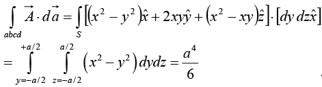
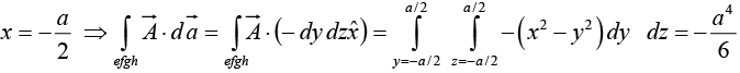
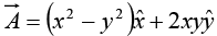
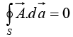
Example 19:  Given a vector Integral Calculus | Mathematical Methods - Physics Evaluate Integral Calculus | Mathematical Methods - Physics  over the surface of the cube with the centre at the origin and length of side ‘a’.

The surface integral is performed on all faces. The differential surface on the different faces are Integral Calculus | Mathematical Methods - PhysicsFace abcd, Integral Calculus | Mathematical Methods - Physics
Integral Calculus | Mathematical Methods - PhysicsIntegral Calculus | Mathematical Methods - Physics
Face efgh, Integral Calculus | Mathematical Methods - Physics
Face cdfe, Integral Calculus | Mathematical Methods - Physics
Face aghb,Integral Calculus | Mathematical Methods - Physics
Similarly for the other two faces adfg and bceh we can find the surface integral withIntegral Calculus | Mathematical Methods - Physicsrespectively. The addition of these two surface integrals will be zero.
In the present case sum of all the surface integral
Integral Calculus | Mathematical Methods - Physics


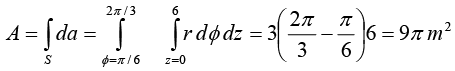
Example 20: Use the cylindrical coordinate system to find the area of a curved surface on the right circular cylinder having radius = 3 m and height = 6 m and 30º << 120º.

From figure, surface area is required for a cylinder when r = 3m, z = 0 to 6m,
Integral Calculus | Mathematical Methods - Physics
Integral Calculus | Mathematical Methods - Physics
In cylindrical coordinate system, the elemental surface area as scalar isIntegral Calculus | Mathematical Methods - Physics
Taking the magnitude only
Integral Calculus | Mathematical Methods - Physics


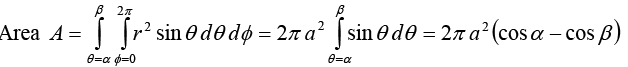
Example 21: Use spherical coordinate system to find the area of the strip Integral Calculus | Mathematical Methods - Physics on the spherical shell of radius ‘a’. Calculate the area when α = 0 and β = π.
Integral Calculus | Mathematical Methods - Physics

Sphere has radius ‘a’ and θ varies between α and β.
For fixed radius the elemental surface is  da = (rsinθ d∅)(rdθ) = r2 sinθdθd∅
Integral Calculus | Mathematical Methods - Physics
For α = 0, β = π, Area = 2πa2 (1 + 1) = 4πa2 , is surface area of the sphere.


(c) Volume Integrals
A volume integral is an expression of the form
Integral Calculus | Mathematical Methods - Physics 
where T is a scalar function and dτ is an infinitesimal volume element. In Cartesian coordinates,
dτ = dx dy dz.
For example, if T is the density of a substance (which might vary from point to point) then the volume integral would give the total mass. Occasionally we shall encounter volume integrals of vector functions:
Integral Calculus | Mathematical Methods - Physics
because the unit vectors are constants, they come outside the integral.

The document Integral Calculus | Mathematical Methods - Physics is a part of the Physics Course Mathematical Methods.
All you need of Physics at this link: Physics
78 videos|18 docs|24 tests

FAQs on Integral Calculus - Mathematical Methods - Physics

1. What is integral calculus?
Ans. Integral calculus is a branch of mathematics that deals with the concept of integration and finding the area under curves. It involves finding antiderivatives and evaluating definite integrals to solve problems related to accumulation of quantities, area, volume, and other physical and mathematical applications.
2. What is the importance of integral calculus in IIT JAM exam?
Ans. Integral calculus plays a crucial role in the IIT JAM exam, particularly in subjects like Mathematics and Physics. Many questions in these subjects require the application of integral calculus to solve problems related to rate of change, optimization, finding areas and volumes, and analyzing the behavior of functions. A good understanding of integral calculus is essential to score well in the exam.
3. What are the basic integration techniques required for IIT JAM?
Ans. Some of the basic integration techniques required for IIT JAM include: - Power rule: Integration of functions of the form xn. - Substitution method: Replacing variables to simplify the integrand. - Integration by parts: Breaking down the integrand using the product rule. - Trigonometric identities: Utilizing trigonometric identities to simplify trigonometric integrals. - Partial fractions: Breaking down rational functions into simpler fractions. Knowing these techniques and practicing them extensively will help in solving integration problems effectively in the IIT JAM exam.
4. How can I improve my skills in integral calculus for the IIT JAM exam?
Ans. To improve your skills in integral calculus for the IIT JAM exam, you can follow these steps: 1. Understand the fundamental concepts: Make sure you have a clear understanding of the basic concepts, definitions, and properties of integration. 2. Practice regularly: Solve a variety of integration problems from textbooks, previous year question papers, and online resources to enhance your problem-solving skills. 3. Learn integration techniques: Familiarize yourself with various integration techniques such as substitution, integration by parts, trigonometric identities, and partial fractions. 4. Seek guidance: Consult your teachers, professors, or subject experts to clarify any doubts or difficulties you may have while studying integral calculus. 5. Mock tests and sample papers: Solve mock tests and sample papers to get acquainted with the exam pattern and time management. By following these steps consistently, you can significantly improve your skills in integral calculus for the IIT JAM exam.
5. Can I score well in the IIT JAM exam without a strong grasp of integral calculus?
Ans. It is highly unlikely to score well in the IIT JAM exam without a strong grasp of integral calculus. Integral calculus is a fundamental concept in various subjects covered in the exam, and many questions require its application. Scoring well in subjects like Mathematics and Physics, which heavily rely on integral calculus, would be challenging without a thorough understanding of the topic. Therefore, it is crucial to dedicate sufficient time and effort to learn and practice integral calculus to increase your chances of scoring well in the IIT JAM exam.
Related Searches

Integral Calculus | Mathematical Methods - Physics

,

past year papers

,

Extra Questions

,

mock tests for examination

,

Semester Notes

,

study material

,

shortcuts and tricks

,

ppt

,

practice quizzes

,

pdf

,

Viva Questions

,

Free

,

MCQs

,

Important questions

,

Objective type Questions

,

video lectures

,

Previous Year Questions with Solutions

,

Exam

,

Integral Calculus | Mathematical Methods - Physics

,

Sample Paper

,

Integral Calculus | Mathematical Methods - Physics

,

Summary

;