Electrical Engineering (EE) Exam  >  Electrical Engineering (EE) Notes  >  Control Systems  >  Previous Year Questions- Mathematical Models of Physical Systems - 1

Previous Year Questions- Mathematical Models of Physical Systems - 1 | Control Systems - Electrical Engineering (EE) PDF Download

Q1: For the block-diagram shown in the figure, the transfer function C(s)/R(s) is  (2024)
Previous Year Questions- Mathematical Models of Physical Systems - 1(a) Previous Year Questions- Mathematical Models of Physical Systems - 1

(b) Previous Year Questions- Mathematical Models of Physical Systems - 1
(c) Previous Year Questions- Mathematical Models of Physical Systems - 1
(d) Previous Year Questions- Mathematical Models of Physical Systems - 1
Ans: (d)
Sol: Transfer function
Previous Year Questions- Mathematical Models of Physical Systems - 1
Q2: The magnitude and phase plots of an LTI system are shown in the figure. The transfer function of the system is  (2023)
Previous Year Questions- Mathematical Models of Physical Systems - 1(a) 2.51e−0.032 s
(b) Previous Year Questions- Mathematical Models of Physical Systems - 1

(c) 1.04e−2.514 s  
(d) 2.51e−1.047 s 
Ans: 
(d)
Sol: Transfer function of transportation lag system,
T(s) = Ke−STTd
From magnitude plot,
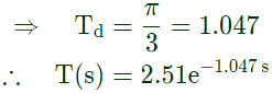
Previous Year Questions- Mathematical Models of Physical Systems - 1From angle plot,
at ω = 1rad/sec.,θ = −60°
We have,
Previous Year Questions- Mathematical Models of Physical Systems - 1Previous Year Questions- Mathematical Models of Physical Systems - 1
Q3: A continuous-time system that is initially at rest is described by
Previous Year Questions- Mathematical Models of Physical Systems - 1where x(t) is the input voltage and y(t) is the output voltage. The impulse response of the system is  (2023)
(a) 3e2t3e−2t
(b) (1/3) e−2t u(t)

(c) 2e−3t u(t)
(d) 2e−3t
Ans:
(c)
Sol: Given :
Previous Year Questions- Mathematical Models of Physical Systems - 1Taking Laplace transform,
Previous Year Questions- Mathematical Models of Physical Systems - 1We have impulse response
= L−1 (Transfer function)
So, taking inverse Laplace transform,
y(t) = 2e−3tu(t)  

Q4: For the block diagrm shown in the figure, the transfer function Y(s)/R(s) is  (2023)
Previous Year Questions- Mathematical Models of Physical Systems - 1(a) Previous Year Questions- Mathematical Models of Physical Systems - 1

(b) Previous Year Questions- Mathematical Models of Physical Systems - 1
(c) Previous Year Questions- Mathematical Models of Physical Systems - 1
(d) Previous Year Questions- Mathematical Models of Physical Systems - 1
Ans: (b)
Sol: Signal flow graph:
Previous Year Questions- Mathematical Models of Physical Systems - 1Forward paths,
Previous Year Questions- Mathematical Models of Physical Systems - 1Using Masson's graph formula,
Previous Year Questions- Mathematical Models of Physical Systems - 1
Q5: For the closed-loop system shown, the transfer function Previous Year Questions- Mathematical Models of Physical Systems - 1 is  (2021)
Previous Year Questions- Mathematical Models of Physical Systems - 1(a) Previous Year Questions- Mathematical Models of Physical Systems - 1

(b) Previous Year Questions- Mathematical Models of Physical Systems - 1
(c) Previous Year Questions- Mathematical Models of Physical Systems - 1
(d) Previous Year Questions- Mathematical Models of Physical Systems - 1
Ans: (c)
Sol: Previous Year Questions- Mathematical Models of Physical Systems - 1
Q6: Which of the options is an equivalent representation of the signal flow graph shown here?  (2020)
Previous Year Questions- Mathematical Models of Physical Systems - 1(a) Previous Year Questions- Mathematical Models of Physical Systems - 1(b) Previous Year Questions- Mathematical Models of Physical Systems - 1(c) Previous Year Questions- Mathematical Models of Physical Systems - 1(d) Previous Year Questions- Mathematical Models of Physical Systems - 1Ans:
(c)
Sol: Simplifying given signal flow graph
Previous Year Questions- Mathematical Models of Physical Systems - 1
Q7: For a system having transfer function Previous Year Questions- Mathematical Models of Physical Systems - 1 a unit step input is applied at time t = 0. The value of the response of the system at t = 1.5 sec is __________.  (SET-1(2017))
(a) 0.5
(b) 1
(c) 1.5
(d) 2.5
Ans:
(a)
Sol: Previous Year Questions- Mathematical Models of Physical Systems - 1
Q8: In the system whose signal flow graph is shown in the figure, U1(s) and U2(s) are inputs. The transfer function Y(s)/U1(s) is  (SET-1 (2017))
Previous Year Questions- Mathematical Models of Physical Systems - 1(a) Previous Year Questions- Mathematical Models of Physical Systems - 1

(b) Previous Year Questions- Mathematical Models of Physical Systems - 1
(c) Previous Year Questions- Mathematical Models of Physical Systems - 1
(d) Previous Year Questions- Mathematical Models of Physical Systems - 1
Ans: (a)
Sol: Transfer function,
Previous Year Questions- Mathematical Models of Physical Systems - 1
Q9: Let a causal LTI system be characterized by the following differential equation, with initial rest condition
Previous Year Questions- Mathematical Models of Physical Systems - 1 Where x(t) and y(t) are the input and output respectively. The impulse response of the system is (u(t) is the unit step function)  (SET-1 (2017))
(a) 2e2tu(t)7e5tu(t)2e−2tu(t) − 7e−5tu(t)
(b) −2e−2tu(t) + 7e−5tu(t)
(c) 7e2tu(t)2e5tu(t)7e−2tu(t) − 2e−5tu(t)
(d) −7e−2tu(t) + 2e−5tu(t)
Ans: 
(b)
Sol: Previous Year Questions- Mathematical Models of Physical Systems - 1Impulse response = L−1(Transfer function)
Previous Year Questions- Mathematical Models of Physical Systems - 1
Q10: For the system governed by the set of equations:
dx1/dt = 2x+ x+ u
dx2/dt = −2x+ u
y = 3x1
the transfer function Y(s)/U(s) is given by  (SET-2(2015)
(a) 3(s+1)/(s22s+2)3(s + 1)/(s− 2s + 2)
(b) 3(2s + 1)/(s− 2s + 1)
(c) (s+1)/(s22s+2)(s + 1)/(s− 2s + 2)
(d) 3(2s+1)/(s22s+2)3(2s + 1)/(s− 2s + 2)
Ans:
(a)
Sol: Previous Year Questions- Mathematical Models of Physical Systems - 1From equation (i),
Previous Year Questions- Mathematical Models of Physical Systems - 1
Q11: Find the transfer function Y(s)/X(s) of the system given below.  (SET-1 (2015))
Previous Year Questions- Mathematical Models of Physical Systems - 1(a) Previous Year Questions- Mathematical Models of Physical Systems - 1

(b) Previous Year Questions- Mathematical Models of Physical Systems - 1
(c) Previous Year Questions- Mathematical Models of Physical Systems - 1
(d) Previous Year Questions- Mathematical Models of Physical Systems - 1
Ans: (c)
Sol: Previous Year Questions- Mathematical Models of Physical Systems - 1Previous Year Questions- Mathematical Models of Physical Systems - 1
Q12: For the signal-flow graph shown in the figure, which one of the following expressions is equal to the transfer function Previous Year Questions- Mathematical Models of Physical Systems - 1  (SET-1 (2015))Previous Year Questions- Mathematical Models of Physical Systems - 1(a) Previous Year Questions- Mathematical Models of Physical Systems - 1
(b) Previous Year Questions- Mathematical Models of Physical Systems - 1
(c) Previous Year Questions- Mathematical Models of Physical Systems - 1
(d) Previous Year Questions- Mathematical Models of Physical Systems - 1
Ans: (b)
Sol: Previous Year Questions- Mathematical Models of Physical Systems - 1Previous Year Questions- Mathematical Models of Physical Systems - 1
Q13: The signal flow graph of a system is shown below. U(s) is the input and C(s) is the output
Previous Year Questions- Mathematical Models of Physical Systems - 1Assuming h1 = band h0 = b− b1a1, the input-output transfer function Previous Year Questions- Mathematical Models of Physical Systems - 1 of the system is given by  (SET-3 (2014))
(a) Previous Year Questions- Mathematical Models of Physical Systems - 1

(b) Previous Year Questions- Mathematical Models of Physical Systems - 1
(c) Previous Year Questions- Mathematical Models of Physical Systems - 1
(d) Previous Year Questions- Mathematical Models of Physical Systems - 1
Ans: (c)
Sol: Using Mason's gain fomlula,
Transfer function,
Previous Year Questions- Mathematical Models of Physical Systems - 1Non-touching loops=zero
Previous Year Questions- Mathematical Models of Physical Systems - 1
Q14: The signal flow graph for a system is given below. The transfer function Y(s)/U(s) for this system is  (2013)
Previous Year Questions- Mathematical Models of Physical Systems - 1(a) Previous Year Questions- Mathematical Models of Physical Systems - 1

(b) Previous Year Questions- Mathematical Models of Physical Systems - 1
(c) Previous Year Questions- Mathematical Models of Physical Systems - 1
(d) Previous Year Questions- Mathematical Models of Physical Systems - 1
Ans: (a)
Sol: Using mason's gain formula,
Δ = 1−[−2s−1−2s−2−4−4s−1]
Previous Year Questions- Mathematical Models of Physical Systems - 1
Q15: The transfer function V2(s)/V1(s) of the circuit shown below is  (2013)
Previous Year Questions- Mathematical Models of Physical Systems - 1(a) Previous Year Questions- Mathematical Models of Physical Systems - 1

(b) Previous Year Questions- Mathematical Models of Physical Systems - 1
(c) Previous Year Questions- Mathematical Models of Physical Systems - 1
(d) Previous Year Questions- Mathematical Models of Physical Systems - 1
Ans: (d)
Sol: Previous Year Questions- Mathematical Models of Physical Systems - 1Previous Year Questions- Mathematical Models of Physical Systems - 1

The document Previous Year Questions- Mathematical Models of Physical Systems - 1 | Control Systems - Electrical Engineering (EE) is a part of the Electrical Engineering (EE) Course Control Systems.
All you need of Electrical Engineering (EE) at this link: Electrical Engineering (EE)
53 videos|116 docs|40 tests

FAQs on Previous Year Questions- Mathematical Models of Physical Systems - 1 - Control Systems - Electrical Engineering (EE)

1. What are mathematical models of physical systems?
Ans. Mathematical models of physical systems are representations that use mathematical language and equations to describe and predict the behavior of physical phenomena. These models help in understanding complex systems by simplifying them into more manageable forms, allowing for analysis and simulations.
2. How are mathematical models used in engineering?
Ans. In engineering, mathematical models are used to design, analyze, and optimize systems and structures. They help engineers predict the behavior of structures under various conditions, improve designs based on simulations, and ensure safety and efficiency in construction and manufacturing processes.
3. What are some common types of mathematical models used in physical systems?
Ans. Common types of mathematical models include differential equations, algebraic equations, statistical models, and computational simulations. Each type serves different purposes, such as modeling dynamic systems, understanding statistical trends, or simulating complex interactions in physical systems.
4. What is the significance of validation in mathematical modeling?
Ans. Validation is crucial in mathematical modeling as it ensures that the model accurately represents the physical system it aims to simulate. Through validation, models are tested against real-world data to confirm their reliability and predictive capabilities, which is essential for making informed decisions based on the model's outcomes.
5. Can mathematical models account for uncertainties in physical systems?
Ans. Yes, mathematical models can incorporate uncertainties through various techniques such as probabilistic modeling, sensitivity analysis, and stochastic methods. These approaches allow for the assessment of the impact of uncertainties on the system's behavior and enhance the robustness of predictions made by the model.
Related Searches
shortcuts and tricks, Viva Questions, Important questions, Sample Paper, Previous Year Questions- Mathematical Models of Physical Systems - 1 | Control Systems - Electrical Engineering (EE), Previous Year Questions- Mathematical Models of Physical Systems - 1 | Control Systems - Electrical Engineering (EE), Exam, Summary, Previous Year Questions- Mathematical Models of Physical Systems - 1 | Control Systems - Electrical Engineering (EE), pdf , ppt, MCQs, past year papers, mock tests for examination, Objective type Questions, practice quizzes, Extra Questions, video lectures, Previous Year Questions with Solutions, study material, Semester Notes, Free;