All Exams  >   GMAT  >   35 Days Preparation for GMAT  >   All Questions

All questions of Mock Test for GMAT Exam

Business School Dean: We are all in agreement that we must cut unnecessary costs in order to afford our popular international study programs, a hallmark of our unique offering that prospective students know us for. But cutting the marketing budget would be a terrible idea; after all, our unique international programs cannot attract prospective students if we do not properly market them.
Q. The portions highlighted in underlined play which of the following roles?
  • a)
    The first is a conclusion that the dean supports; the second is evidence for that conclusion.
  • b)
    The first is a consideration that the dean agrees with; the second is support for the dean’s conclusion.
  • c)
    The first is a consideration that supports the dean’s conclusion; the second is that conclusion.
  • d)
    The first is a conclusion that the dean opposes; the second is a conclusion that the dean supports.
  • e)
    The first is a consideration that the dean agrees with; the second is the dean’s conclusion.
Correct answer is option 'B'. Can you explain this answer?

EduRev GMAT answered
As you assess the argument and scan the answer choices, it should become clear that you will need to determine the dean's conclusion. A few things are important in finding that: 1) note the word "but" to begin the second sentence. Transition language like that often signifies that the author is transitioning between contextual information and her main point, so you should pay even closer attention past "but" to find the conclusion there. 2) Remember the "why test" - in order to be a conclusion, a statement must be backed up with a reason "why" it's true somewhere else in the argument.
Note that the non-underlined initial clause of that sentence "cutting the marketing budget would be a terrible idea" does have a reason why: because if you did that, students wouldn't know about these great programs. The underlined portion does not have a reason why: "our unique programs cannot attract students if we do not properly market them" is given as a fact without the rest of the argument explaining why.
From that, you should see that the second underlined portion exists to support the author's conclusion. This will narrow you down to choices "The first is a consideration that the dean agrees with; the second is support for the dean’s conclusion." and "The first is a conclusion that the dean supports; the second is evidence for that conclusion.".
From there, play the answers against each other. "The first is a consideration that the dean agrees with; the second is support for the dean’s conclusion." says that the second portion is used to support the dean's conclusion, while "The first is a conclusion that the dean supports; the second is evidence for that conclusion." says that it's evidence for "that conclusion," meaning the first underlined portion. "our unique programs cannot attract students if we do not properly market them" does support the conclusion that cutting marketing would be a bad idea (choice "The first is a consideration that the dean agrees with; the second is support for the dean’s conclusion.") but it doesn't support the idea that "we should cut unnecessary costs" (choice "The first is a conclusion that the dean supports; the second is evidence for that conclusion."). So the correct answer is "The first is a consideration that the dean agrees with; the second is support for the dean’s conclusion.".

All English Springer Spaniels have long hair. All Rottweilers have short hair. Each of Tina's dogs is a cross between an English Springer Spaniel and a Rottweiler. Therefore, Tina's dogs have medium-length hair.
Q. Which one of the following uses flawed reasoning that most closely resembles the flawed reasoning used in the argument above?
  • a)
    All typists who practice at least one hour per day can type one hundred words per minute. But some typists who do not practice can also type one hundred words per minute. Mike, a typist, practices thirty minutes per day. Therefore, Mike types fifty words per minute.
  • b)
    All economists know linear algebra. All physicists know relativistic mechanics. Wilma is both an economist and a physicist. Therefore, Wilma knows both linear algebra and relativistic mechanics.
  • c)
    All halogen gases are toxic to humans. All non-radioactive noble gases are non-toxic to humans. "Nobagen" gas is a mixture of a halogen gas and a noble gas. Therefore, "nobagen" gas is moderately toxic to humans.
  • d)
    All players on the Wildcats have brown hair. All players on the Razorbacks have red hair. Members of the Moye family are on both the Wildcats and the Razorbacks. Therefore, some members of the Moye family have brown hair and others have red hair.
  • e)
    All cars made by Chord are very well made. All cars made by Fysler are very poorly made. Half of the cars on Jim's lot are very well made and the other half are very poorly made. Therefore, half of the cars on Jim's lot are Chords and half are Fyslers.
Correct answer is option 'C'. Can you explain this answer?

EduRev GMAT answered
The flawed reasoning used in the passage is that a combination of two "parent" items with different attributes necessarily yields a "child" product having attributes that are averages of its parents' attributes. The correct answer uses parallel reasoning inasmuch as the argument uses the fact that halogen and noble gases differ with respect to toxicity to conclude that a combination of such gases would yield a gas having toxicity that is the average of the toxicity of its "parent" gases.

If a and b are positive integers, is (a + b) prime?
Statement 1: 13a = 43b
Statement 2: 8a = 15b
  • a)
    Statement (1) ALONE is sufficient, but statement (2) alone is not sufficient
  • b)
    Statement (2) ALONE is sufficient, but statement (1) alone is not sufficient
  • c)
    Both statements TOGETHER are sufficient, but NEITHER statement ALONE is sufficient
  • d)
    EACH statement ALONE is sufficient
  • e)
    Statements (1) and (2) TOGETHER are NOT sufficient
Correct answer is option 'A'. Can you explain this answer?

Step 1: Evaluate Statement 1 ALONE
Statement 1: 13a = 43b
a/b = 43/13
a : b :: 43 : 13
So, a = 43x and b = 13x
a + b = 43x + 13x = 56x
56 is not prime. Therefore, 56x cannot be prime.
We are able to answer the question with a DEFNITE NO.
Hence, statement 1 alone is sufficient.
Eliminate answer option B, C, and E.
Step 2: Evaluate Statement 2 ALONE
Statement 2: 8a = 15b
a/b = 15/8
a : b :: 15 : 8
So, a = 15x and b = 8x
a + b = 15x + 8x = 23x
23 is prime.
If x is 1, a + b will be prime. For other values of x, a + b will not be prime.
We are not able to answer the question with a DEFNITE Yes or No.
Hence, statement 2 alone is not sufficient.
Eliminate answer option D.
Statement 1 alone is sufficient. Statement 2 is NOT sufficient.
Choice A is the correct answer.

Passage
Most educated people of the eighteenth century, such as the Founding Fathers, subscribed to Natural Rights Theory, the idea that every human being has a considerable number of innate rights, simply by virtue of being a human person. When the US Constitution was sent to the states for ratification, many at that time felt that the federal government outlined by the Constitution would be too strong, and that rights of individual citizens against the government had to be clarified. This led to the Bill of Rights, the first ten amendments, which were ratified at the same time as the Constitution. The first eight of these amendments list specific rights of citizens. Some leaders feared that listing some rights could be interpreted to mean that citizens didn’t have other, unlisted rights. Toward this end, James Madison and others produced the Ninth Amendment, which states: the fact that certain rights are listed in the Constitution shall not be construed to imply that other rights of the people are denied
Constitutional traditionalists interpret the Ninth Amendment as a rule for reading the rest of the constitution. They would argue that “Ninth Amendment rights” are a misconceived notion: the amendment does not, by itself, create federally enforceable rights. In particular, this strict reasoning would be opposed to the creation of any new rights based on the amendment. Rather, according to this view, the amendment merely protects those rights that citizens already have, whether they are explicitly listed in the Constitution or simply implicit in people’s lives and in American tradition.
More liberal interpreters of the US Constitution have a much more expansive view of the Ninth Amendment. In their view, the Ninth Amendment guarantees to American citizens a vast universe of potential rights, some of which we have enjoyed for two centuries, and others that the Founding Fathers could not possibly have conceived. These scholars point out that some rights, such as voting rights of women or minorities, were not necessarily viewed as rights by the majority of citizens in late eighteenth century America, but are taken as fundamental and unquestionable in modern America. While those rights cited are protected specifically by other amendments and laws, the argument asserts that other unlisted right also could evolve from unthinkable to perfectly acceptable, and the Ninth Amendment would protect these as-yet-undefined rights.
Q. The author cites the scholars referring to “voting rights of women or minorities” in order to
  • a)
    cite unquestionably justified Ninth Amendment rights
  • b)
    demonstrate how changing priorities can alter perspectives on fundamental human rights
  • c)
    argue for the modern extension of Natural Rights Theory
  • d)
    refute the traditionalist interpretation of the Ninth Amendment
  • e)
    champion the rights of all citizens in the democratic process
Correct answer is option 'B'. Can you explain this answer?

Explanation:

Changing Perspectives on Fundamental Human Rights:
- The scholars refer to the voting rights of women and minorities to demonstrate how societal priorities and perspectives on fundamental human rights can change over time.
- In the late eighteenth century, these rights were not necessarily viewed as essential by the majority of citizens, but they are now considered fundamental and unquestionable in modern America.

Expansive View of the Ninth Amendment:
- The scholars who have a more liberal interpretation of the US Constitution believe that the Ninth Amendment guarantees American citizens a vast universe of potential rights.
- They argue that some rights, like the voting rights of women and minorities, were not initially recognized but have evolved over time to be considered fundamental rights.
- This perspective supports the idea that the Ninth Amendment protects not just explicitly listed rights but also those that may emerge and evolve in society.

Protection of Unlisted Rights:
- The Ninth Amendment is seen as a safeguard for rights that are not explicitly mentioned in the Constitution but are inherent in people's lives and American tradition.
- It is believed to protect the potential for new rights to be recognized and upheld, based on changing societal norms and values.
- This interpretation allows for the adaptation of the Constitution to reflect evolving understandings of human rights and freedoms.

Eggplants are always purple. John bought a purple vegetable. Therefore, it was an eggplant. 
Q. Which of the following arguments contains reasoning most similar to the flawed reasoning in the above argument?
  • a)
    Jenny always eats healthy. Salmon is a healthy food. Therefore, she eats salmon.
  • b)
    Gambling is a risky hobby. Jamie likes taking risks. Therefore, she likes to gamble.
  • c)
    Except for 2, prime numbers are always odd. The number 13 is odd. Therefore, it is prime.
  • d)
    Rabbits are fast creatures. A fast creature ran by. Therefore, it may have been a rabbit.
  • e)
    Bluebirds are not always blue. A brown bird was outside the window. Therefore, it may or may not have been a blue bird.
Correct answer is option 'C'. Can you explain this answer?

Similar Reasoning in Flawed Argument:

Flawed Argument:
Eggplants are always purple. John bought a purple vegetable. Therefore, it was an eggplant.

Explanation:
In the flawed argument, the conclusion is drawn based on the assumption that all purple vegetables are eggplants, which is not necessarily true.

Analysis of Options:

a) Jenny always eats healthy. Salmon is a healthy food. Therefore, she eats salmon.
This argument is similar to the flawed reasoning as it assumes that because Jenny always eats healthy, she must be eating salmon. Just like the flawed argument, it makes a generalization based on limited information.

b) Gambling is a risky hobby. Jamie likes taking risks. Therefore, she likes to gamble.
This argument is not as similar to the flawed reasoning as it does not make a generalization based on the characteristics of a single item. It is more about personal preferences rather than categorical statements.

c) Except for 2, prime numbers are always odd. The number 13 is odd. Therefore, it is prime.
This argument contains reasoning most similar to the flawed argument. It assumes that because a number is odd, it must be prime, which is not necessarily true.

d) Rabbits are fast creatures. A fast creature ran by. Therefore, it may have been a rabbit.
This argument is not similar to the flawed reasoning as it does not involve making a generalization based on the characteristics of a single item. It is more about making a guess based on a specific trait.

e) Bluebirds are not always blue. A brown bird was outside the window. Therefore, it may or may not have been a blue bird.
This argument is not similar to the flawed reasoning as it does not involve making a generalization based on the characteristics of a single item. It is more about the variability in the characteristics of a specific item.

Bert and Rebecca were looking at the price of a condominium.  The price of the condominium was 80% more than Bert had in savings, and separately, the same price was also 20% more than Rebecca had in savings.  What is the ratio of what Bert has in savings to what Rebecca has in savings.
  • a)
    1 : 4
  • b)
    4 : 1
  • c)
    3 : 4
  • d)
    3 : 2
  • e)
    2 : 3
Correct answer is option 'E'. Can you explain this answer?

EduRev GMAT answered
The trap answer here would be to take the ratio of 80% and 20% — those don’t represent actually amounts that other person has, just the differences between amounts owned and the cost of the condo.  Think of this in terms of multipliers.  Use the variables:
B = amount Bert has in savings
R = amount Rebecca has in savings
P = price of the condominium
Then in terms of multipliers, the information given tells us that P = 1.8 * B, and P = 1.2 * R. Set these equal.
1.8 * B = 1.2 * R

There are two sets of letters, and you are going to pick exactly one letter from each set.
Set #1 = {A, B, C, D, E}
Set #2 = {K, L, M, N, O, P}
What is the probability of picking a C and an M?
  • a)
    1/30
  • b)
    1/15
  • c)
    1/6
  • d)
    1/5
  • e)
    1/3
Correct answer is option 'A'. Can you explain this answer?

Prateek Gupta answered
Calculation of Probability
To calculate the probability of picking a C and an M, we need to first determine the total number of possible outcomes. There are 5 options in Set #1 and 6 options in Set #2, so the total number of possible outcomes is 5 x 6 = 30.

Number of Desired Outcomes
There is only one C in Set #1 and one M in Set #2. Therefore, the number of desired outcomes is 1 x 1 = 1.

Probability Calculation
To calculate the probability, we divide the number of desired outcomes by the total number of possible outcomes:
Probability = Number of Desired Outcomes / Total Number of Possible Outcomes
Probability = 1 / 30
Probability = 1/30
Therefore, the probability of picking a C and an M is 1/30, which corresponds to option 'A'.

Susan invited 13 of her friends for her birthday party and created return gift hampers comprising one each of $3, $4, and $5 gift certificates. One of her friends did not turn up and Susan decided to rework her gift hampers such that each of the 12 friends who turned up got $13 worth gift certificates. How many gift hampers did not contain $5 gift certificates in the new configuration?
  • a)
    5
  • b)
    2
  • c)
    9
  • d)
    3
  • e)
    7
Correct answer is option 'D'. Can you explain this answer?


Given information:
- 13 friends were invited to Susan's birthday party.
- Each return gift hamper originally contained $3, $4, and $5 gift certificates.
- One friend did not turn up, so Susan reworked the gift hampers for the 12 friends who attended.
- Each of the 12 friends who turned up received $13 worth of gift certificates in the new configuration.

Solution:

- Original Configuration:
- Total value of each gift hamper = $3 + $4 + $5 = $12
- Total value of 13 gift hampers = 13 * $12 = $156

- New Configuration:
- Total value of each gift hamper = $13
- Total value of 12 gift hampers = 12 * $13 = $156

- Calculating the number of $5 gift certificates in the new configuration:
- Each gift hamper in the new configuration has a total value of $13, which includes $3 and $4 gift certificates.
- Therefore, the number of $5 gift certificates in each gift hamper is calculated as: $13 - $3 - $4 = $6
- Number of gift hampers that did not contain $5 gift certificates = $6/$5 = 1.2
- Since we cannot have a fraction of a gift certificate, the number of gift hampers that did not contain $5 gift certificates is 1.

- Conclusion:
- The number of gift hampers that did not contain $5 gift certificates in the new configuration is 1.

Therefore, the correct answer is option D

A certain school has three performing arts extracurricular activities: Band, Chorus, or Drama. Students must participate in at least one, and may participate in two or even in all three. There are 120 students in the school. There are 70 students in Band, 73 in the Chorus, and 45 in the Drama. Furthermore, 37 students are in both the Band and Chorus, 20 are in both the Band and the Drama, and 8 students are in all three groups. Twenty-five students are just in the chorus, not in anything else. How many students participate in only the drama?
  • a)
    11
  • b)
    12
  • c)
    14
  • d)
    17
  • e)
    21
Correct answer is option 'C'. Can you explain this answer?

Analysis:
To find out how many students participate in only the Drama extracurricular activity, we need to subtract the students who participate in multiple activities from the total number of Drama participants.

Given Information:
- Total number of students = 120
- Number of students in Band = 70
- Number of students in Chorus = 73
- Number of students in Drama = 45
- Number of students in Band and Chorus = 37
- Number of students in Band and Drama = 20
- Number of students in all three groups = 8
- Number of students in only Chorus = 25

Calculation:
First, we need to calculate the number of students who participate in multiple activities:
- Number of students in both Band and Chorus = 37
- Number of students in both Band and Drama = 20
- Number of students in all three groups = 8
Total number of students in multiple activities = 37 + 20 + 8 = 65
Now, we find the total number of students who participate in at least one activity:
Total number of students in at least one activity = Number of students in Band + Number of students in Chorus + Number of students in Drama - Total number of students in multiple activities
Total number of students in at least one activity = 70 + 73 + 45 - 65 = 123
Now, we find the number of students who participate in only the Drama extracurricular activity:
Number of students in only Drama = Number of students in Drama - Number of students in multiple activities
Number of students in only Drama = 45 - 65 = 14
Therefore, the number of students who participate in only the Drama extracurricular activity is 14, option c.

In countries where healthcare is universal and provided free of charge by the government, visits per capita to the doctor are twice as frequent as they are in countries where healthcare is paid at least partly out-of-pocket by the consumer. Presently, governments do not have a reliable way of determining whether the symptoms for which these patients were treated for would have otherwise subsided without medical attention. However, this information does not warrant the conclusion by some universal healthcare critics that in the countries with a higher frequency of doctor visits, about half of them are unnecessary. Alternatively, in those countries where healthcare is not free, consumers often forego visits to the doctor except in cases of severe symptoms.
Q. In the argument above, the two underline portions play which of the following roles?
  • a)
    The first is a premise, of which the implications are in dispute in the argument; the second is a claim presented in order to argue against deriving certain implications from that premise.
  • b)
    The first is a premise that has been used to support a conclusion that the argument accepts; the second is that conclusion.
  • c)
    The first is a premise that the argument disputes; the second is a conclusion that has been based on that premise.
  • d)
    The first is a conclusion that rests upon further evidence within the argument; the second supports that conclusion.
  • e)
    The first is a finding, the accuracy of which is evaluated in the argument; the second is evidence presented to establish the accuracy of the finding.
Correct answer is option 'A'. Can you explain this answer?

EduRev GMAT answered
Remember that for all Method of Reasoning questions you must first deconstruct the argument before you go through process of elimination to find which answer choice best describes it. The first underlined information gives that the frequency of visits to the doctor is twice as high in those countries with free healthcare as it is in those without free healthcare. This piece of information is presented without an explanation as to why and is therefore a premise that describes the frequency of visits to the doctors between countries that do and do not have universal healthcare.
After the first underlined portion, the next portion gives a second premise, that there is no way of determining the severity of the patients’ symptoms and no way of determining whether these trips to the doctor were unnecessary. The second sentence of not-underlined information continues this by stating that the conclusion that half of the visits in countries with universal health care are unnecessary is not necessarily valid.
The second set of underlined text then gives an alternative explanation: that consumers in countries without universal health care instead avoid going to the doctor when they need to. Notice that this isn’t a conclusion, but is instead an argument against a certain conclusion.
With the argument deconstructed, you can then take a look at the answer choices. Be wary of wordplay and be very picky!
Choice "The first is a premise that the argument disputes; the second is a conclusion that has been based on that premise." may seem close to your initial analysis of the underlined portions. The first underlined portion is a premise, but it is not the premise that the argument disputes, but the conclusions that can be drawn from that premise. Additionally, the second portion is reasoning that the conclusion in the previous sentence isn’t justified rather than a conclusion in and of itself. Choice "The first is a premise that the argument disputes; the second is a conclusion that has been based on that premise." can therefore be eliminated.
Choice "The first is a premise, of which the implications are in dispute in the argument; the second is a claim presented in order to argue against deriving certain implications from that premise." matches the deconstruction of the argument. The first underlined portion is a premise whose implications (whether or not the extra doctor’s visits are warranted) are indeed under attack. The second underlined portion is a claim, arguing against the conclusion in the previous sentence. Choice "The first is a premise, of which the implications are in dispute in the argument; the second is a claim presented in order to argue against deriving certain implications from that premise." is correct.
Choice "The first is a finding, the accuracy of which is evaluated in the argument; the second is evidence presented to establish the accuracy of the finding." can be eliminated since the first underlined portion is not a finding, but a premise. Its accuracy is also not in question, so you can confidently eliminate choice "The first is a finding, the accuracy of which is evaluated in the argument; the second is evidence presented to establish the accuracy of the finding.".
Choice "The first is a premise that has been used to support a conclusion that the argument accepts; the second is that conclusion." is correct in that the first portion is a premise. However, the first conclusion reached is not accepted by the argument – it is disputed. Choice "The first is a premise that has been used to support a conclusion that the argument accepts; the second is that conclusion." can be eliminated.
Choice "The first is a conclusion that rests upon further evidence within the argument; the second supports that conclusion." can be eliminated since the first underlined portion is a premise, not a conclusion, since it does not pass the “why” test.
The correct answer is "The first is a premise, of which the implications are in dispute in the argument; the second is a claim presented in order to argue against deriving certain implications from that premise.".

Consider a set S = {2, 4, 6, 8, x, y} with distinct elements. If x and y are both prime numbers and 0 < x < 40 and 0 < y < 40, which of the following MUST be true?
I. The maximum possible range of the set is greater than 33.
II. The median can never be an even number.
III. If y = 37, the average of the set will be greater than the median.
  • a)
    I only
  • b)
    I and II only
  • c)
    I and III only
  • d)
    III only
  • e)
    I, II, and III
Correct answer is option 'E'. Can you explain this answer?

Disha Mehta answered
Analysis:

Maximum possible range:
- Since the set consists of distinct numbers, the maximum range will occur when x = 3 and y = 37.
- The maximum range in this case would be 37 - 2 = 35, which is greater than 33.
- Therefore, the statement I is true.

Median as an even number:
- Since the set has an even number of elements, the median will be the average of the two middle numbers.
- If x = 2 and y = 37, the set would be {2, 4, 6, 8, 2, 37} and the median would be (6 + 8) / 2 = 7, which is an even number.
- Therefore, statement II is false.

Average and Median:
- If y = 37, the set becomes {2, 4, 6, 8, x, 37}.
- The median in this case would be the average of 6 and 8, which is 7.
- The average of the set would be (2 + 4 + 6 + 8 + x + 37) / 6 = (57 + x) / 6.
- If x is greater than 3, the average will be greater than 7, the median.
- Therefore, statement III is true.

Conclusion:
- Statements I, II, and III are considered together, and only when all three are true does the answer become option 'E'.

There are two sets of letters, and you are going to pick exactly one letter from each set.
Set #1 = {A, B, C, D, E}
Set #2 = {K, L, M, N, O, P}
What is the probability of picking a C or an M?
  • a)
    1/30
  • b)
    1/15
  • c)
    1/6
  • d)
    1/5
  • e)
    1/3
Correct answer is option 'E'. Can you explain this answer?

EduRev GMAT answered
Picking an M is not disjoint with picking a C — they both could happen on the same round of the game. We have to use the generalized OR rule for this:
P(C or M) = P(C) + P(M) – P(C and M)

In a certain game, you pick a card from a standard deck of 52 cards. If the card is a heart, you win. If the card is not a heart, the person replaces the card to the deck, reshuffles, and draws again. The person keeps repeating that process until he picks a heart, and the point is to measure: how many draws did it take before the person picked a heart and won? What is the probability that one will have at least three draws before one picks a heart?
  • a)
    1/2
  • b)
    9/16
  • c)
    11/16
  • d)
    13/16
  • e)
    15/16
Correct answer is option 'B'. Can you explain this answer?

Calculating the Probability of Having At Least Three Draws Before Picking a Heart:
- The probability of not drawing a heart on the first draw is 39/52 (since there are 39 non-heart cards out of 52 total cards).
- The probability of not drawing a heart on the second draw is also 39/52.
- Therefore, the probability of not drawing a heart on the first two draws is (39/52) * (39/52).
- The probability of drawing a heart on the third draw is 13/52 (since there are 13 hearts in a deck of 52 cards).
- The probability of having at least three draws before picking a heart is equal to 1 minus the probability of picking a heart on the first or second draw, which is 1 - [(13/52) + (39/52)*(39/52)].
- Simplifying the equation, we get 1 - [13/52 + 1521/2704] = 1 - (676/2704) = 2028/2704 = 9/16.
Therefore, the probability that one will have at least three draws before picking a heart is 9/16, which corresponds to option 'b'.

Passage
In the fast-evolving landscape of artificial intelligence, recent debates have surfaced regarding the ethical implications of deploying advanced AI systems in critical domains such as healthcare and finance. The author, Sarah Thompson, explores the intersection of AI and ethics, highlighting the potential pitfalls and the urgent need for responsible development and deployment.
Thompson begins by addressing the increasing integration of AI in decision-making processes, emphasizing the risk of bias and discrimination inherent in algorithms trained on biased datasets. She points to instances where AI systems have perpetuated existing societal inequalities, raising concerns about the ethical implications of such unintentional consequences.
Moving beyond biases, Thompson delves into the issue of transparency in AI systems. She argues that the opacity of many advanced AI algorithms poses a significant ethical challenge, as users, and even developers, struggle to understand the decision-making processes of these complex systems. The lack of transparency, she contends, hinders accountability and exacerbates ethical concerns surrounding AI applications.
The exposé then shifts to the ethical considerations in AI-driven automation, particularly in industries where jobs are at risk of displacement. Thompson asserts that responsible AI development should prioritize the well-being of workers and ensure that the benefits of automation are equitably distributed. The ethical framework, she argues, should extend beyond mere technological advancements to encompass the broader societal impact of AI implementation.
Q. It can be inferred from the passage that Sarah Thompson would be most likely to agree with which of the following statements regarding AI development?
  • a)
    AI algorithms should prioritize efficiency over transparency.
  • b)
    Responsible AI development requires addressing biases in algorithmic decision-making.
  • c)
    The benefits of AI automation should outweigh concerns about job displacement.
  • d)
    Opacity in AI systems is necessary for protecting proprietary technology.
  • e)
    Ethical considerations in AI development are exaggerated and unnecessary.
Correct answer is option 'B'. Can you explain this answer?

Addressing Biases in Algorithmic Decision-Making
Sarah Thompson would likely agree that responsible AI development requires addressing biases in algorithmic decision-making. She highlights the risks of bias and discrimination in AI systems trained on biased datasets, emphasizing the ethical implications of perpetuating societal inequalities.

Transparency in AI Systems
Thompson argues that the lack of transparency in many advanced AI algorithms poses a significant ethical challenge. She believes that the opacity of these systems hinders accountability and exacerbates ethical concerns surrounding AI applications, emphasizing the need for greater transparency.

Ethical Considerations in AI-Driven Automation
Thompson asserts that responsible AI development should prioritize the well-being of workers and ensure that the benefits of automation are equitably distributed. She suggests that the ethical framework should extend beyond technological advancements to consider the broader societal impact of AI implementation, particularly in industries where job displacement is a concern.

Passage
In the fast-evolving landscape of artificial intelligence, recent debates have surfaced regarding the ethical implications of deploying advanced AI systems in critical domains such as healthcare and finance. The author, Sarah Thompson, explores the intersection of AI and ethics, highlighting the potential pitfalls and the urgent need for responsible development and deployment.
Thompson begins by addressing the increasing integration of AI in decision-making processes, emphasizing the risk of bias and discrimination inherent in algorithms trained on biased datasets. She points to instances where AI systems have perpetuated existing societal inequalities, raising concerns about the ethical implications of such unintentional consequences.
Moving beyond biases, Thompson delves into the issue of transparency in AI systems. She argues that the opacity of many advanced AI algorithms poses a significant ethical challenge, as users, and even developers, struggle to understand the decision-making processes of these complex systems. The lack of transparency, she contends, hinders accountability and exacerbates ethical concerns surrounding AI applications.
The exposé then shifts to the ethical considerations in AI-driven automation, particularly in industries where jobs are at risk of displacement. Thompson asserts that responsible AI development should prioritize the well-being of workers and ensure that the benefits of automation are equitably distributed. The ethical framework, she argues, should extend beyond mere technological advancements to encompass the broader societal impact of AI implementation.
Q. The passage supplies information for answering which of the following questions?
  • a)
    How can biases in AI algorithms be completely eliminated?
  • b)
    What are the unintended consequences of integrating AI into decision-making processes?
  • c)
    Which industries are most resistant to AI-driven automation?
  • d)
    Why does the author argue for transparency in AI algorithms?
  • e)
    Have there been any successful implementations of responsible AI development?
Correct answer is option 'D'. Can you explain this answer?

EduRev GMAT answered
To identify the question answered by the passage, we must refer to the information provided. The passage discusses biases, lack of transparency, and the societal impact of AI-driven automation. The primary focus is on the ethical challenges and the need for transparency in AI algorithms. Therefore, the correct answer is option D, "Why does the author argue for transparency in AI algorithms?"
Options A, B, and C are not directly addressed in the passage. Option E is not discussed.

Passage
In the bustling world of technology, a recent exposé titled "Tech Titans and their Ties" has shed light on the intricate relationships between major Silicon Valley players and the startup ecosystem. The author, Jane Anderson, delves into the alliances, partnerships, and financial dealings that shape the landscape of innovation and entrepreneurship.
The exposé begins by highlighting the symbiotic nature of these relationships, emphasizing how established tech giants often invest in or acquire promising startups to stay at the forefront of innovation. Anderson contends that this synergy not only fuels technological advancements but also strategically positions the larger companies as key players in emerging markets.
However, the author doesn't shy away from the darker side of these collaborations. Anderson points out that some tech titans exploit their financial muscle to stifle competition, acquiring startups merely to eliminate potential rivals rather than fostering genuine innovation. The cutthroat tactics employed by these industry behemoths, she argues, can stifle creativity and limit the diversity of ideas in the tech ecosystem.
The exposé then takes a historical turn, drawing parallels between the current state of the tech industry and the corporate landscape of the early 20th century. Anderson suggests that just as monopolies were scrutinized and regulated in the past, there is a growing need for modern antitrust measures to curb the concentration of power within the tech sector. She argues that such regulations are essential to ensure a level playing field for startups and prevent the formation of digital monopolies that could stifle healthy competition.
Q. It can be inferred from the passage that the author, Jane Anderson, would be most likely to agree with which of the following statements regarding tech collaborations?
  • a)
    Tech giants should acquire startups to eliminate potential competition.
  • b)
    Collaborations between tech giants and startups lead to a more diverse tech ecosystem.
  • c)
    The concentration of power in the tech sector is inevitable and beneficial.
  • d)
    Antitrust measures are unnecessary in the modern tech industry.
  • e)
    Exploitative tactics in tech collaborations hinder genuine innovation.
Correct answer is option 'B'. Can you explain this answer?

Saumya Shah answered


Understanding the Author's Stance on Tech Collaborations:

In the passage, the author, Jane Anderson, discusses the relationships between tech giants and startups in the context of the tech ecosystem. From the details provided, it can be inferred that Anderson would most likely agree with the statement that collaborations between tech giants and startups lead to a more diverse tech ecosystem.

Reasoning behind the Inference:

- Symbiotic Nature of Relationships: The author highlights the symbiotic nature of these collaborations, emphasizing how tech giants often invest in or acquire startups to stay innovative. This suggests that such collaborations can bring fresh ideas and perspectives into the tech industry, leading to a more diverse ecosystem.

- Fueling Technological Advancements: Anderson mentions that these collaborations fuel technological advancements, indicating that they contribute to the growth and diversity of technology within the industry.

- Need for Antitrust Measures: The author also argues for modern antitrust measures to prevent the concentration of power within the tech sector. This implies that promoting diversity and preventing monopolistic practices are essential for a healthy tech ecosystem.

Conclusion:

Given the author's emphasis on the benefits of collaborations for innovation and the call for antitrust measures to maintain a level playing field, it can be inferred that Jane Anderson would agree with the statement that collaborations between tech giants and startups lead to a more diverse tech ecosystem.

The profits of QRS company rose 10% from March to April, then dropped 20% from April to May, then rose 50% from May to June. What was the percent increase for the whole quarter, from March to June?
  • a)
    15%
  • b)
    32%
  • c)
    40%
  • d)
    62%
  • e)
    80%
Correct answer is option 'B'. Can you explain this answer?

EduRev GMAT answered
Given the foregoing discussion, it may be obvious now the trap-mistake answer is (C), which results from simply adding and subtracting the percents.
We need multipliers.
multiplier for a 10% increases = 1 + 0.10 = 1.1
multiplier for a 20% decreases = 1 – 0.20 = 0.8
multiplier for a 50% increases = 1 + 0.50 = 1.5
Now, multiply these. First, multiply (0.8) and (1.5), using the doubling & halving trick. Half of 0.80 is 0.40, and twice 1.5 is 3
(0.8) * (1.5) = (0.4) * (3) = 1.2
Now, multiply this by 1.1
1.2 * 1.1 = 1.32
Thus, the three percent changes combined produce a 32% increase. Answer = (B).

Thousands of people contract tonsillitis every year, and yet all go on to live normal lives after the operation. We can conclude, from this observation, that the tonsils have no function in the body.
Q. The argument would be most weakened by which of the following, if it were true?
  • a)
    The tonsils have been shown to have a vital role to play in the physiology of laboratory rabbits and mice.
  • b)
    People live normal lives after appendectomies, but the appendix is known to be part of the digestive system.
  • c)
    Another part of the body can take over the function of the tonsils if they are removed.
  • d)
    The human tonsil develops as part of the immune system, a system of vital importance in defense against disease.
  • e)
    Tonsillectomies are performed only when the tonsils become seriously infected.
Correct answer is option 'C'. Can you explain this answer?

EduRev GMAT answered
The conclusion states that the tonsils have no function in the body. To weaken this conclusion, we should try to show that the tonsils do in fact have a function, at least at some point in human life. Comparison with another organ is not really useful, as they might be very different from tonsils, and what happens in other animals is also not directly relevant. And discussing where the tonsils develop has nothing to do with their function. Finally, though an organ might develop as part of a system and yet have no function (like the appendix or muscles that wiggle the ear), the only answer left suggests there is a function even though this function can be taken over by another part of the body. This suggestion most weakens the argument posed above.

Advertisement: Coma Cola is the best-tasting cola on the market and we conducted a test using over 1000 cola consumers to prove it. Each consumer was given two identical cups filled with a carbonated beverage from the same fountain. One cup was filled with Coma Cola and the other was filled with unadulterated soda water. Ninety-nine percent of the consumers preferred the Coma Cola. So, Coma Cola is the best tasting cola available.
Q. The advertisement’s reasoning is most vulnerable to criticism on the grounds that it fails to consider whether ___________________
  • a)
    Any portion of the population is allergic to any of the ingredients in Coma Cola.
  • b)
    The consumers tested had the opportunity to evaluate flavored soft drinks other than colas.
  • c)
    Coma Cola is cheaper or more expensive than other colas.
  • d)
    The consumers tested had the opportunity to evaluate colas other than Coma Cola.
  • e)
    Coma Cola has more or less caffeine than other colas.
Correct answer is option 'D'. Can you explain this answer?

EduRev GMAT answered
The advertisement's claim, that Coma Cola is the best tasting cola, is based on 99% percent of cola consumers choosing it over soda water. The flaw in the experimental setup is that just because a consumer chooses Coma Cola over soda water, it does not mean that she will choose Coma Cola over any other cola, let alone over all other colas. 
The correct answer recognizes that, in order to validly make such a claim, one would have to show a preference for Coma Cola over other colas, not over soda water (or even over other flavored soft drinks, as one of the incorrect answer choices indicates).

Passage
In the bustling world of technology, a recent exposé titled "Tech Titans and their Ties" has shed light on the intricate relationships between major Silicon Valley players and the startup ecosystem. The author, Jane Anderson, delves into the alliances, partnerships, and financial dealings that shape the landscape of innovation and entrepreneurship.
The exposé begins by highlighting the symbiotic nature of these relationships, emphasizing how established tech giants often invest in or acquire promising startups to stay at the forefront of innovation. Anderson contends that this synergy not only fuels technological advancements but also strategically positions the larger companies as key players in emerging markets.
However, the author doesn't shy away from the darker side of these collaborations. Anderson points out that some tech titans exploit their financial muscle to stifle competition, acquiring startups merely to eliminate potential rivals rather than fostering genuine innovation. The cutthroat tactics employed by these industry behemoths, she argues, can stifle creativity and limit the diversity of ideas in the tech ecosystem.
The exposé then takes a historical turn, drawing parallels between the current state of the tech industry and the corporate landscape of the early 20th century. Anderson suggests that just as monopolies were scrutinized and regulated in the past, there is a growing need for modern antitrust measures to curb the concentration of power within the tech sector. She argues that such regulations are essential to ensure a level playing field for startups and prevent the formation of digital monopolies that could stifle healthy competition.
Q. The passage supplies information for answering which of the following questions?
  • a)
    What historical era does the author compare the current state of the tech industry to?
  • b)
    How do tech giants stay at the forefront of innovation?
  • c)
    Which startup was recently acquired by a major tech company?
  • d)
    Why does the author argue for modern antitrust measures in the tech sector?
  • e)
    What are the specific tactics used by tech giants to eliminate competition in the startup ecosystem?
Correct answer is option 'A'. Can you explain this answer?

Disha Mehta answered
Comparison to Historical Era
The author compares the current state of the tech industry to the corporate landscape of the early 20th century. This comparison draws parallels between the scrutiny and regulation of monopolies in the past and the need for modern antitrust measures in the tech sector today.

Explanation:
The author's comparison highlights the growing concern over the concentration of power within the tech sector, similar to the issues faced with monopolies in the past. By drawing this historical parallel, the author emphasizes the necessity for regulations to ensure fair competition and prevent the formation of digital monopolies that could stifle innovation and diversity in the tech ecosystem. This comparison helps readers understand the urgency and importance of implementing modern antitrust measures in the tech industry.

If a, b, and c are positive integers, is (a + c)(b + c) an even integer?
(1) a is odd
(2) b is even
  • a)
    Statement (1) ALONE is sufficient, but statement (2) alone is not sufficient
  • b)
    Statement (2) ALONE is sufficient, but statement (1) alone is not sufficient
  • c)
    Both statements TOGETHER are sufficient, but NEITHER statement ALONE is sufficient
  • d)
    EACH statement ALONE is sufficient
  • e)
    Statements (1) and (2) TOGETHER are NOT sufficient
Correct answer is option 'C'. Can you explain this answer?

Understanding the Problem
We need to determine if the expression (a + c)(b + c) is an even integer, given that a, b, and c are positive integers.
Evaluating Statement (1)
- Statement (1): a is odd.
- If a is odd, we have two possibilities for c (odd or even):
- If c is odd, then a + c = odd + odd = even.
- If c is even, then a + c = odd + even = odd.
- Regardless of whether c is odd or even, we do not have information about b, which could be odd or even.
- Conclusion: Statement (1) alone is not sufficient.
Evaluating Statement (2)
- Statement (2): b is even.
- If b is even, let's consider the two possibilities for a (odd or even):
- If a is odd, then a + c could be odd or even depending on c.
- If a is even, then a + c is even regardless of c.
- Thus, we cannot determine the parity of (a + c)(b + c) without knowing c.
- Conclusion: Statement (2) alone is not sufficient.
Combining Statements (1) and (2)
- We know a is odd and b is even.
- If c is odd: a + c = even; b + c = even (since b is even).
- If c is even: a + c = odd; b + c = even.
- In both cases, (a + c)(b + c) results in an even product:
- Even * Even = Even
- Odd * Even = Even
- Conclusion: Both statements together are sufficient.
Final Conclusion
The correct answer is option C: Both statements together are sufficient, but neither is sufficient alone.

Three positive integers a, b, and c are such that their average is 20 and a ≤ b ≤ c. If the median is (a + 11), what is the least possible value of c?
  • a)
    23
  • b)
    21
  • c)
    25
  • d)
    26
  • e)
    24
Correct answer is option 'C'. Can you explain this answer?

EduRev GMAT answered
Key Data from the Question Stem:
  1. a ≤ b ≤ c
  2. a, b, and c are positive integers.
  3. Average of the three integers = 20
  4. Sum of all the three integers = 60
  5. Median = b = a + 11
Check for the possible values of c
Theoretically, the least value of c is when c = b.
Therefore, a + (a + 11) + (a + 11) = 60 (b and c are equal and b, the median, is a + 11)
Or 3a = 38 or a = 12.66
So, b = c = 12.66 + 11 = 23.66
However, we know that these numbers are all integers.
Therefore, a, b, and c cannot take these values.
So, the least value for c with this constraint is NOT likely to be when c = b.
Let us increment c by 1. Let c = (b + 1)
In this scenario, a + (a + 11) + (a + 12) = 60
Or 3a = 37. The value of the numbers is not an integer in this scenario as well.
Let us increment c again by 1. i.e., c = b + 2
Now, a + (a + 11) + (a + 13) = 60
Or 3a = 36 or a = 12.
If a = 12, b = 23 and c = 25.
The least value for c that satisfies all these conditions is 25.
Choice C is the correct answer.

Mrs. Brown is dividing 50 students into 3 groups for a class project. How many children are in the largest group?
(1) The total number of children in the two smaller groups is equal to the number of children in the largest group.
(2) The smallest group contains 6 children.
  • a)
    Statement (1) ALONE is sufficient, but statement (2) alone is not sufficient
  • b)
    Statement (2) ALONE is sufficient, but statement (1) alone is not sufficient
  • c)
    Both statements TOGETHER are sufficient, but NEITHER statement ALONE is sufficient
  • d)
    EACH statement ALONE is sufficient
  • e)
    Statements (1) and (2) TOGETHER are NOT sufficient
Correct answer is option 'A'. Can you explain this answer?

Prateek Gupta answered

Statement Analysis:

Statement 1: The total number of children in the two smaller groups is equal to the number of children in the largest group.

This statement alone is sufficient to determine the number of children in the largest group. If the two smaller groups have a total of 25 students, then the largest group would also have 25 students.

Statement 2: The smallest group contains 6 children.

This statement alone does not provide enough information to determine the number of children in the largest group. Knowing the size of the smallest group does not give us any information about the distribution of the remaining students.

Combined Analysis:

When we combine both statements, we can determine that the total number of students is 50 and the smallest group has 6 students. From statement 1, we know that the two smaller groups together have the same number of students as the largest group. Therefore, the largest group must have 25 students (50 total students - 6 in the smallest group = 44 students in the two smaller groups, which means each smaller group has 22 students, totaling 44 students).

Therefore, both statements together are sufficient to determine that the largest group has 25 students.

Therefore, the correct answer is: Option A.

There are two sets of letters, and you are going to pick exactly one letter from each set.
Set #1 = {A, B, C, D, E}
Set #2 = {K, L, M, N, O, P}
There are these two sets of letters, and you are going to pick exactly one letter from each set.  What is the probability of picking at least one vowel?
  • a)
    1/6
  • b)
    1/3
  • c)
    1/2
  • d)
    2/3
  • e)
    5/6
Correct answer is option 'C'. Can you explain this answer?

EduRev GMAT answered
P(at least one vowel) = 1 – P(no vowels)
The probability of picking no vowel from the first set is 3/5. The probability of picking no vowel from the second set is 5/6. In order to get no vowels at all, we need no vowels from the first set AND no vowels from the second set. According to the AND rule, we multiply those probabilities.
P(no vowels) = (3/5) * (5/6) = 1/2
P(at least one vowel) = 1 – P(no vowels) = 1 – 1/2 = 1/2
Answer = C

A small library has books on twenty different subjects including, most prominently, history. One afternoon, a librarian arbitrarily picks up 100 books for reshelving from among the books returned that day. All the books returned that day were borrowed during the past three weeks. Are fewer than 20 percent of the books the librarian picks up on history?
Statement 1: Fewer than 20 percent of the books in the library are on history.
Statement 2: During the past three weeks, exactly 15 books on history were borrowed from the library.
  • a)
    Statement (1) ALONE is sufficient, but statement (2) alone is not sufficient
  • b)
    Statement (2) ALONE is sufficient, but statement (1) alone is not sufficient
  • c)
    Both statements TOGETHER are sufficient, but NEITHER statement ALONE is sufficient
  • d)
    EACH statement ALONE is sufficient
  • e)
    Statements (1) and (2) TOGETHER are NOT sufficient
Correct answer is option 'B'. Can you explain this answer?

EduRev GMAT answered
Library has 20 different subject books and maximum books are on history. 
Now, we are given that x books are returned that day out of which 100 books are reshelved. All the books returned that day were borrowed during the past three weeks. We have to find if fewer than 20 percent of the books the librarian picks up are of history. 
Statement 1 tells us that the entire library has fewer than 20% books on history.
This does not help us give any information. So statement a and d are cancelled out.
Statement 2 tells us that During the past three weeks, exactly 15 books on history were borrowed from the library. This tells that out of those 100 books, librarraian can pick only out of those 15 history books which obviously is less than 20. 
So the correct answer is option B.

The couple decides one day that they will definitely go to the beach the next evening if it is sunny without rain at the time they plan to go—and that they will definitely not go if such is not the case. The next morning, the hour-by-hour weather forecast says that in the evening, it will be sunny without rain. Will the couple go to the beach that evening?
Statement 1: It is raining in the morning and in the afternoon of the day of their planned beach outing.
Statement 2: The couple always believe that the weather forecast is likely to be accurate.
  • a)
    Statement (1) ALONE is sufficient, but statement (2) alone is not sufficient
  • b)
    Statement (2) ALONE is sufficient, but statement (1) alone is not sufficient
  • c)
    Both statements TOGETHER are sufficient, but NEITHER statement ALONE is sufficient
  • d)
    EACH statement ALONE is sufficient
  • e)
    Statements (1) and (2) TOGETHER are NOT sufficient
Correct answer is option 'E'. Can you explain this answer?

EduRev GMAT answered
We can see that the information given above gives us two conditions.

The first condition is that the couple will go to the beach if it is sunny without rain.
Second condition we can infer is that the first condition should be there at the time they plan to go.

Now that we read the next statement, it mentions the weather forecast. But seeing our two conditions that we have set, nothing is mentioned in it about the forecast.

Statement 1 tells us nothing about the evening. So we can rule out options A and D.

Statement 2 talks about the forecast but it doesnt satisfy our conditions.

So we can rule out option B.

By combining the two, we can also rule out option D.

We are left with option  E, our answer.

How many four-digit positive integers exist that contain the block 25 and are divisible by 75. (2250 and 2025 are two such numbers)?
  • a)
    90
  • b)
    63
  • c)
    34
  • d)
    87
  • e)
    62
Correct answer is option 'C'. Can you explain this answer?

EduRev GMAT answered
What will be the form of such 4-digit numbers?
The 4-digit numbers should contain the block 25.
The required 4-digit numbers will be of the form:
a. 25_ _
b. _ 25 _
c. _ _ 25
What is the test of divisibility by 75?
If a number is divisible by 75, then it will be divisible by 25 and 3.
Count the number of 4-digit numbers for three possiblities
a. Numbers of the form 25 _ _ that are divisible by 75
A number of the form 25_ _ is divisible by 25 if its rightmost 2 digits are 00, 25, 50, or 75.
Check which of these numbers are also multiples of 3
Only one number, 2550 satisfies the condition.
b. Numbers of the form _ 25 _ that are divisible by 75
A number of the form _ 25 _ is divisible by 25 if its unit digit is 0.
The 4-digit number will be of the form _ 250
What options exist for the left most digit so that the number is also divisible by 3?
The sum of the right most 3 digits of the number = 2 + 5 + 0 = 7.
If the first digit is 2 or 5 or 8, the sum of the 4 digits will be divisible by 3.
There are three 4-digit numbers that match the form _ 25 _ and are divisible by 75.
c. Numbers of the form _ _ 25 that are divisible by 75
All numbesr of the form _ _ 25 is divisible by 25.
What options exist for the first 2 digits so that the number is also divisible by 3?
We already have a 2 and 5 whose sum is 7. 7 is a multiple of 3 plus 1.
We have a (3k + 1) with us. If we add a (3m + 2), the sum will be 3(k + m) + 1 + 2 = 3(k + m) + 3, which is divisible by 3.
The least 2 digit number that is of the form (3m + 2) is 11.
For example, if 11 takes the 1st 2 places, the number is divisible by 3
11 is not the only such number.
All 2-digit numbers of the form (3m + 2) will work
How many are there? The largest 2-digit number that is of the form 3m + 2 is 98.
And all of these numbers are in arithmetic progression with a common difference of 3
So, apply the arithmetic progression formula to compute the nth term: 98 = 11 + (n - 1)3
3(n - 1) = 87
(n - 1) = 29
Or n = 30
30 such 4-digit numbers exist
Add the count of all three possiblities
1 + 3 + 30 = 34
34 such 4-digit numbers exist
Choice C is the correct answer.

Of the 80 houses in a development, 50 have a two-car garage, 40 have an in-the-ground swimming pool, and 35 have both a two-car garage and an in-the-ground swimming pool. How many houses in the development have neither a two-car garage nor an in-the-ground swimming pool?
  • a)
    10
  • b)
    15
  • c)
    20
  • d)
    25
  • e)
    30
Correct answer is option 'D'. Can you explain this answer?

EduRev GMAT answered
Here, we have two categories: (a) with or without two-car garage, and (b) with or without an in-the-ground pool.  Houses can be members of either, both, or neither category.  We will use a two circle Venn diagram:

We know the total of the group is 80 —– A + B + C + D = 80.  We know the green circle, two-car garages, has 50 members, so A + B = 50.  We know the blue circle, in-the-ground pool, has 40 members, so B + C = 40.  We also know the crucial overlap region, B = 35.  If B = 35, in the green circle, we can deduce that A = 15, and in the blue circle, we can deduce that C = 5.  Then
A + B + C + D = 15 + 35 + 5 + D = 80
D = 25
Thus, 25 houses in this development have neither a two-car garage nor an in-the-ground swimming pool. 

Passage
In the bustling world of technology, a recent exposé titled "Tech Titans and their Ties" has shed light on the intricate relationships between major Silicon Valley players and the startup ecosystem. The author, Jane Anderson, delves into the alliances, partnerships, and financial dealings that shape the landscape of innovation and entrepreneurship.
The exposé begins by highlighting the symbiotic nature of these relationships, emphasizing how established tech giants often invest in or acquire promising startups to stay at the forefront of innovation. Anderson contends that this synergy not only fuels technological advancements but also strategically positions the larger companies as key players in emerging markets.
However, the author doesn't shy away from the darker side of these collaborations. Anderson points out that some tech titans exploit their financial muscle to stifle competition, acquiring startups merely to eliminate potential rivals rather than fostering genuine innovation. The cutthroat tactics employed by these industry behemoths, she argues, can stifle creativity and limit the diversity of ideas in the tech ecosystem.
The exposé then takes a historical turn, drawing parallels between the current state of the tech industry and the corporate landscape of the early 20th century. Anderson suggests that just as monopolies were scrutinized and regulated in the past, there is a growing need for modern antitrust measures to curb the concentration of power within the tech sector. She argues that such regulations are essential to ensure a level playing field for startups and prevent the formation of digital monopolies that could stifle healthy competition.
Q. Which of the following would be the most appropriate title for the passage?
  • a)
    The Rise of Silicon Valley Startups
  • b)
    Innovation Alliances: Tech Titans Unveiled
  • c)
    The Dark Side of Tech Collaborations
  • d)
    Antitrust Measures in the Tech World
  • e)
    Tech Titans: Balancing Act of Power
Correct answer is option 'B'. Can you explain this answer?

EduRev GMAT answered
The title should capture the overall theme and content of the passage. The passage discusses the relationships between major tech players and startups, covering both the positive aspects of innovation alliances and the potential downsides. Option B, "Innovation Alliances: Tech Titans Unveiled," accurately reflects this dual perspective, making it the most appropriate title.
Option A is too focused on startups and does not encompass the broader scope of the passage. Option C focuses on the negative aspects only, overlooking the positive collaborations discussed in the passage. Option D is specific to one aspect (antitrust measures) and doesn't capture the overall theme. Option E introduces the idea of a balancing act but doesn't cover the range of topics discussed in the passage.

If the ratio of the sum of the first 6 terms of a G.P. to the sum of the first 3 terms of the G.P. is 9, what is the common ratio of the G.P?
  • a)
    3
  • b)
    1/3
  • c)
    2
  • d)
    9
  • e)
    1/9
Correct answer is option 'C'. Can you explain this answer?

EduRev GMAT answered
Step 1: Formula to find the sum of first 'n' terms of a GP
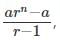
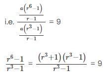
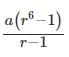
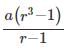
The sum of the first n terms of a G.P. is given by  where 'a' is the first term of the G.P., 'r' is the common ratio and 'n' is the number of terms in the G.P.
Therefore, the sum of the first 6 terms of the G.P will be equal to 
And sum of the first 3 terms of the G.P. will be equal to 
Step 2: Use the ratio between these two sums to find 'r'
The ratio of the sum of the first 6 terms : sum of first 3 terms = 9 : 1
Or r3 + 1 = 9
r3 = 8
r = 2
Choice C is the correct answer.

A newly launched small and medium enterprise (SME) company is seeking a loan to support its new project. The company has received loan proposals from two different banks. As per the proposal from Bank A, the company will be provided with an amount of $250,000 at a simple interest rate of 5% per year. The repayment will be made in 12 equal monthly installments, which will include both the principal amount and the interest.
On the other hand, Bank B has offered to provide 125% of the amount proposed by Bank A, with a simple interest rate of 4%. The repayment will also be made in 12 equal monthly installments, including both the principal and the interest.
In the table below, select in column 1 the remaining amount to be paid after six payments, as per the proposal of Bank A, and in column 2 the remaining amount to be paid after nine payments, as per the proposal of Bank B:
  • a)
    $131,250 and $243,750
  • b)
    $130,800 and $196,875
  • c)
    $131,250 and $81,250
  • d)
    $81,250 and $131,250
  • e)
    $81,250 and $162,500
Correct answer is option 'C'. Can you explain this answer?

Proposal of Bank A
Principal amount: 250,000
Annual interest rate: 5%
Annual interest amount: (5/100) * 250,000 = 12,500
Total amount to repay: 250,000 + 12,500 = 262,500
Installment = 262,500/12 = 21,875
Amount to repay after six months = 262,500 - 131,250 = 131,250
Proposal of Bank B
Principal amount: 125% of the amount proposed by the bank A = 250,000 * 125% = 312,500
Annual interest rate: 4%
Annual interest amount: (4/100) * 312,500 = 12,500
Total amount to repay: 312,500 + 12,500 = 325,000
Installment = 325,000/12 = 27,083.33
Amount to repay after nine months = 325,000 - 243,750 = 81,250

The graph shows the per share price of the stock of three companies at the end of each year between 2002 and 2011.
Based on the given information, fill in the blanks in each of the following statements.
1. Between the end of 2003 and the end of 2007, the stock of ____ experienced the greatest percent appreciation.
2. At the end of 2005, the per share price of Tetrapod, Inc. was approximately ____ times the sum of the per share prices of Quadruped Corp. and FourFeet, Ltd.
  • a)
    Quadruped Corp., 0.34
  • b)
    Tetrapod, Inc, 0.43
  • c)
    FourFeet, Ltd, 0.81
  • d)
    Tetrapod, Inc, 1.23
  • e)
    Quadruped Corp, 0.43
Correct answer is option 'E'. Can you explain this answer?

EduRev GMAT answered
Between the end of 2003 and the end of 2007 the stock of Quadruped appreciated from $15.50 to $18.25. This is a 17.74% increase. The stock of Tetrapod went from $11.50 to $13.25, for a 15.22% increase. Finally, the stock of FourFeet went from $10.75 to$12.50, for a $10.75 to $12.50 increase.
At the end of 2005, the per share price of Tetrapod was $13.00, while the per share prices of Quadruped and FourFeet were $19.50 and $11, respectively, summing up to $30.50. If $13 is x times $30.50, then:

Window 1: News Article in Major Newspaper 
If current trends continue, 24 million men will find themselves bachelors for life by 2020. China’s “one-child policy” has had an unintended effect: the narrowing of the gene pool. Female children are aborted more than 50 percent of the time, because families want a male heir. From 2000 to 2013, the sex-ratio at birth has gradually climbed to 117:100 in favor of male births, meaning that for every 117 boys only 100 girls were born.
Window 2: Interview with Genetic Expert
The one-child policy, first put into effect in the 1980s, was designed to slow the rapid growth of the Chinese people, as that growth was causing severe overcrowding. Leaders believed the policy would protect the country’s resources and improve productivity. Unfortunately, they did not foresee that the long-held preference for male heirs would lead to a substantial gender imbalance.
Since the introduction of the policy, the fertility rate among Chinese women has dropped from just over 3 births per woman to just 1.8. It is estimated that even though the country has reduced births by roughly 50 percent, there are still 1 million more children born each week than people dying, creating a steady increase in population in spite of the law.
Window 3: Commentary on the social side effects 
The gender imbalance resulting from China’s one-child policy has produced noticeable side effects. The more severe this imbalance becomes, the more severe its social side effects will be.
The imbalance causes men who know they are unlikely to form strong family ties to become vagrants. The nation has experienced an increased crime rate that is frequently linked to a large transient population of about 80 million unmarried, low-status, adult males. These individuals are commonly willing to resort to crime to improve their situations, given they have no family ties and perceive that they have nothing to lose.
Q. Consider each of the items listed below. Select Yes if the item can be determined based on the information given in the three sources. Otherwise, select No.
  • a)
    Yes, Yes, No
  • b)
    No, Yes, No
  • c)
    Yes, No, No
  • d)
    No, No, No
  • e)
    Yes, No, Yes
Correct answer is option 'B'. Can you explain this answer?

EduRev GMAT answered
The number of vagrants in the Chinese population: No The percent decrease in fertility rate of Chinese women since the introduction of one child policy: Yes The number of female children expected to be born in China in 2020: No

Studies have established that children who watched 2 more hours of TV on an average daily basis during the first 15 years of their life were 50℅ more likely to be arrested for property crimes in the country. Researchers believe that these studies clearly establish that violence in movies and TV contribute to aggressive behavior in real life. On the other hand, there is no clear evidence that the programs that the kids watched on TV were violent in the first place. Even if we were to accept that TV watching contributed to the increased crime rate, it need not have been because of the nature of the programs. Perhaps, children who watched programs such as Adams and Samson, a funny sit-com about two blundering cops began perceiving all cops as incompetent.
Q. What is the role of the sentences in Underline?
  • a)
    The first establishes a theory that the author later clearly refutes while the second presents the author's conclusion.
  • b)
    The first is an interpretation made by researchers that the author contends against and the second provides an alternative explanation for statistical data.
  • c)
    The first is an opinion expressed by someone other than the author and which the author is completely in disagreement with while the second provides the reason for the author's doubt.
  • d)
    The first is a fact supporting the researcher's conclusion while the second is the author's conclusion.
  • e)
    The first is a clearly proven opinion even if the author disagrees with it while the second is an ambiguous opinion that has no supporting data.
Correct answer is option 'B'. Can you explain this answer?

EduRev GMAT answered
Step 1 of solving this Reasoning Question: Analyzing the Argument
The argument begins by providing details of a study that shows that the kids who watched more TV were more likely to be violent. While a theory exists that the violence portrayed in TV shows is the contributing factor, the author believes that it need not have been violent TV shows but even funny ones that unintentionally motivated crime.
The first statement is the opinion expressed by researchers that the author does not accept. The author questions whether the violence portrayed in TV is the real reason for crime. The author then goes ahead and illustrates an alternative scenario in the second underline statement.
Step 2: Process of Elimination
  • The second statement is a hypothetical scenario that leads to the author's conclusion, which is that the violence in TV and movies need not necessarily contribute to real-life crime. The author's opinion is not explicitly stated anywhere but simply implied. For this reason, Option (A), which says that the second statement is the author's conclusion, can be eliminated.
  • The author is not completely in disagreement with the researchers' belief. The author is willing to accept that TV watching has an impact, just not necessarily watching violent programs on TV. For this reason, Option (C) can be eliminated.
  • The first statement is an opinion expressed by the researchers and not a fact. Option (D), which suggests that the first statement is a fact, can be eliminated. Another problem with option (D) is that the second statement is not really the author's conclusion.
  • Option (E). The opinion of the researchers is simply a belief and not a “clearly proven” opinion. This is reason enough to eliminate (E)
  • The researchers are interpreting the study results to conclude that the violence in TV is responsible for crime. The author disagrees with that contention and presents an alternative possibility in the second underline statement. Option (B) correctly describes what is happening in the argument.
Choice B is the correct answer.

A car drives for 3 hours at 40 mph and then drives 300 miles at 60 mph. What is the car’s average speed, in mph?
  • a)
    45
  • b)
    47.5
  • c)
    50
  • d)
    52.5
  • e)
    55
Correct answer is option 'D'. Can you explain this answer?

EduRev GMAT answered
In the first leg, we know time and rate, so find distance: D = RT = (3)*(40) = 120 miles.
In the second leg, we know distance and rate, so find time: T = R/D = 300/60 = 5 hours.
Total distance = 120 + 300 = 420 miles. Total time = 3 + 5 = 8.
Average velocity = 420/8 = 210/4 = 105/2 = 52.5 mph.


If |x| < 20 and |x – 8| > |x + 4|, which of the following expresses the allowable range for x?
  • a)
    –12 < x < 12
  • b)
    –20 < x < 2
  • c)
    –20 < x < –12 and 12 < x < 20
  • d)
    –20 < x < –8 and 4 < x < 20
  • e)
    –20 < x < –4 and 8 < x < 20
Correct answer is option 'B'. Can you explain this answer?

EduRev GMAT answered
Some folks might think this involves a sophisticated calculation, but much of this can be done with simple spatial analysis. Look at the second inequality, the more complicated one: |x – 8| > |x + 4|. All this says is that we are looking for points such that the distance to x = 8 is greater than the distance from x = –4; in other words, we want all the points that are closer to x = –4 and farther from x = 8.
The midpoint between x = –4 and x = 8 is the point x = 2. This point is not included because it’s equidistant from both points, but everything to the left of this point on the number line is closer to x = –4 than it is to x = 8. That entire complicated inequality simplifies to x < 2.
Combine that with the first inequality, |x| < 20, which in the negative realm means that x must be greater than –20. Thus, the allowed region is –20 < x < 2.
Answer = (B)

Recently, some economists have concluded that the major impediment to job growth in the U.S. is the enormous national debt. While many politicians would like to stimulate job growth by increasing government spending, these economists believe it will have the opposite effect and thus want to cut spending immediately. Historically, when total debt levels exceed 90% of domestic GDP, economic growth falls significantly causing job losses and overall economic malaise. The current U.S. debt is over 96% of GDP, so it is hard to argue the importance of decreasing this percentage and the economists are correct on this point. However, what these economists fail to understand is that cutting spending at this critical juncture would put too much pressure on a fragile economy. In the short term, spending should be left at current levels and revenue should be increased by increasing taxes on wealthy individuals and some corporations. As the economy strengthens, then spending can be decreased with the goal of reducing the debt percentage of GDP to a figure below 90%.
Q. The portions in underline play which of the following roles?
  • a)
    The first underlined portion is an opinion that the author of this argument believes is incorrect; the second underlined portion is support for that opinion.
  • b)
    The first underlined portion is an opinion that the author believes is correct; the second underlined portion is support for that opinion.
  • c)
    The first underlined portion is an opinion that the author of this argument believes is incorrect; the second underlined portion is support for the author’s conclusion.
  • d)
    The first underlined portion is an opinion upon which the author’s conclusion is based; the second underlined portion is evidence that contradicts that conclusion.
  • e)
    The first underlined portion is the author’s conclusion; the second underlined portion is support for that conclusion.
Correct answer is option 'B'. Can you explain this answer?

EduRev GMAT answered
For any underlined question, it is essential that you first understand the complete argument. In this stimulus, it is stated that some economists believe that the enormous debt is the major impediment to job growth. As a result, these economists believe that spending should be cut immediately to reduce the debt. The evidence they give for their argument is that current debt levels are 96% of GDP and when total debt levels exceed 90% of domestic GDP, economic growth falls significantly causing job losses and overall economic malaise. The author of this argument agrees that reducing debt is essential but believes that an immediate reduction of spending would be problematic because the economy is too fragile. His recommendation and conclusion is that spending levels should be left constant in the short term and revenues increased with more taxes. Then, after the economy has recovered, spending should indeed be reduced. In summary, the author agrees with the economists that the major impediment to job growth is the high debt level but disagrees with their short term plan because the economists have not considered the fragile state of the economy. With that understanding of the argument, you must then attack each answer choice to see how the underlined sections are described:
"The first underlined portion is an opinion that the author of this argument believes is incorrect; the second underlined portion is support for that opinion." The author does not believe that first underlined portion is incorrect but rather believes it is correct. He disagrees with their assertion that “spending should be cut immediately” but agrees with this underlined portion. While the second underlined portion is described correctly, "The first underlined portion is an opinion that the author of this argument believes is incorrect; the second underlined portion is support for that opinion." is incorrect because of the description of the first underlined portion.
"The first underlined portion is an opinion that the author of this argument believes is incorrect; the second underlined portion is support for the author’s conclusion." This answer choice also incorrectly describes the first underlined portion. While the second does support the author’s conclusion, "The first underlined portion is an opinion that the author of this argument believes is incorrect; the second underlined portion is support for the author’s conclusion." contains the same error as "The first underlined portion is an opinion that the author of this argument believes is incorrect; the second underlined portion is support for that opinion." with the first underlined portion.
"The first underlined portion is an opinion that the author believes is correct; the second underlined portion is support for that opinion." The first underlined portion is an opinion that the author indeed believes is correct. The second underlined portion is the essential premise for that opinion so "The first underlined portion is an opinion that the author believes is correct; the second underlined portion is support for that opinion." is correct.
"The first underlined portion is an opinion upon which the author’s conclusion is based; the second underlined portion is evidence that contradicts that conclusion." In this choice, it is correct to say for the first underlined portion that the author’s conclusion is based on the opinion that the major impediment to job growth in the U.S. is the enormous national debt. However, the second underlined portion does not contradict the author’s conclusion but rather supports it so "The first underlined portion is an opinion upon which the author’s conclusion is based; the second underlined portion is evidence that contradicts that conclusion." is incorrect
"The first underlined portion is the author’s conclusion; the second underlined portion is support for that conclusion." The first underlined portion is not the author’s conclusion but rather the opinion of several other economists. The author’s conclusion is given in the last two sentences that are not underlined.

A car drives 300 miles at 30 mph, and then 300 miles at 60 miles per hour. What is the car’s average speed, in mph?
  • a)
    36
  • b)
    40
  • c)
    42
  • d)
    45
  • e)
    57
Correct answer is option 'B'. Can you explain this answer?

EduRev GMAT answered
In order to figure out the average velocity, we need to know both the total distance and the total time.
From the question, we know the total distance is 600 miles.
We need to figure out the time of each leg separately.
In the first leg, T = D/R = 300/30 = 10 hr. In the second leg, T = D/R = 300/60 = 5 hours.
The total time is 10 + 5 = 15 hours.
The average velocity, total distance divided by total time, is 600/15 = 40 mph.


ABCD is a square with a side y, and JKLM is a square with side x. If Rectangle S (not shown) with length x + y has the same area as the shaded region above, what is the width of Rectangle S?
  • a)
    X
  • b)
    Y
  • c)
    y - x
  • d)
    y + x
  • e)
    y2 - x2
Correct answer is option 'C'. Can you explain this answer?

EduRev GMAT answered
First of all, notice that the shaded area, quite literally and visually, is the difference of two squares — Area = y2 – x2. We know from the Difference of Two Squares pattern, this factors into:
Area of ABCD = y2 – x2 = (y + x)(y – x)
Rectangle S is supposed to have the same area, and it has a length of y + x, which is one of the factors in the above expression. Therefore, the other factor y–x must be the width of Rectangle S.

Passage
Most educated people of the eighteenth century, such as the Founding Fathers, subscribed to Natural Rights Theory, the idea that every human being has a considerable number of innate rights, simply by virtue of being a human person. When the US Constitution was sent to the states for ratification, many at that time felt that the federal government outlined by the Constitution would be too strong, and that rights of individual citizens against the government had to be clarified. This led to the Bill of Rights, the first ten amendments, which were ratified at the same time as the Constitution. The first eight of these amendments list specific rights of citizens. Some leaders feared that listing some rights could be interpreted to mean that citizens didn’t have other, unlisted rights. Toward this end, James Madison and others produced the Ninth Amendment, which states: the fact that certain rights are listed in the Constitution shall not be construed to imply that other rights of the people are denied
Constitutional traditionalists interpret the Ninth Amendment as a rule for reading the rest of the constitution. They would argue that “Ninth Amendment rights” are a misconceived notion: the amendment does not, by itself, create federally enforceable rights. In particular, this strict reasoning would be opposed to the creation of any new rights based on the amendment. Rather, according to this view, the amendment merely protects those rights that citizens already have, whether they are explicitly listed in the Constitution or simply implicit in people’s lives and in American tradition.
More liberal interpreters of the US Constitution have a much more expansive view of the Ninth Amendment. In their view, the Ninth Amendment guarantees to American citizens a vast universe of potential rights, some of which we have enjoyed for two centuries, and others that the Founding Fathers could not possibly have conceived. These scholars point out that some rights, such as voting rights of women or minorities, were not necessarily viewed as rights by the majority of citizens in late eighteenth century America, but are taken as fundamental and unquestionable in modern America. While those rights cited are protected specifically by other amendments and laws, the argument asserts that other unlisted right also could evolve from unthinkable to perfectly acceptable, and the Ninth Amendment would protect these as-yet-undefined rights.
Q. In the view of James Madison and the other Founding Fathers, the Ninth Amendment limits the power of the central Federal government by
  • a)
    preventing constitutionally listed rights from being viewed as exhaustive
  • b)
    giving the citizens rights in every area not explicitly addressed by the law
  • c)
    codifying a vast universe of federally enforceable rights
  • d)
    guaranteeing, in the text of US Constitution, all rights held by Natural Rights Theory
  • e)
    ensuring all citizens are able to vote and, thus, choose the democratic leaders
Correct answer is option 'A'. Can you explain this answer?

EduRev GMAT answered
(A) is the credited answer.  The Bill of Rights listed certain rights, but Madison and others did not want this list read as if it were “exhaustive” — that is, as if it were a complete list to which nothing else could be added.  This is precisely the motivation for the Ninth Amendment, explained in the first paragraph.
Choice (B) is wrong, because nothing in the passage says that the amendment automatically gives people specific tangible rights.
Choice (C) is wrong, because while the liberals might argue that it supports several rights, these new rights are not “encoded”, that is guaranteed as law.
Choice (D) is wrong, because the passage doesn’t even discuss what rights are held my Natural Rights Theory: furthermore, presumably some of those rights, such as freedom of speech, were already guaranteed in other amendments of the Bill of Rights, so the Ninth Amendment wouldn’t apply to those.
Choice (E) is wrong, because it picks up on a detail of the passage, from modern times, and says it applies to Founding Fathers.   The fundamental voting rights that the Founding Fathers recognized were written explicitly in other parts of the Constitution, and are not in the “unwritten” area covered by the Ninth Amendment.


The dark purple region on the number line above is shown in its entirety. This region is delineated by which of the following inequalities?
  • a)
    10 < |x + 10| < 80
  • b)
    10 < |x – 100| < 80
  • c)
    |x – 20| < 70
  • d)
    |x – 20| < | x – 90|
  • e)
    |x – 55| < 35
Correct answer is option 'E'. Can you explain this answer?

EduRev GMAT answered
Step one: find the midpoint of the region.
The midpoint, halfway between and 20 and 90, is 55.
In other words, 20 and 90 have the same distance from 55, a distance of 35.
These endpoints are not included, but the region includes all the points that have a distance from from x = 55 that is less than 35.
Translating that into math, we get the following:
|x – 55| < 35

A certain voting bloc has how many voters?
(1) If no additional voters are added to the bloc, and 4 of the current voters leave the bloc, there will be fewer than 20 voters.
(2) If 4 more voters join the bloc and all of the present voters remain, there will be at least 27 voters.
  • a)
    Statement (1) ALONE is sufficient, but statement (2) alone is not sufficient
  • b)
    Statement (2) ALONE is sufficient, but statement (1) alone is not sufficient
  • c)
    Both statements TOGETHER are sufficient, but NEITHER statement ALONE is sufficient
  • d)
    EACH statement ALONE is sufficient
  • e)
    Statements (1) and (2) TOGETHER are NOT sufficient
Correct answer is option 'C'. Can you explain this answer?

EduRev GMAT answered
The correct response is (C).
(1) If no additional voters are added to the bloc, and 4 of the current voters leave the bloc, there will be fewer than 20 voters.
We can translate the given information into an inequality: x – 4 < 20, where “x” is the number of current voters. We know x < 24, but we cannot determine an exact value for x.
(2) If 4 more voters join the bloc and all of the present voters remain, there will be at least 27 voters.
We can translate the given information into an inequality: x + 4 ≥ 27. “At least” means there could be 27 OR more than 27 in the bloc. This inequality simplifies to x ≥ 23. We do not know the exact value of x based on this inequality.
Combining both statements we know 23 ≤ x < 24. If x must be less than 24, but greater or equal to 23, the only number that satisfies both conditions is 23.
If you chose (D), keep in mind that each statement alone only allows us to limit the range of possible values for “x,” but not find the actual numerical value. For a “value” DS question, if more than one number is possible, the statement cannot be sufficient.
If you chose (E), you may not have realized that we could have expressed the information in the statements as inequalities. Both statements combined then allow us to limit the range of possible values to one, so combined they are sufficient.

Window 1: Email 1
E-mail from CEO to Project Manager and Designer
I’m concerned about the architect’s renderings for the new building. Those rows and rows of desks seem crowded and unpleasant. Will people have enough space to work? Will they have enough privacy to call a client? We don’t want to create a boiler room atmosphere. We tell our staff that we value creativity. Are we generating their most creative ideas by having them sit elbow to elbow and stare at the same wall? Is a room full of parallel lines the best we can do for design?
Window 2: Email 2
The general rule of thumb for office design is to allow 200 to 250 square feet of usable space per person, but national averages recently seem to have come down to 180 to 220 square feet. The office needs enough space for people to move around the room with ease, but remember that we no longer see people sitting at their desks for long periods of time. Mobile technology has freed them to move around, meet in conference rooms, work in public spaces both indoors and out, and make and take calls on the go. It’s unlikely that we would have everyone at their desks at the same time.
Window 3: Email 3
E-mail from Designer to CEO and Project Manager
Some recent articles suggest that the idea of cubicles or private offices may be a thing of the past. With the growing interest in collaboration, more companies—especially small, creative firms—are moving to open floor plans. When team members are in the office, we’re more interested in having them confer than locking themselves away and working alone. Can we give more space to conference rooms and perhaps consider shared workspaces?
Q. Consider each of the following statements. Does the information in the three sources support the inference as stated?
  • a)
    Yes, No, Yes
  • b)
    No, No, Yes
  • c)
    Yes, Yes, No
  • d)
    No, No, No
  • e)
    Yes, Yes, Yes
Correct answer is option 'A'. Can you explain this answer?

EduRev GMAT answered
Statement 1: In his email, the CEO says the company tells employees that creativity is valued and expresses concern about whether employees will dotheir most creative work in the current design.
Answer: Yes
Statement 2: Although the CEO expresses concern about the desks being placed too close together, there is no information given that would suggest the building as a whole does not have adequate space to meet the needs of the staff.
Answer: No
Statement 3: The project manager notes that mobile technology has freed employees to move about and work in different spaces. The designer talks of collaboration and open floor plans, calling cubicles a thing of the past.
Answer: Yes

If x and y are integers and |x - y| = 12, what is the minimum possible value of xy?
  • a)
    -12
  • b)
    -18
  • c)
    -24
  • d)
    -36
  • e)
    -48
Correct answer is option 'D'. Can you explain this answer?

EduRev GMAT answered
x and y are integers and |x - y| = 12
Approach: Square both sides and solve.
Squaring both sides, we get (x - y)2 = 144
x2 + y2 - 2xy = 144
Add, 4xy to both sides of the equation.
x2 + y2 - 2xy + 4xy = 144 + 4xy
x2 + y2 + 2xy = 144 + 4xy
Or (x + y)2 = 144 + 4xy
(x + y)2 will NOT be negative for real values of x and y.
i.e., (x + y)2 ≥ 0
∴ 144 + 4xy ≥ 0
Or 4xy ≥ -144
So, xy ≥ -36
The least value that xy can take is -36.

Window 1: News Article in Major Newspaper 
If current trends continue, 24 million men will find themselves bachelors for life by 2020. China’s “one-child policy” has had an unintended effect: the narrowing of the gene pool. Female children are aborted more than 50 percent of the time, because families want a male heir. From 2000 to 2013, the sex-ratio at birth has gradually climbed to 117:100 in favor of male births, meaning that for every 117 boys only 100 girls were born.
Window 2: Interview with Genetic Expert
The one-child policy, first put into effect in the 1980s, was designed to slow the rapid growth of the Chinese people, as that growth was causing severe overcrowding. Leaders believed the policy would protect the country’s resources and improve productivity. Unfortunately, they did not foresee that the long-held preference for male heirs would lead to a substantial gender imbalance.
Since the introduction of the policy, the fertility rate among Chinese women has dropped from just over 3 births per woman to just 1.8. It is estimated that even though the country has reduced births by roughly 50 percent, there are still 1 million more children born each week than people dying, creating a steady increase in population in spite of the law.
Window 3: Commentary on the social side effects 
The gender imbalance resulting from China’s one-child policy has produced noticeable side effects. The more severe this imbalance becomes, the more severe its social side effects will be.
The imbalance causes men who know they are unlikely to form strong family ties to become vagrants. The nation has experienced an increased crime rate that is frequently linked to a large transient population of about 80 million unmarried, low-status, adult males. These individuals are commonly willing to resort to crime to improve their situations, given they have no family ties and perceive that they have nothing to lose.
Q. Suppose that over the next 10 years, for every 100 female children born the number of male births reaches 160. If all of the information in the three sources is accurate, the number of male births for every female birth would be closest to ________.
  • a)
    1
  • b)
    2
  • c)
    7
  • d)
    10
  • e)
    16
Correct answer is option 'B'. Can you explain this answer?

EduRev GMAT answered
If there are 160 male births for every 100 female births, then for every 10 females born, 16 males would be born. Reducing the ratio further, for every 1 female born, 1.6 males would be born. This number is rounded up to 2 males for each female.

Chapter doubts & questions for Mock Test - 35 Days Preparation for GMAT 2025 is part of GMAT exam preparation. The chapters have been prepared according to the GMAT exam syllabus. The Chapter doubts & questions, notes, tests & MCQs are made for GMAT 2025 Exam. Find important definitions, questions, notes, meanings, examples, exercises, MCQs and online tests here.

Chapter doubts & questions of Mock Test - 35 Days Preparation for GMAT in English & Hindi are available as part of GMAT exam. Download more important topics, notes, lectures and mock test series for GMAT Exam by signing up for free.

35 Days Preparation for GMAT

171 videos|269 docs|181 tests

Top Courses GMAT