All Exams  >   NEET  >   NEET Past Year Papers  >   All Questions

All questions of Units and Measurements for NEET Exam

The dimensions of universal gravitational constant are [1992, 2004]
  • a)
    M–2 L2 T–1
  • b)
    M–1  L3 T–2
  • c)
    M L2 T–1
  • d)
    M–2 L3 T–2
Correct answer is option 'B'. Can you explain this answer?

Pankaj Datta answered
L3 T-2(b)M-1 L3 T-2(c)M-2 L3 T-2(d)M L3 T-2

The correct answer is (b) M-1 L3 T-2.

Universal gravitational constant, denoted by G, is defined as the proportionality constant in the law of universal gravitation. According to this law, the force of attraction between two point masses is directly proportional to the product of their masses and inversely proportional to the square of the distance between them.

Therefore, the dimensions of G can be derived by equating the dimensions of force, mass, and distance in the above equation.

Dimensions of force = M L T-2
Dimensions of mass = M
Dimensions of distance = L

Substituting these values in the equation, we get:

M L T-2 = G (M2/L2)

On simplifying, we get:

G = M-1 L3 T-2

Hence, the dimensions of universal gravitational constant are M-1 L3 T-2.

The ratio of the dimension of Planck’s constant and that of the moment of inertia is the dimension of [2005]
  • a)
    time
  • b)
    frequency
  • c)
    angular momentum
  • d)
    velocity
Correct answer is option 'B'. Can you explain this answer?

Rohan Pillai answered
The Planck length is approximately 1.616229 x 10^-35 meters, and the Planck time is approximately 5.39116 x 10^-44 seconds.

The ratio of the Planck length to the Planck time can be calculated as:

(1.616229 x 10^-35 m) / (5.39116 x 10^-44 s) = 2.998 x 10^8 m/s

This ratio represents the speed of light in a vacuum, which is a fundamental constant in physics.

Which two of the following five physical parameters have the same dimensions?
(A) Energy density [2008]
(B) Refractive index
(C) Dielectric constant
(D) Young’s modulus
(E) Magnetic field
  • a)
    (B) and (D)
  • b)
    (C) and (E)
  • c)
    (A) and (D)
  • d)
    (A) and (E)
Correct answer is option 'C'. Can you explain this answer?

Meghana Dey answered
Understanding Physical Parameters
In this problem, we need to identify which two physical parameters have the same dimensions. Let's break down each option:
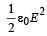
Energy Density
- Energy density is defined as energy per unit volume.
- Its dimensions can be expressed as [Energy]/[Volume].
- Energy has dimensions of ML²T⁻², and volume has dimensions of L³.
- Thus, the dimensions of energy density are ML⁻¹T⁻².
Refractive Index
- The refractive index is a dimensionless quantity.
- It is the ratio of the speed of light in vacuum to the speed of light in a medium.
- Therefore, it has no dimensions.
Dielectric Constant
- The dielectric constant is also dimensionless.
- It represents the ability of a medium to store electrical energy in an electric field.
- Like the refractive index, it has no dimensions.
Young's Modulus
- Young's modulus is a measure of the stiffness of a material.
- It is defined as stress/strain.
- Stress has dimensions of ML⁻¹T⁻² and strain is dimensionless.
- Thus, the dimensions of Young's modulus are also ML⁻¹T⁻².
Magnetic Field
- The magnetic field (B) has dimensions of force per unit charge per unit velocity.
- Its dimensions can be expressed as [MLT⁻²]/[Q][L/T] = MLT⁻²Q⁻¹.
Conclusion
From the analysis, we find:
- Energy density and Young's modulus both share the dimensions of ML⁻¹T⁻².
- Options (B) and (C) are dimensionless, while (E) has different dimensions.
Thus, the correct answer is option C: (A) and (D), as they both have the same dimensions.

Dimensions of resistance in an electrical circuit, in terms of dimension of mass M, of length L, of time T and of current I, would be [2007]
  • a)
    ML2T–2
  • b)
    ML2T–1I–1
  • c)
    ML2T–3I–2
  • d)
    ML2T–3I–1
Correct answer is option 'C'. Can you explain this answer?

Palak Basak answered
The dimensions of resistance in an electrical circuit can be derived using Ohm's Law, which states that resistance (R) is equal to voltage (V) divided by current (I):

R = V/I

The dimensions of voltage can be represented as [ML2T-3I-1] (mass, length, time, and current), and the dimensions of current can be represented as [I] (current).

Therefore, the dimensions of resistance can be determined by dividing the dimensions of voltage by the dimensions of current:

[R] = [ML2T-3I-1] / [I]

Simplifying this expression:

[R] = [ML2T-3]

Therefore, the dimensions of resistance in an electrical circuit, in terms of mass (M), length (L), time (T), and current (I), would be a) ML2T.

Which of the following is a dimensional constan t? [1995]
  • a)
    Refractive index
  • b)
    Poisson s ratio
  • c)
    Relative density
  • d)
    Gravitational constant
Correct answer is option 'D'. Can you explain this answer?

Kusum answered
Gravitational constant also known as universal gravitational constant has a symbol G and has a dimension [M-¹L³T-²] while others are dimensionless constant.

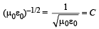
The percentage errors in the measurement of mass and speed are 2% and 3% respectively.The error in kinetic energy obtained by measuring mass and speed will be [1995]
  • a)
    12 %
  • b)
    10 %
  • c)
    8 %
  • d)
    2 %
Correct answer is option 'C'. Can you explain this answer?

Aashna Rane answered
Given information:

- Percentage error in mass measurement = 2%
- Percentage error in speed measurement = 3%

To find:

- The error in kinetic energy obtained by measuring mass and speed.

Solution:

Formula for kinetic energy:

The formula for kinetic energy (KE) is given by:

KE = (1/2)mv²

where:
- KE is the kinetic energy,
- m is the mass,
- v is the speed.

Error in kinetic energy:

The error in kinetic energy can be calculated using the formula for relative error. The relative error is given by:

Relative error = (error in quantity) / (actual quantity)

Error in mass:

Given that the percentage error in mass measurement is 2%, the error in mass can be calculated as:

Error in mass = (2/100) * mass

Error in speed:

Given that the percentage error in speed measurement is 3%, the error in speed can be calculated as:

Error in speed = (3/100) * speed

Error in kinetic energy:

To find the error in kinetic energy, we need to calculate the derivative of the kinetic energy formula with respect to both mass and speed:

dKE/dm = (1/2) * v²
dKE/dv = m * v

Using the formula for relative error, the error in kinetic energy can be calculated as:

Error in kinetic energy = [(dKE/dm) * (error in mass)] + [(dKE/dv) * (error in speed)]

Substituting the calculated values:

Error in kinetic energy = [(1/2) * v² * (2/100) * mass] + [m * v * (3/100) * speed]
Error in kinetic energy = (1/100) * (v² * mass + 3 * m * v * speed)

Calculating the percentage error:

To find the percentage error, we need to divide the error in kinetic energy by the actual kinetic energy and multiply by 100:

Percentage error = (Error in kinetic energy / Actual kinetic energy) * 100

Since we do not know the actual kinetic energy, we cannot calculate the exact percentage error. However, we can simplify the equation for the error in kinetic energy:

Percentage error = (1/100) * (v² * mass + 3 * m * v * speed) / Actual kinetic energy * 100

From the equation, we can see that the percentage error depends on the actual kinetic energy. Without knowing the actual kinetic energy, we cannot determine the exact percentage error. Therefore, the answer cannot be determined without additional information.

The pair of quantities having same dimensions is [NEET Kar. 2013]
  • a)
    Young’s modulus and energy
  • b)
    impulse and surface tension
  • c)
    angular momentum and work
  • d)
    work and torque
Correct answer is option 'D'. Can you explain this answer?

Arnav Iyer answered
Work = Force ×  displacement Torque = Force × force arm              
= mass × acceleration × length              
= [M] × [LT–2] × [L] = [M L2T–2]

Chapter doubts & questions for Units and Measurements - NEET Past Year Papers 2025 is part of NEET exam preparation. The chapters have been prepared according to the NEET exam syllabus. The Chapter doubts & questions, notes, tests & MCQs are made for NEET 2025 Exam. Find important definitions, questions, notes, meanings, examples, exercises, MCQs and online tests here.

Chapter doubts & questions of Units and Measurements - NEET Past Year Papers in English & Hindi are available as part of NEET exam. Download more important topics, notes, lectures and mock test series for NEET Exam by signing up for free.

Top Courses NEET

Related NEET Content