All Exams  >   JEE  >   Chapter-wise Tests for JEE Main & Advanced  >   All Questions

All questions of Liquid state for JEE Exam

The temperature in Celsius scale can be converted into Kelvin scale
  • a)
    By dividing it with 273
  • b)
    By subtracting 273.15 from it
  • c)
    By multiplying it with 273
  • d)
    By adding 273.15 to it
Correct answer is option 'D'. Can you explain this answer?

Krishna Iyer answered
To convert from Celsius to Kelvin you use the following formula:
Celsius temperature + 273.15 = Kelvin Temperature
For example:
26 °Celsius + 273.15 = 299.15 Kelvin
The Kelvin temperature scale was designed so that it starts at absolute zero. In Kelvin, absolute zero is equal to 0 degrees. In Celsius, absolute zero is equal to −273.15 degrees.
Therefore, you need to add 273.15 to the Celsius temperature to get to the Kelvin temperature.
Note: Kelvin does not use the degree symbol, °.

Select the correct statement(s).
  • a)
    Cohesive forces are the intermolecular forces between like molecules and adhesive forces are between unlike molecules
  • b)
    A drop maintains its shape if cohesive forces are stronger than adhesive forces
  • c)
    If cohesive forces are weak compared to adhesive forces, drop collapses and spreads into film
  • d)
    Cohesive forces in mercury, consiste of metallic bonds between atoms, are strong; thus it does not wet glass
Correct answer is option 'A,B,C,D'. Can you explain this answer?

Om Desai answered
a) True, cohesive forces are intermolecular forces between like molecules and adhesive forces between unlike molecules.
b) True, only due to cohesive force, all the molecules of droplets(which are like molecule) are attracted towards each other to form drop
c) True, if the cohesive force becomes weak as to adhesive forces, then there will be no force to bind water molecules and the drop will collapse and spread into film.
d) True, It's only due to cohesive force that mercury doesn’t wet the glass.

he number of elements that exists in gaseous state under normal atmospheric conditions is
  • a)
    15
  • b)
    10
  • c)
    5
  • d)
    11
Correct answer is option 'D'. Can you explain this answer?

Hansa Sharma answered
A look at the periodic table shows us that there are 11 elements in the table that exist in the gaseous state at room temperature. These elements are Hydrogen, Helium, Nitrogen, Oxygen, Fluorine,  Chlorine, Neon, Argon, Krypton, Xenon, and Radon.

In comparing gases with liquids , gases have ........ compressibility and...........density.
  • a)
    greater, smalle
  • b)
    greater, greater
  • c)
    smaller, smaller
  • d)
    smaller, greater
Correct answer is option 'A'. Can you explain this answer?

Neha Patel answered
In a gas, the distance between molecules, whether monatomic or polyatomic, is very large compared with the size of the molecules; thus gases have a low density and are highly compressible.Density: The molecules of a liquid are packed relatively close together. Consequently, liquids are much denser than gases.

Hydrogen bonding reduces the quality of water molecules to
  • a)
    repel
  • b)
    attract
  • c)
    compactly arrange
  • d)
    slide over each other
Correct answer is option 'D'. Can you explain this answer?

Shreya Gupta answered
Hydrogen bonding is a type of attractive force that occurs between molecules when a hydrogen atom is covalently bonded to a highly electronegative atom, such as oxygen, nitrogen, or fluorine. In water molecules, hydrogen bonding occurs between the positively charged hydrogen atoms of one water molecule and the negatively charged oxygen atoms of another water molecule. These hydrogen bonds cause the water molecules to attract each other and stick together, which gives water many of its unique properties, such as its high surface tension and its ability to act as a solvent. The hydrogen bonds do not cause the water molecules to repel each other or to compactly arrange, but they do make it more difficult for the molecules to slide over each other, which contributes to the high viscosity of water.

 Dry O2 is:
  • a)
    Same as moist O2
  • b)
    Lighter than moist O2
  • c)
    Lighter than dry air
  • d)
    Heavier than moist O2
Correct answer is option 'D'. Can you explain this answer?

Pooja Shah answered
The amount of water vapor in the air also affects the density. Water vapor is a relatively light gas when compared to diatomic Oxygen and diatomic Nitrogen. Thus, when water vapor increases, the amount of Oxygen and Nitrogen decrease per unit volume and thus density decreases because mass is decreasing.

Surface tension of water is 73 dynes cm -1 at 20° C. If surface area is increased by 0.10 m2, work done is
  • a)
    7.3 erg
  • b)
    7.3 x 10erg
  • c)
    7.3 J
  • d)
    0.73 J
Correct answer is option 'B'. Can you explain this answer?

Lavanya Menon answered
Work done = surface tension×Change in area
Surface tension = 73 dyne cm-1 or 73 x 10-3 N/m
Area = 0.10 m2
So, work done = 73×10-3 x 0.10
= 73 x 10-4 J or 73×10-4 x 107 erg
= 7.3×104 erg

Which of the following properties of water can be used to explain the spherical shape of rain droplets?
  • a)
    Viscosity
  • b)
    Surface tension
  • c)
    Critical phenomenon
  • d)
    Vapour pressure
Correct answer is option 'B'. Can you explain this answer?

Naina Bansal answered
A simple way to form a drop is to allow liquid to flow slowly from the lower end of a vertical tube of small diameter. The surface tension of the liquid causes the liquid to hang from the tube, forming a pendant. When the drop exceeds a certain size it is no longer stable and detaches itself. The falling liquid is also a drop held together by surface tension.

The correct value of R is - [aieee-2002]
  • a)
    R = 0.082 litre-atm
  • b)
    R = 8.314 × 107 erg K-1 mol-1
  • c)
    R = 2 k-1 mol-1
  • d)
     None
Correct answer is option 'B'. Can you explain this answer?

Lavanya Menon answered
The different values of R are as follow:-
8.314 J mol-1 K-1, 8.314×107 erg mol-1 K-1, 0.0821 atm-lit mol-1 K-1 or 2 cal mol-1 K-1

Intermolecular forces can be out of the following.
  • a)
    van der Waais' forces
  • b)
    Electrostatic forces existing between two oppositely charged ions
  • c)
    Covalent bond between two like atoms
  • d)
    Gravitational force
Correct answer is option 'A'. Can you explain this answer?

Shreya Gupta answered
In molecular physics, the van der Waals forces, named after Dutch scientist Johannes Diderik van der Waals, are distance-dependent interactions between atoms or molecules. Unlike ionic or covalent bonds, these attractions are not a result of any chemical electronic bond, and they are comparatively weak and more susceptible to being perturbed. Van der Waals forces quickly vanish at longer distances between interacting molecules.

Van der Waals forces play a fundamental role in fields as diverse as supramolecular chemistry, structural biology, polymer science, nanotechnology, surface science, and condensed matter physics. Van der Waals forces also define many properties of organic compounds and molecular solids, including their solubility in polar and non-polar media.

Normal boiling point is
  • a)
    The boiling point at 1 bar pressure.
  • b)
    The boiling point at 1 atm pressure.
  • c)
    The boiling point at 2 bar pressure.
  • d)
    The temperature at which a liquid converts to gas.
Correct answer is option 'B'. Can you explain this answer?

Hansa Sharma answered
The boiling point of a liquid at 1 atm is also known as the normal boiling point. It has been found that Helium has the lowest normal boiling point (−268.9 °C) because it has very weak intermolecular attractions. Liquids that have high vapour pressures and low boiling points are known to be volatile, which means they evaporate quickly at room temperature. When the temperature increases, molecules start entering the gaseous state, consequently increasing the vapor pressure of the liquid until it comes into equilibrium with the atmospheric pressure.

Van der waals forces include the following except
  • a)
    London forces
  • b)
    dipole - dipole forces 
  • c)
    dipole- include dipole forces
  • d)
    chemical bonding forces
Correct answer is option 'D'. Can you explain this answer?

Om Desai answered
Chemical bonding forces are not considered to be part of van der Waals forces. Van der Waals forces include London forces, dipole-dipole forces, and dipole-induced dipole forces.
 

The mass of 112 ml of N2 at STP on liquefaction is:
  • a)
    0.84 g
  • b)
    0.56 g
  • c)
    0.28 g
  • d)
    0.14 g
Correct answer is option 'D'. Can you explain this answer?

Neha Sharma answered
Number of moles when condition of STP is given by given volume divided by 22400 this will give number of moles and after that number of moles X molecular mass will give the mass of the given sample.

Direction (Q. Nos. 16 and 17) This section contains 2 questions. when worked out will result in an integer from 0 to 9 (both inclusive).
Q. The vapour pressure of benzene C6H6 at 298 K is 95 torr. After 10.00 g of benzene is injected into a 10.0 L bulb at 298 K, how many grams of benzene remain as liquid?
    Correct answer is '5'. Can you explain this answer?

    Question Analysis


    The question provides the initial conditions of a system (vapour pressure of benzene at 298 K) and asks for the final state of the system (grams of benzene remaining as liquid after injection into a bulb). To solve this problem, we need to apply the concept of vapour pressure and use the ideal gas law.

    Solution


    Step 1: Calculate the number of moles of benzene


    Given:
    - Mass of benzene (m) = 10.00 g
    - Molar mass of benzene (M) = 78.11 g/mol

    Using the formula:
    Number of moles (n) = mass / molar mass

    Substituting the given values:
    n = 10.00 g / 78.11 g/mol
    n ≈ 0.128 mol

    Step 2: Calculate the initial number of moles of benzene in the vapor phase


    Given:
    - Total volume of the bulb (V) = 10.0 L
    - Vapour pressure of benzene (P) = 95 torr

    Using the ideal gas law:
    PV = nRT

    Rearranging the formula:
    n = PV / RT

    Substituting the given values:
    n = (95 torr) * (10.0 L) / (0.0821 L·atm/mol·K) * (298 K)
    n ≈ 3.84 mol

    Step 3: Calculate the number of moles of benzene in the liquid phase


    Given:
    - Initial number of moles of benzene = 0.128 mol
    - Number of moles of benzene in the vapor phase = 3.84 mol

    Using the law of conservation of mass:
    Number of moles of benzene in the liquid phase = Initial number of moles - Number of moles in the vapor phase

    Substituting the given values:
    Number of moles of benzene in the liquid phase = 0.128 mol - 3.84 mol
    Number of moles of benzene in the liquid phase ≈ -3.712 mol

    Step 4: Calculate the mass of benzene remaining as liquid


    Given:
    - Molar mass of benzene (M) = 78.11 g/mol

    Using the formula:
    Mass of benzene remaining as liquid = Number of moles of benzene in the liquid phase * Molar mass of benzene

    Substituting the given values:
    Mass of benzene remaining as liquid = -3.712 mol * 78.11 g/mol
    Mass of benzene remaining as liquid ≈ -289.57 g

    Since mass cannot be negative, the negative sign indicates an error in the calculations.

    Step 5: Identifying the error and correcting it


    The error in the calculations is likely due to the assumption that all the benzene injected into the bulb vaporizes. However, in reality, only a fraction of the benzene will vaporize based on its vapour pressure.

    To correct the error, we need to determine the fraction of benzene that vaporizes and subtract it from the initial mass of benzene.

    Step 6: Calculate the fraction of benz

    If Z is a compressibility factor, van der Waals equation at low pressure can be written as: [JEE M 2014]
    • a)
    • b)
    • c)
    • d)
    Correct answer is option 'B'. Can you explain this answer?

    Hansa Sharma answered
    Compressibility factor (Z) = 
    (For one mole of real gas) van der Waals equation
    At low pressure, volume is very large and hence correction term b can be neglected in comparison to very large volume of V.
    i.e. 
    Hence, 

    Thermal energy is directly proportional to:
    • a)
      Temperature of the surrounding
    • b)
      Temperature of the substance
    • c)
      Density
    • d)
      Pressure
    Correct answer is option 'B'. Can you explain this answer?

    Krishna Iyer answered
    Thermal energy is the sum of all the random kinetic energies of the molecules in a substance, that is, the energy in their motions. The higher the temperature, the greater the thermal energy. On the Kelvin temperature scale, thermal energy is directly proportional to temperature.

    A gaseous hydrocarbon gives upon combustion 0.72 g of water and 3.08 g. of CO2. The empirical formula of the Hydrocarbon is : [Jee(Main) 2013, 3/120]
    • a)
       C2H
    • b)
      C3H4
    • c)
      C6H5
    • d)
      C7H8
    Correct answer is option 'D'. Can you explain this answer?

    Naina Bansal answered
    General equation for combustion of hydrocarbon:

    CxHy + (x+ y/4)O2 → xCO2 + (y/2)H2O

    Number of moles of CO2 produced = 3.08/44 = 0.07

    Number of moles of H2O produced = 0.72/18 = 0.04

    SO, x / (y/2) = 0.07/0.04 =  7/4

    The formula of hydrocarbon is C7H8

    Hence, the correct option is D.

    The no. of moles per litre in the equation PV = nRT is expressed by - [aieee-2002]
    • a)
       
    • b)
       
    • c)
        
    • d)
      None
    Correct answer is option 'A'. Can you explain this answer?

    See qn . given .....per litre..... that means v=1.Then look at options If any option don't contain V that will be answer otherwise select ...none ...Hence option A correct.

    In van der Waals equation of state of the gas law, the constant `b' is a measure of -
    [AIEEE-2004]
    • a)
       Intermolecular repulsions
    • b)
       Intermolecular attraction
    • c)
      Volume occupied by the molecules
    • d)
       Intermolecular collisions per unit volume
    Correct answer is option 'C'. Can you explain this answer?

    Lavanya Menon answered
    The correct answer is Option C.
    In van der Waals equation of state of the gas law, the constant b is a measure of the volume occupied by the molecules. 
     
    It gives the effective size of the gas molecules. The greater value of b indicates a larger size of the molecules and smaller compressible volume.

    Dipole-dipole interaction energy between stationary polar molecules is proportional to x and that between rotating molecules is proportional to y. Assume distance between polar molecules as r, then x and y are
    • a)
    • b)
    • c)
    • d)
    Correct answer is option 'B'. Can you explain this answer?

    Dipole-dipole interaction energy between stationary polar molecules is proportional to 1/ r3 and that between rotating polar molecules is proportional to 1/ r6 where ‘r’ is the distance between polar molecules
    Besides dipole - dipole interaction, polar molecules can interact by London forces also.

    Atom which must be present in hydrogen bonding is
    • a)
      hydrogen
    • b)
      sodium
    • c)
      calcium
    • d)
      sulphur
    Correct answer is option 'A'. Can you explain this answer?

    Nandini Patel answered
    A hydrogen bond is the attractive force between the hydrogen attached to an electronegative atom of one molecule and an electronegative atom of a different molecule. Usually the electronegative atom is oxygen, nitrogen, or fluorine, which has a partial negative charge. The hydrogen then has the partial positive charge.

    Based on the following statements I and IS, select the correct answer from the codes given.
    Statement I
    Three states of matter are the result of balance between intermolecular forces and thermal energy of the molecules.
    Statement II
    Intermolecular forces tend to keep the molecules together but thermal energy of molecules tends to keep them apart.
    • a)
      Both Statement I and Statement II are correct and Statement II is the correct explanation of Statement I
    • b)
      Both Statement I and Statement II are correct and Statement II is not the correct explanation of Statement I
    • c)
      Statement I is correct but Statement il is incorrect
    • d)
      Statement II is correct but Statement I is incorrect
    Correct answer is option 'A'. Can you explain this answer?

    Geetika Shah answered
    Thermal energy is the energy of a body arising from motion of its atoms or molecules. It is directly proportional to the temperature of the substance. It is the measure of average kinetic energy of the particles of the matter and is thus responsible for movement of particles. This movement of particles is called thermal motion. We have already learnt that intermolecular forces tend to keep the molecules together but thermal energy of the molecules tends to keep them apart. Three states of matter are the result of balance between intermolecular forces and the thermal energy of the molecules.

    Among the following sentences the one that is false about gases is
    • a)
      Gases have low densities
    • b)
      The gases mix evenly and uniformly without any mechanical aid.
    • c)
      The pressure exerted by gases on the walls of the container is equal in all the directions.
    • d)
      Gases are highly compressible because their molecules are very tightly packed.
    Correct answer is option 'D'. Can you explain this answer?

    Raghav Bansal answered
    Gasses are highly compressible because it is less dense than other states of matter. it's intermolecular force of attraction is less and it has more space between the molecules. Therefore, it is easy to compress gas.
    While, solids are almost incompressible. This is because the intermolecular force of attraction in solids is greater compared to other states of matter. The moles in solids are tightly packed. Therefore, solids are almost incompressible.

    Choose the correct statement with respect to the vapour pressure of a liquid among the following.
    • a)
      Increases linearly with increasing temperature
    • b)
      Increases non-linearly with increasing temperature
    • c)
      Decreases linearly with increasing temperature
    • d)
      Decreases non-linearly with increasing temperature
    Correct answer is option 'B'. Can you explain this answer?

    Sarita Yadav answered
    Vapour pressure is defined as the pressure exerted by the vapours above the liquid surface in equilibrium with the liquid at a given temperature. The vapour pressure of a liquid increases non-linearly with increasing temperature.
    This is because kinetic energy is the function of temperature which means that as the temperature is increased, more molecules will have greater kinetic energies and thus they can escape from the surface of the liquid to the vapour phase resulting in higher vapour pressure.

    Arrange ortho, meta and para-nitrophenols in increasing boiling points
    • a)
      para < meta < ortho
    • b)
      ortho < para < meta
    • c)
      ortho = para = meta
    • d)
      ortho < meta < para
    Correct answer is option 'D'. Can you explain this answer?

    Lavanya Menon answered
    Para has max packing efficiency due to its symmetrical structure and it also forms intermolecular H-bonds. Meta derivative has comparatively low packing efficiency but forms intermolecular H-bonds and ortho derivative has the least packing efficiency and does not form intermolecular hydrogen bonds instead it forms intramolecular hydrogen bond which doesn't have any role in increasing the boiling point.

    Kinetic theory of gases proves [2002]
    • a)
      only Boyle’s law
    • b)
      only Charles’ law
    • c)
      only Avogadro’s law
    • d)
      All of these.
    Correct answer is option 'D'. Can you explain this answer?

    Avantika Joshi answered
    (d) : Explanation of the Gas Laws on the basis of Kinetic Molecular Model One of the postulates of kinetic theory of gases is

    (i) Boyle’s Law :
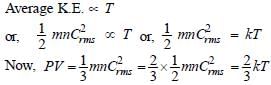
    1. Constant temperature means that the average kinetic  energy of the gas molecules remains constant.
    2. This means that the rms velocity of the molecules, Crms remains unchanged.
    3. If the rms velocity remains unchanged, but the volume increases, this means that there will be fewer collisions with the container walls over a given time.
    4. Therefore, the pressure will decrease


    (ii) Charles’ Law :
    1. An increase in temperature means an increase in the average kinetic energy of the gas molecules, thus an increase in crms. 
    2. There will be more collisions per unit time, furthermore, the momentum of each collision increases (molecules strike the wallharder). 
    3. Therefore, there will be an increase in pressure. 
    4. If we allow the volume to change to maintain constant pressure, the volume will increase with increasing temperature (Charles law). 

    (iii) Avogadro’s Law
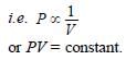
    It states that under similar conditions of pressure and temperature, equal volume of all gases contain equal number of molecules. Considering

    Standard enthalpy of vaporization is taken at:
    • a)
      273 K
    • b)
      0°C
    • c)
      25°C
    • d)
      298 K
    Correct answer is option 'D'. Can you explain this answer?

    The problem deals with variation of enthalpy with temperature (Kirchhoff's Law). The standard enthalpy of vaporization of water at 298 K and 1 bar is thus: The heat absorbed to vaporize m = 250 g of water at 298 K and 1 bar: This is the energy content of two slices of dry toast.

     Which one will have higher value of enthalpy of vaporization:
    • a)
      Liquid having weak hydrogen bonds
    • b)
      Liquid having strong attractive forces
    • c)
      Liquid having no attractive forces
    • d)
      Liquid having weak attractive forces
    Correct answer is option 'B'. Can you explain this answer?

    Anmol Chauhan answered
    Higher value of enthalpy of vaporization means that we need to give high heat for the given liquid to vapour. So this is possible with only option b because with only option b, there is enough strong attractive force which we need to overcome by providing the most amount of heat in all the given cases.

    Chapter doubts & questions for Liquid state - Chapter-wise Tests for JEE Main & Advanced 2025 is part of JEE exam preparation. The chapters have been prepared according to the JEE exam syllabus. The Chapter doubts & questions, notes, tests & MCQs are made for JEE 2025 Exam. Find important definitions, questions, notes, meanings, examples, exercises, MCQs and online tests here.

    Chapter doubts & questions of Liquid state - Chapter-wise Tests for JEE Main & Advanced in English & Hindi are available as part of JEE exam. Download more important topics, notes, lectures and mock test series for JEE Exam by signing up for free.

    Top Courses JEE

    Related JEE Content