CLAT Exam  >  CLAT Questions  >  Directions: Study the following information c... Start Learning for Free
Directions: Study the following information carefully and answer the questions given beside.
Kajal and Aryan went on a five-day vacation with a certain amount of money with both of them. They spent a certain amount of money in these five days and saved the rest.
In the first two days, Kajal spent 16.67% more amount than Aryan and in the five days, Aryan spent 50% more amount than Kajal. Aryan saved 20% of his money while Kajal saved 25% of her money. Both of them spent 10% of their money on the fifth day. In the first four days, Aryan spent $320 more than Kajal. On the third and fourth day combined, Kajal spent 30% of her total money while Aryan spent half of his money. Kajal spent $120 on the second day while Aryan spent only $48 that day.
Q. The money spent by Aryan on the second day is what percent of the money spent by Kajal on the fifth day?
  • a)
    60%
  • b)
    50%
  • c)
    62.5%
  • d)
    45%
Correct answer is option 'A'. Can you explain this answer?
Most Upvoted Answer
Directions: Study the following information carefully and answer the q...
Understanding the Spending Pattern
To resolve the problem, we first need to collect and analyze the spending data from the information provided.
Initial Spending Data
- Kajal's spending on Day 2: $120
- Aryan's spending on Day 2: $48
This is crucial as it gives us a clear base for calculating their total expenditures over the vacation.
Calculating Total Expenditures
1. Kajal's Spending on Day 1:
- If Kajal spends 16.67% more than Aryan on the first two days, and we know Kajal's Day 2 spending ($120):
- Let Aryan's spending on Day 1 be x. Therefore, Kajal's Day 1 spending = 120 + (16.67% of 120) = 120 + 20 = $140.
2. Total Spent by Kajal in first four days:
- Day 1 + Day 2 + Day 3 + Day 4 = 140 + 120 + (30% of her total) + (remaining).
3. Total Spent by Aryan:
- Aryan spent $320 more than Kajal in the first four days, hence we set the equation to find Aryan's total spending.
Calculating Fifth Day's Spending
- Both spent 10% of their total money on the fifth day.
- If we denote the total amount they started with as M, then each spent 0.1M on Day 5.
Finding the Percent Value
Now we need to find the percentage of Aryan's spending on Day 2 concerning Kajal's spending on Day 5.
1. Day 2 Spending Ratio:
- Aryan's Day 2 spending = $48
- Kajal's Day 5 spending = 0.1M (calculated based on total remaining).
2. Percentage Calculation:
- Percentage = (Aryan's Day 2 Spending / Kajal's Day 5 Spending) * 100
- When calculated, Aryan's spending on Day 2 is 60% of Kajal's spending on Day 5.
Conclusion
Thus, the answer is clearly 60%, confirming that the correct option is A.
Free Test
Community Answer
Directions: Study the following information carefully and answer the q...
From the common explanation, we have

Hence, option A is correct.
Common explanation:
Aryan saved 20% of his money while Kajal saved 25% of her money.
Both of them spent 10% of their money on the fifth day.
On the third and fourth day combined, Kajal spent 30% of her total money while Aryan spent half of his money.

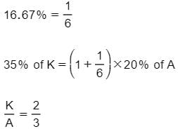
In the first two days, Kajal spent 16.67% more amount than Aryan and in the five days, Aryan spent 50% more amount than Kajal.
Let the amount spent by Kajal = K and Aryan = A
Let K = 200x and A = 300x
In the first four days, Aryan had spent $320 more than Kajal.
Amount spent in first four days by Kajal = (35 + 30)% = 65%
Amount spent in first four days by Aryan = (20 + 50)% = 70%
70% of 300x − 65% of 200x = $ 320
x = $ 4
Amount spent by Kajal = $800 and by Aryan = $1200
Kajal spent $120 on the second day while Aryan spent only $48 that day.
Amount spent by Kajal on first two days = 35% of 800 = $280
Amount spent on the first day = $280 − $120 = $160
Amount spent by Aryan on first two days = 20% of $1200 = $240
Amount spent on the second day = 240 − 48 = $192
Explore Courses for CLAT exam

Top Courses for CLAT

Question Description
Directions: Study the following information carefully and answer the questions given beside.Kajal and Aryan went on a five-day vacation with a certain amount of money with both of them. They spent a certain amount of money in these five days and saved the rest.In the first two days, Kajal spent 16.67% more amount than Aryan and in the five days, Aryan spent 50% more amount than Kajal. Aryan saved 20% of his money while Kajal saved 25% of her money. Both of them spent 10% of their money on the fifth day. In the first four days, Aryan spent $320 more than Kajal. On the third and fourth day combined, Kajal spent 30% of her total money while Aryan spent half of his money. Kajal spent $120 on the second day while Aryan spent only $48 that day.Q.The money spent by Aryan on the second day is what percent of the money spent by Kajal on the fifth day?a)60%b)50%c)62.5%d)45%Correct answer is option 'A'. Can you explain this answer? for CLAT 2025 is part of CLAT preparation. The Question and answers have been prepared according to the CLAT exam syllabus. Information about Directions: Study the following information carefully and answer the questions given beside.Kajal and Aryan went on a five-day vacation with a certain amount of money with both of them. They spent a certain amount of money in these five days and saved the rest.In the first two days, Kajal spent 16.67% more amount than Aryan and in the five days, Aryan spent 50% more amount than Kajal. Aryan saved 20% of his money while Kajal saved 25% of her money. Both of them spent 10% of their money on the fifth day. In the first four days, Aryan spent $320 more than Kajal. On the third and fourth day combined, Kajal spent 30% of her total money while Aryan spent half of his money. Kajal spent $120 on the second day while Aryan spent only $48 that day.Q.The money spent by Aryan on the second day is what percent of the money spent by Kajal on the fifth day?a)60%b)50%c)62.5%d)45%Correct answer is option 'A'. Can you explain this answer? covers all topics & solutions for CLAT 2025 Exam. Find important definitions, questions, meanings, examples, exercises and tests below for Directions: Study the following information carefully and answer the questions given beside.Kajal and Aryan went on a five-day vacation with a certain amount of money with both of them. They spent a certain amount of money in these five days and saved the rest.In the first two days, Kajal spent 16.67% more amount than Aryan and in the five days, Aryan spent 50% more amount than Kajal. Aryan saved 20% of his money while Kajal saved 25% of her money. Both of them spent 10% of their money on the fifth day. In the first four days, Aryan spent $320 more than Kajal. On the third and fourth day combined, Kajal spent 30% of her total money while Aryan spent half of his money. Kajal spent $120 on the second day while Aryan spent only $48 that day.Q.The money spent by Aryan on the second day is what percent of the money spent by Kajal on the fifth day?a)60%b)50%c)62.5%d)45%Correct answer is option 'A'. Can you explain this answer?.
Solutions for Directions: Study the following information carefully and answer the questions given beside.Kajal and Aryan went on a five-day vacation with a certain amount of money with both of them. They spent a certain amount of money in these five days and saved the rest.In the first two days, Kajal spent 16.67% more amount than Aryan and in the five days, Aryan spent 50% more amount than Kajal. Aryan saved 20% of his money while Kajal saved 25% of her money. Both of them spent 10% of their money on the fifth day. In the first four days, Aryan spent $320 more than Kajal. On the third and fourth day combined, Kajal spent 30% of her total money while Aryan spent half of his money. Kajal spent $120 on the second day while Aryan spent only $48 that day.Q.The money spent by Aryan on the second day is what percent of the money spent by Kajal on the fifth day?a)60%b)50%c)62.5%d)45%Correct answer is option 'A'. Can you explain this answer? in English & in Hindi are available as part of our courses for CLAT. Download more important topics, notes, lectures and mock test series for CLAT Exam by signing up for free.
Here you can find the meaning of Directions: Study the following information carefully and answer the questions given beside.Kajal and Aryan went on a five-day vacation with a certain amount of money with both of them. They spent a certain amount of money in these five days and saved the rest.In the first two days, Kajal spent 16.67% more amount than Aryan and in the five days, Aryan spent 50% more amount than Kajal. Aryan saved 20% of his money while Kajal saved 25% of her money. Both of them spent 10% of their money on the fifth day. In the first four days, Aryan spent $320 more than Kajal. On the third and fourth day combined, Kajal spent 30% of her total money while Aryan spent half of his money. Kajal spent $120 on the second day while Aryan spent only $48 that day.Q.The money spent by Aryan on the second day is what percent of the money spent by Kajal on the fifth day?a)60%b)50%c)62.5%d)45%Correct answer is option 'A'. Can you explain this answer? defined & explained in the simplest way possible. Besides giving the explanation of Directions: Study the following information carefully and answer the questions given beside.Kajal and Aryan went on a five-day vacation with a certain amount of money with both of them. They spent a certain amount of money in these five days and saved the rest.In the first two days, Kajal spent 16.67% more amount than Aryan and in the five days, Aryan spent 50% more amount than Kajal. Aryan saved 20% of his money while Kajal saved 25% of her money. Both of them spent 10% of their money on the fifth day. In the first four days, Aryan spent $320 more than Kajal. On the third and fourth day combined, Kajal spent 30% of her total money while Aryan spent half of his money. Kajal spent $120 on the second day while Aryan spent only $48 that day.Q.The money spent by Aryan on the second day is what percent of the money spent by Kajal on the fifth day?a)60%b)50%c)62.5%d)45%Correct answer is option 'A'. Can you explain this answer?, a detailed solution for Directions: Study the following information carefully and answer the questions given beside.Kajal and Aryan went on a five-day vacation with a certain amount of money with both of them. They spent a certain amount of money in these five days and saved the rest.In the first two days, Kajal spent 16.67% more amount than Aryan and in the five days, Aryan spent 50% more amount than Kajal. Aryan saved 20% of his money while Kajal saved 25% of her money. Both of them spent 10% of their money on the fifth day. In the first four days, Aryan spent $320 more than Kajal. On the third and fourth day combined, Kajal spent 30% of her total money while Aryan spent half of his money. Kajal spent $120 on the second day while Aryan spent only $48 that day.Q.The money spent by Aryan on the second day is what percent of the money spent by Kajal on the fifth day?a)60%b)50%c)62.5%d)45%Correct answer is option 'A'. Can you explain this answer? has been provided alongside types of Directions: Study the following information carefully and answer the questions given beside.Kajal and Aryan went on a five-day vacation with a certain amount of money with both of them. They spent a certain amount of money in these five days and saved the rest.In the first two days, Kajal spent 16.67% more amount than Aryan and in the five days, Aryan spent 50% more amount than Kajal. Aryan saved 20% of his money while Kajal saved 25% of her money. Both of them spent 10% of their money on the fifth day. In the first four days, Aryan spent $320 more than Kajal. On the third and fourth day combined, Kajal spent 30% of her total money while Aryan spent half of his money. Kajal spent $120 on the second day while Aryan spent only $48 that day.Q.The money spent by Aryan on the second day is what percent of the money spent by Kajal on the fifth day?a)60%b)50%c)62.5%d)45%Correct answer is option 'A'. Can you explain this answer? theory, EduRev gives you an ample number of questions to practice Directions: Study the following information carefully and answer the questions given beside.Kajal and Aryan went on a five-day vacation with a certain amount of money with both of them. They spent a certain amount of money in these five days and saved the rest.In the first two days, Kajal spent 16.67% more amount than Aryan and in the five days, Aryan spent 50% more amount than Kajal. Aryan saved 20% of his money while Kajal saved 25% of her money. Both of them spent 10% of their money on the fifth day. In the first four days, Aryan spent $320 more than Kajal. On the third and fourth day combined, Kajal spent 30% of her total money while Aryan spent half of his money. Kajal spent $120 on the second day while Aryan spent only $48 that day.Q.The money spent by Aryan on the second day is what percent of the money spent by Kajal on the fifth day?a)60%b)50%c)62.5%d)45%Correct answer is option 'A'. Can you explain this answer? tests, examples and also practice CLAT tests.
Explore Courses for CLAT exam

Top Courses for CLAT

Explore Courses
Signup for Free!
Signup to see your scores go up within 7 days! Learn & Practice with 1000+ FREE Notes, Videos & Tests.
10M+ students study on EduRev