Class 10 Exam  >  Class 10 Notes  >  Science Class 10  >  Previous Year Questions: Electricity

Class 10 Science Chapter 11 Previous Year Questions - Electricity

Previous Year Questions 2025

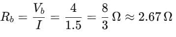
Q1: A wire of resistance R is cut into three equal parts. If these three parts are then joined in parallel, calculate the total resistance of the combination so formed.  (2 Mark)

Class 10 Science Chapter 11 Previous Year Questions - ElectricityView Answer  Class 10 Science Chapter 11 Previous Year Questions - Electricity

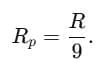
Ans: The total resistance of the combination is R/9.

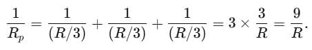
When a wire of total resistance R is cut into three equal parts, each part has a resistance of R/3 because resistance is directly proportional to length. When these three parts are connected in parallel, the reciprocal of equivalent resistance isClass 10 Science Chapter 11 Previous Year Questions - ElectricityHence, the total equivalent resistance becomes

Class 10 Science Chapter 11 Previous Year Questions - Electricity

Therefore, the total resistance of the parallel combination is R/9, which shows that connecting smaller equal parts of a wire in parallel greatly reduces the overall resistance.


Q2: Define electric power. When do we say that the power consumed in an electric circuit is 1 watt?  (2 Mark)

Class 10 Science Chapter 11 Previous Year Questions - ElectricityView Answer  Class 10 Science Chapter 11 Previous Year Questions - Electricity

Ans:

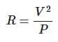
Electric Power: Power (P) is defined as the rate of doing work or the rate at which electrical energy is consumed or supplied. It is given by the formula:
P = V × I, where V is the potential difference (volts) and I is the current (amperes). Alternatively, P = I²R or P = V²/R, where R is resistance (ohms). The SI unit of power is the watt (W).
1 Watt: Power is 1 watt when 1 joule of energy is consumed or transferred in 1 second. Mathematically, 1 W = 1 J/s. For example, if a circuit has a potential difference of 1 volt and a current of 1 ampere, the power is:
P = V × I = 1 V × 1 A = 1 W.


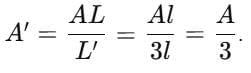
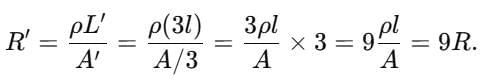
Q3: (a) Write the relationship between resistivity and resistance of a cylindrical conductor of length l and area of cross-section A. Hence derive the SI unit of resistivity.
(b) Why are alloys used in electrical heating devices?  (3 marks)

Class 10 Science Chapter 11 Previous Year Questions - ElectricityView Answer  Class 10 Science Chapter 11 Previous Year Questions - Electricity

Ans:
(a) Relationship: R = ρl/A; SI unit of resistivity: ohm-meter (Ω·m).
(b) Alloys are used due to high resistivity and high melting points.

(a) For a uniform cylindrical conductor of length ll and cross-sectional area A, the resistance RR is proportional to ll and inversely proportional to AA. HenceClass 10 Science Chapter 11 Previous Year Questions - Electricity

SI unit derivation:

  • Resistance (R) is in ohms (Ω).
  • Area (A) is in square meters (m²).
  • Length (l) is in meters (m).
  • Unit of ρ = (Ω × m²)/m = Ω·m.
    Thus, the SI unit of resistivity is ohm-meter (Ω·m).

(b) Alloys are used in electrical heating devices because their resistivity is generally higher than that of constituent metals and, importantly (as stated in the chapter), alloys do not oxidise (burn) readily at high temperatures — making them suitable and durable for heating elements.


Q4: The following question is Source-based/Case-based question. Read the case carefully and answer the question that follow.
In our homes, we receive the supply of electric power through a main supply also called mains, either supported through overhead electric poles or by underground cables. In our country the potential difference between the two wires (live wire and neutral wire) of this supply is 220 V.

(a) Write the colours of the insulation covers of the line wires through which supply comes to our homes.  (1 Mark)
(b) What should be the current rating of the electric circuit (220 V) so that an electric iron of 1 kW power rating can be operated? (1 Mark)
(c) (i) What is the function of the earth wire? State the advantage of the earth wire in domestic electric appliances such as electric iron.  (2 marks)

Class 10 Science Chapter 11 Previous Year Questions - ElectricityView Answer  Class 10 Science Chapter 11 Previous Year Questions - Electricity

Ans:
(a) Red (or brown) for live, black (or blue) for neutral, green (or green-yellow) for earth.
(b) Current rating = 4.55 A (minimum 5 A fuse).
(c) (i) Function: Provides a low-resistance path for leakage current to prevent electric shock; Advantage: Enhances user safety by grounding excess current.

(a) Colours:
In domestic wiring, the standard colours are:

  • Live wire: Red or brown, carries current from the supply.
  • Neutral wire: Black or blue, completes the circuit back to the supply.
  • Earth wire: Green or green-yellow, provides a safety path for leakage current.

These colours help identify wires for safe installation and maintenance.

(b) Current rating:

  • Power of electric iron, P = 1 kW = 1000 W.
  • Voltage, V = 220 V.
  • Power formula: P = V × I.
    Class 10 Science Chapter 11 Previous Year Questions - Electricity
  • The circuit needs a fuse with a current rating slightly higher than 4.54 A, typically 5 A, to safely operate the iron without frequent blowing.

(c) (i) Earth wire:

  • Function: The earth wire connects the metallic body of an appliance to the ground via a metal plate buried in the earth. If there’s a fault (e.g., live wire touching the metal body), it provides a low-resistance path for the leakage current to flow to the ground, preventing electric shock.
  • Advantage: In appliances like an electric iron, the earth wire ensures that any leakage current is safely diverted, keeping the appliance’s body at earth potential (0 V), thus protecting the user from severe electric shock.


Q5: Consider the following circuits :

Class 10 Science Chapter 11 Previous Year Questions - Electricity

In which circuit will the power dissipated in the circuit be (I) minimum (II) maximum ? Justify your answer.  (2 Marks)

Ans: (a) Analyze the circuits to determine power dissipation.
Use the formula for power dissipation: Class 10 Science Chapter 11 Previous Year Questions - Electricity
Class 10 Science Chapter 11 Previous Year Questions - ElectricityClass 10 Science Chapter 11 Previous Year Questions - Electricity
Class 10 Science Chapter 11 Previous Year Questions - Electricity
Minimum power dissipation is in circuit (ii) and maximum is in circuit (iii).

OR

Two lamps, rated 100 W; 220 V and 60 W; 220 V, are connected in parallel to an electric main supply of 220 V. Find the current drawn by the two lamps from the supply.  (2 marks)

Class 10 Science Chapter 11 Previous Year Questions - ElectricityView Answer  Class 10 Science Chapter 11 Previous Year Questions - Electricity

Ans: Total current = 0.727 A.
Given: Lamp 1: 100 W, 220 V; Lamp 2: 60 W, 220 V; connected in parallel to 220 V supply.

Step 1: Current for each lamp

  • Power formula: P = V × I.
  • For Lamp 1: Class 10 Science Chapter 11 Previous Year Questions - Electricity
  • For Lamp 2:Class 10 Science Chapter 11 Previous Year Questions - Electricity

Step 2: Total current in parallel

  • In a parallel circuit, total current is the sum of individual currents:
    Class 10 Science Chapter 11 Previous Year Questions - Electricity

Conclusion: The total current drawn from the supply is approximately 0.727 A.


Q6: (a) Define one ampere.
(b) The resistance of a wire of 0.01 cm radius is 14 Ω. If the resistivity of the material of the wire is 44 × 10⁻⁸ Ω m, find the length of the wire. (Given π = 22/7)  (3 Marks)

Class 10 Science Chapter 11 Previous Year Questions - ElectricityView Answer  Class 10 Science Chapter 11 Previous Year Questions - Electricity

Ans:
(a) One ampere is the current that flows through a conductor when one coulomb of charge passes through it in one second.
(b) Length of the wire = 0.159 m (15.9 cm).

(a) One ampere:

  • One ampere is defined as the current in a conductor when one coulomb of electric charge flows through it per second. Mathematically, 1 A = 1 C/s. It is the SI unit of electric current.

(b) Length calculation:

Class 10 Science Chapter 11 Previous Year Questions - Electricity


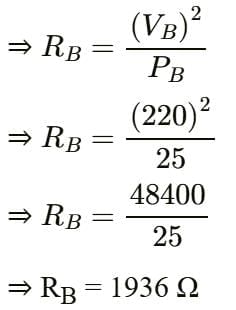
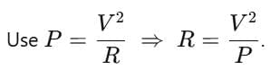
Q7: (a) Consider two lamps A and B of rating 50 W; 220 V and 25 W; 220 V respectively. Find the ratio of the resistances of the two lamps (i.e., RA : RB).  (2 Marks)

Class 10 Science Chapter 11 Previous Year Questions - ElectricityView Answer  Class 10 Science Chapter 11 Previous Year Questions - Electricity

Ans: RA : RB = 1 : 2.

Given: Lamp A: 50 W, 220 V; Lamp B: 25 W, 220 V.
Step 1: Resistance of each lamp

  • Power formula: P = V²/R ⇒ R = V²/P.
  • For Lamp A: Class 10 Science Chapter 11 Previous Year Questions - Electricity
  • For Lamp B: 
    Class 10 Science Chapter 11 Previous Year Questions - Electricity

Step 2: Ratio

Class 10 Science Chapter 11 Previous Year Questions - Electricity

Conclusion: The ratio of resistances is 1 : 2.


Q8: Heat produced per second due to a current in a resistor of 4 Ω is 400 joules. Calculate the potential difference across the resistor.  (2 Marks)

Class 10 Science Chapter 11 Previous Year Questions - ElectricityView Answer  Class 10 Science Chapter 11 Previous Year Questions - Electricity

Ans: Potential difference = 40 V.

  • Given: Heat produced per second = 400 J/s (power, P = 400 W); Resistance, R = 4 Ω.
  • Power formulaClass 10 Science Chapter 11 Previous Year Questions - Electricity

Conclusion: The potential difference across the resistor is 40 V.


Q9: An electric bulb is connected to a power supply of 220 V. If the current drawn by the bulb from the supply is 500 mA, the power of the bulb is:  (1 Mark)
(a) 11 W
(b) 110 W
(c) 220 W
(d) 1100 W

Class 10 Science Chapter 11 Previous Year Questions - ElectricityView Answer  Class 10 Science Chapter 11 Previous Year Questions - Electricity

Ans: (b) 110 W

  • Given: Voltage, V = 220 V; Current, I = 500 mA = 0.5 A.
  • Power formula: P = V × I.
    P = 220 × 0.5 = 110 W.

Conclusion: The power of the bulb is 110 W, option (B).


Q10: Four identical resistors of 12 Ω each are connected in series to form a square ABCD as shown in the figure. The resistance of the network between the two points 1 and 2 is :
Class 10 Science Chapter 11 Previous Year Questions - Electricity(a) 48 Ω
(b) 36 Ω
(c) 9 Ω
(d) 6 Ω

Class 10 Science Chapter 11 Previous Year Questions - ElectricityView Answer  Class 10 Science Chapter 11 Previous Year Questions - Electricity

Ans: (a) 9 Ω

Assuming points 1 and 2 are adjacent vertices (e.g., A and B in square ABCD with resistors on each side). The direct path AB is 12 Ω. The other path A-D-C-B is three resistors in series: 12 + 12 + 12 = 36 Ω. 
These two paths are in parallel: 
Class 10 Science Chapter 11 Previous Year Questions - Electricity


Q11: In the following Question, two statements are given — one labelled as Assertion (A) and the other labelled as Reason (R). Select the correct answer to these questions from the codes (A), (B), (C) and (D) as given below.  (1 Mark)

Assertion (A): Nichrome is an alloy commonly used in electrical heating devices such as electric irons, toasters, etc. 
Reason (R): The resistivity of nichrome is high, and its resistance decreases with an increase in temperature.
(a) Both A and R are true, and R is the correct explanation of A.
(b) Both A and R are true, but R is not the correct explanation of A.
(c) A is true, but R is false.
(d) A is false, but R is true.

Class 10 Science Chapter 11 Previous Year Questions - ElectricityView Answer  Class 10 Science Chapter 11 Previous Year Questions - Electricity

Ans: (C) A is true, but R is false.

  • Assertion (A): Nichrome is widely used in heating devices like electric irons and toasters due to its high resistivity and high melting point, which allow it to generate significant heat and withstand high temperatures. Thus, A is true.
  • Reason (R): Nichrome has high resistivity, but its resistance increases slightly with temperature (as it’s a metal alloy with a positive temperature coefficient), not decreases. Thus, R is false.
Conclusion: Option (C) is correct.


Q12: An electric kettle is rated 750 W; 220 V. Can this kettle be used in a circuit which has a fuse of current rating 3 A? Give reason for your answer.  (2 Marks)

Class 10 Science Chapter 11 Previous Year Questions - ElectricityView Answer  Class 10 Science Chapter 11 Previous Year Questions - Electricity

Ans: No, the kettle cannot be used with a 3 A fuse.
Given: Power, P = 750 W; Voltage, V = 220 V; Fuse rating = 3 A.

Current calculation: P = V × I =>Class 10 Science Chapter 11 Previous Year Questions - Electricity

Comparison: The kettle draws 3.41 A, which exceeds the fuse rating of 3 A. A fuse blows if the current exceeds its rating, so the 3 A fuse will blow, disconnecting the circuit.

Conclusion: The kettle requires a fuse rating higher than 3.41 A (e.g., 5 A), so it cannot be used with a 3 A fuse.


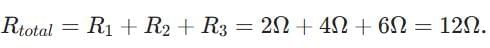
Q13: Three resistors of 2 Ω, 3 Ω, and 6 Ω are connected in (i) series, and (ii) parallel. Draw the arrangements of the resistors and find the equivalent resistance of each arrangement.  (3 Marks)

Class 10 Science Chapter 11 Previous Year Questions - ElectricityView Answer  Class 10 Science Chapter 11 Previous Year Questions - Electricity

Ans:
(i) Series: Req = 11 Ω
(ii) Parallel: Req = 1 Ω

(i) Series:

Class 10 Science Chapter 11 Previous Year Questions - Electricity

In series, Req = R1 + R2 + R3 = 2 + 3 + 6 = 11 Ω.

(ii) ParallelClass 10 Science Chapter 11 Previous Year Questions - Electricity

Class 10 Science Chapter 11 Previous Year Questions - Electricity

Conclusion: Series resistance = 11 Ω; Parallel resistance = 1 Ω.


Q14: The resistivity of a wire made of an alloy is generally:  (1 Mark)
(a) Lower than that of its constituent metals.
(b) Higher than that of its constituent metals.
(c) Decreases with an increase in its area of cross-section.
(d) Increases with an increase in its length.

Class 10 Science Chapter 11 Previous Year Questions - ElectricityView Answer  Class 10 Science Chapter 11 Previous Year Questions - Electricity

Ans: (B) Higher than that of its constituent metals.

Alloys (e.g., nichrome) are made by mixing metals, which disrupts the regular lattice structure, increasing resistance to electron flow. Thus, the resistivity of alloys is generally higher than that of their constituent metals (e.g., nickel or chromium).

Other options:

  • (A) Incorrect: Alloys have higher resistivity.
  • (C) Incorrect: Resistivity is a material property, independent of area.
  • (D) Incorrect: Resistivity is independent of length; resistance increases with length.

Conclusion: Option (B) is correct.


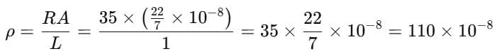
Q15: Resistance of a wire of length 1 m is 35 Ω at 20°C. If the diameter of the wire is 0.2 mm, determine the resistivity of the material of the wire at that temperature. How will the resistivity of the wire change if the length and diameter of the wire both are doubled? Justify your answer. (Given π = 22/7)  (3 Marks)

Class 10 Science Chapter 11 Previous Year Questions - ElectricityView Answer  Class 10 Science Chapter 11 Previous Year Questions - Electricity

Ans:
Resistivity = 1.1 × 10⁻⁶ Ω·m; Resistivity remains unchanged if length and diameter are doubled.

Given: R = 35 Ω, l = 1 m, diameter = 0.2 mm = 0.2 × 10⁻³ m, radius = 0.1 × 10⁻³ m, π = 22/7.

Resistivity calculation:

Class 10 Science Chapter 11 Previous Year Questions - Electricity

Class 10 Science Chapter 11 Previous Year Questions - Electricity

Class 10 Science Chapter 11 Previous Year Questions - Electricity

Effect of doubling length and diameter:

  • Resistivity (ρ) is a material property and does not depend on the dimensions (length or diameter) of the wire.
  • If length becomes 2l and diameter becomes 2d (radius becomes 2r), the area becomes A' = π(2r)² = 4πr² = 4A.
  • Resistance changes: Class 10 Science Chapter 11 Previous Year Questions - Electricity
  • However, resistivity (ρ) remains the same as it’s a property of the material.

Conclusion: Resistivity = 1.1 × 10⁻⁶ Ω·m; it remains unchanged.


Q16: How and why is an electric fuse used in an electric circuit? Briefly describe its function.  (2 Marks)

Class 10 Science Chapter 11 Previous Year Questions - ElectricityView Answer  Class 10 Science Chapter 11 Previous Year Questions - Electricity

Ans:

  • Use: An electric fuse is used in series to protect circuits from excessive current.
  • Why: To prevent damage due to overloading or short circuits.
  • Function: It melts and breaks the circuit if the current exceeds its rating, stopping current flow.

Use: A fuse is a safety device connected in series with an electrical circuit or appliance. It consists of a wire with a low melting point.

  • Why: It protects circuits and appliances from damage due to excessive current (e.g., from overloading or short circuits) and prevents fire hazards or electric shocks.
  • Function: When the current exceeds the fuse’s rating, the fuse wire heats up (due to I²R heating) and melts, breaking the circuit and stopping current flow, thus protecting the circuit and appliances.


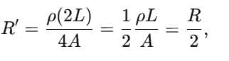
Q17: A wire of length 'l' is gradually stretched so that its length increases to 3l. If its original resistance is R, then its new resistance will be:  (1 Mark)
(a) 3R
(b) 6R
(c) 9R
(d) 27R

Class 10 Science Chapter 11 Previous Year Questions - ElectricityView Answer  Class 10 Science Chapter 11 Previous Year Questions - Electricity

Ans: (C) 9R
Given: Original length = l, resistance = R; New length = 3l.
Resistance, R = ρl/A.
When the wire is stretched to 3l, its volume remains constant (V = l × A = constant).

  • New length, l' = 3l.
  • New area, Class 10 Science Chapter 11 Previous Year Questions - Electricity
  • New resistance, Class 10 Science Chapter 11 Previous Year Questions - Electricity

Conclusion: The new resistance is 9R, option (C).


Q18: An electric kettle is rated 230 V; 1000 W. Calculate the resistance of its heating element when in operation.  (2 Marks)

Class 10 Science Chapter 11 Previous Year Questions - ElectricityView Answer  Class 10 Science Chapter 11 Previous Year Questions - Electricity

Ans: Resistance = 52.9 Ω.

Given: P = 1000 W, V = 230 V.

Class 10 Science Chapter 11 Previous Year Questions - Electricity

Calculate: Class 10 Science Chapter 11 Previous Year Questions - Electricity

Conclusion: The resistance of the heating element is 52.9 Ω.


Q19: A voltage source sends a current of 2 A to a resistor of 40 Ω connected across it for 5 minutes. Calculate the electrical energy supplied by the source.  (2 Marks)

Class 10 Science Chapter 11 Previous Year Questions - ElectricityView Answer  Class 10 Science Chapter 11 Previous Year Questions - Electricity

Ans: Given,

I =2 A, R =40 Ω, t = 5 min = 300 s

First find voltage: V = IR = 2 × 40 = 80 V

Power:  WP=VI=80\times2=160\ \text{W}P = V I = 80 × 2 = 160 W

Electrical energy supplied:

E = P × t = 160 × 300 = 48,000 J


Q20: Four resistors, each of resistance 2.0 Ω, are joined end to end to form a square ABCD. Using the appropriate formula, determine the equivalent resistance of the combination between its two ends A and B.
Class 10 Science Chapter 11 Previous Year Questions - Electricity

Class 10 Science Chapter 11 Previous Year Questions - ElectricityView Answer  Class 10 Science Chapter 11 Previous Year Questions - Electricity

Ans: Equivalent resistance = 2 Ω.

Given: Four resistors, each 2 Ω, form a square ABCD 

Circuit analysis:

The square has resistors: AB = 2 Ω, BC = 2 Ω, CD = 2 Ω, DA = 2 Ω.

For resistance between A and B:

- Path 1: Direct resistor AB = 2 Ω.
- Path 2: Via B → C → D → A (series: BC + CD + DA = 2 + 2 + 2 = 6 Ω).
- AB (2 Ω) is in parallel with BCD (6 Ω):Class 10 Science Chapter 11 Previous Year Questions - Electricity


Q21: An electric bulb is rated 220 V; 11 W. The resistance of its filament when it glows with a power supply of 220 V is:  (1 Mark)
(a) 4400 Ω
(b) 440 Ω
(c) 400 Ω
(d) 20 Ω

Class 10 Science Chapter 11 Previous Year Questions - ElectricityView Answer  Class 10 Science Chapter 11 Previous Year Questions - Electricity

Ans: (a) 4400 Ω

Given: P = 11 W, V = 220 V.

Power formula: Class 10 Science Chapter 11 Previous Year Questions - Electricity

Rearrange the formula:Class 10 Science Chapter 11 Previous Year Questions - Electricity

Calculate:Class 10 Science Chapter 11 Previous Year Questions - Electricity

Conclusion: The resistance is 4400 Ω, option (a).


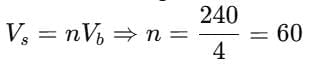
Q22: The minimum number of identical bulbs of rating 4 V; 6 W that can work safely with desired brightness when connected in series with a 240 V mains supply is:  (1 Mark)
(a) 20
(b) 40
(c) 60
(d) 80

Class 10 Science Chapter 11 Previous Year Questions - ElectricityView Answer  Class 10 Science Chapter 11 Previous Year Questions - Electricity

Ans: (c) 60

Given: Each bulb: 4 V, 6 W; Supply = 240 V.

Current per bulb: Class 10 Science Chapter 11 Previous Year Questions - Electricity

Resistance per bulb: Class 10 Science Chapter 11 Previous Year Questions - Electricity

Series connection: For n bulbs in series, total voltage = n × 4 V.
Class 10 Science Chapter 11 Previous Year Questions - Electricity

Conclusion: Minimum 60 bulbs, option (c).


Q23: The electrical resistivity of three materials A, B, and C at 20°C is given below:
Class 10 Science Chapter 11 Previous Year Questions - Electricity(iClassify these materials as conductor, alloy, and insulator.
(ii) Give one example of each of these materials and state one use of each material in the design of an electrical appliance say an electric stove or an electric iron.  (3 Marks)

Class 10 Science Chapter 11 Previous Year Questions - ElectricityView Answer  Class 10 Science Chapter 11 Previous Year Questions - Electricity

Ans:
(i) Class 10 Science Chapter 11 Previous Year Questions - Electricity

(ii) Example of Insulator: Rubber
Uses: Coating of electrical wires

Example of conductor: Tungsten
Uses: Tungsten is used as the filament of an electric bulb.

Example of alloy: Nichrome
Uses: The heating element of an electric iron


Q24: Define the term "potential difference" between two points in an electric circuit carrying current. Name and define its S.I. unit. Also express it in terms of S.I. unit of work and charge.  ( 3 Marks)

Class 10 Science Chapter 11 Previous Year Questions - ElectricityView Answer  Class 10 Science Chapter 11 Previous Year Questions - Electricity

Ans:

  • Potential Difference: The work done per unit charge to move a charge between two points.
  • S.I. Unit: Volt, defined as 1 joule of work per 1 coulomb of charge.
  • Expression: 1 V = 1 J/C.
  • Potential Difference: It is the energy required or released per unit charge when moving a charge between two points in a circuit. It drives current flow.
  • S.I. Unit: The volt (V), where 1 volt is the potential difference when 1 joule of work is done to move 1 coulomb of charge.
  • Expression: V = W/Q, where W is work (joules, J) and Q is charge (coulombs, C). Thus, 1 V = 1 J/C.


Q25: (a) State two applications of Joule's heating in domestic electric circuits.
(b) (i) Establish the relationship between the commercial unit of electric energy and the SI unit of electric energy.  (2 Marks)

Class 10 Science Chapter 11 Previous Year Questions - ElectricityView Answer  Class 10 Science Chapter 11 Previous Year Questions - Electricity

Ans:
(a) Applications: (1) Electric iron for pressing clothes, (2) Electric toaster for heating bread.
(b) 1 kWh = 3.6 × 10⁶ J.

(a) Applications:

1. Electric Iron: The electric iron uses Joule's heating effect to heat up the iron plate, which is then used to press clothes.

2. Electric Heater: Electric heaters use Joule's heating effect to convert electrical energy into heat energy, which is used to warm up the surroundings.

(b) Relationship:

  • Commercial unit: Kilowatt-hour (kWh), the energy consumed by a 1 kW device in 1 hour.
  • SI unit: Joule (J).
  • 1 kWh = 1000 W × 3600 s = 1000 × 3600 J = 3.6 × 10⁶ J.

Conclusion: 1 kWh = 3.6 million joules.


Q26: (a) "The third wire of earth connection is very important in domestic electric appliances." Justify this statement.
(b) List two precautions to be taken to avoid the overloading of domestic electric circuits.  (3 Marks)

Class 10 Science Chapter 11 Previous Year Questions - ElectricityView Answer  Class 10 Science Chapter 11 Previous Year Questions - Electricity

Ans:
(a) The earth wire prevents electric shock by grounding leakage current.
(b) Precautions: (1) Avoid connecting too many appliances to one socket, (2) Use fuses with appropriate ratings.

(a) Earth wire importance:

  • The earth wire connects the metallic body of appliances to the ground. If a fault occurs (e.g., live wire touches the metal body), the earth wire provides a low-resistance path for the current to flow to the ground, preventing electric shock to the user and protecting the appliance from damage.

(b) Precautions:

  • Avoid multiple appliances per socket: Connecting too many high-power devices increases current, risking overheating and fire.
  • Use appropriate fuses: A fuse with the correct rating (e.g., 5 A for low-power circuits) blows if current exceeds safe limits, preventing circuit damage or fire.


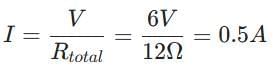
Q27: (A) Use Ohm’s law to determine the potential difference across the 6 ohm resistor in the following circuit when key is closed :  (2 Marks)
Class 10 Science Chapter 11 Previous Year Questions - ElectricityOR
(B) Prove that if the current through a resistor is increased by 100%, then the increase in power dissipated through the resistor will be 300%.  (2 Marks)

Class 10 Science Chapter 11 Previous Year Questions - ElectricityView Answer  Class 10 Science Chapter 11 Previous Year Questions - Electricity

Ans: (A)

Finding Total Resistance: The circuit has a and a resistor in series with the resistor. The total resistance can be calculated as follows:

Total Resistance, Class 10 Science Chapter 11 Previous Year Questions - Electricity

Finding Total Current: Using Ohm's law, the total current (I) in the circuit can be calculated using the total voltage (V=6V) and total resistance:
Class 10 Science Chapter 11 Previous Year Questions - Electricity

Finding Voltage Across Resistor: Now, we can find the voltage across the  resistor using Ohm's law:
Class 10 Science Chapter 11 Previous Year Questions - Electricity

Therefore, the potential difference across the  resistor is 3 V.

(B) Power increases by 300%.

  • Given: Current increases by 100%, i.e., new current I' = 2I (doubled).
  • Power formula: P = I²R.
  • Original power: P = I²R.
  • New power: P' = (I')²R = (2I)²R = 4I²R.
  • Increase in power: P' - P = 4I²R - I²R = 3I²R.
  • Percentage increase:
    (P' - P) / P × 100 = (3I²R / I²R) × 100 = 300%.

Conclusion: Doubling the current increases power by 300%.


Q28: What is short circuiting? State its possible causes. What is likely to happen if a domestic circuit gets short circuited? Give reason for the justification of your answer.  (3 Marks)

Class 10 Science Chapter 11 Previous Year Questions - ElectricityView Answer  Class 10 Science Chapter 11 Previous Year Questions - Electricity

Ans:

  • Short circuiting: When live and neutral wires come into direct contact, bypassing the load.
  • Causes: (1) Worn insulation, (2) Faulty appliance wiring.
  • Effect: Excessive current flow, causing overheating, fire, or appliance damage.
  • Reason: Low resistance in the circuit increases current significantly.

Short circuiting: Occurs when the live and neutral wires touch directly, creating a low-resistance path, bypassing the appliance (load).

Causes:

  • Worn insulation: Damaged insulation on wires allows them to touch.
  • Faulty wiring: Incorrect connections in appliances or circuits.

Effect:

  • A short circuit drastically reduces resistance, causing a large current (I = V/R) to flow. This generates excessive heat (H = I²Rt), which can melt wires, cause fires, or damage appliances.
  • A fuse or circuit breaker trips to prevent damage by breaking the circuit.

Reason: The low resistance in a short circuit allows a very high current, overwhelming the circuit’s capacity, leading to overheating or fire hazards.


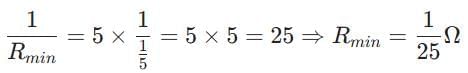
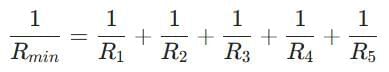
Q29: Determine the maximum and minimum resistance which can be obtained by joining five resistors of 1/5 Ω each.  (2 Marks)

Class 10 Science Chapter 11 Previous Year Questions - ElectricityView Answer  Class 10 Science Chapter 11 Previous Year Questions - Electricity

Ans:
Maximum resistance = 1 Ω (series).
Minimum resistance = 0.04 Ω (parallel).

Given: Five resistors, each R = 1/5 Ω = 0.2 Ω.

  • Maximum resistance (series):
    Rmax = R1 + R2 + R3 + R4 + R5 = 0.2 + 0.2 + 0.2 + 0.2 + 0.2 = 1 Ω.
  • Minimum resistance (parallel):
    Class 10 Science Chapter 11 Previous Year Questions - Electricity

    Class 10 Science Chapter 11 Previous Year Questions - Electricity

    = 0.04 Ω.

Conclusion: Maximum = 1 Ω, minimum = 0.04 Ω.

OR

Class 10 Science Chapter 11 Previous Year Questions - ElectricityView Answer  Class 10 Science Chapter 11 Previous Year Questions - Electricity

(B) Calculate potential difference across a 4 ohm resistor that produces 100 W of heat every second.  (2 Marks)
Ans: Given, Power = 100 W, Resistance = 4Ω.
Using Formula,Class 10 Science Chapter 11 Previous Year Questions - ElectricityWe can rearrange formula to solve for V:Class 10 Science Chapter 11 Previous Year Questions - ElectricitySubstitute the values:
Class 10 Science Chapter 11 Previous Year Questions - Electricity⇒ The potential difference across the 4 Ω resistor is 20 volts.


Q30: (a) Explain the statement "Potential difference between two points is 1 volt".
(b) What do the symbols given below represent in an electric circuit? Write one function of each.   (3 Marks)

Class 10 Science Chapter 11 Previous Year Questions - Electricity

Class 10 Science Chapter 11 Previous Year Questions - ElectricityView Answer  Class 10 Science Chapter 11 Previous Year Questions - Electricity

Ans:

(a) 1 volt: Potential difference is 1 volt when 1 joule of work is required to move 1 coulomb of charge between two points. Mathematically, 1 V = 1 J/C.

(b) Symbols:

(i) Battery: Represented by one long line (positive) and one short line (negative). It converts chemical energy to electrical energy, providing a potential difference to drive current.
(ii) The given symbol represents a variable resistor (Rheostat), which is used to control the current in an electric circuit by adjusting resistance.

Q31: Study the circuit shown in which two resistors X and Y of resistances 3 Ω and 6 Ω respectively are joined in series with a battery of 2 V.
Class 10 Science Chapter 11 Previous Year Questions - Electricity(I) Draw a circuit diagram showing the above two resistors X and Y joined in parallel with the same battery and same ammeter and voltmeter.  (1 Mark)
(II) In which combination of resistors will the (i) potential difference across X and Y, and (ii) current through X and Y, be the same? (1 Mark)
(III) Find the current drawn from the battery by the series combination of the two resistors (X and Y). (2 Marks)

Class 10 Science Chapter 11 Previous Year Questions - ElectricityView Answer  Class 10 Science Chapter 11 Previous Year Questions - Electricity

Ans: Class 10 Science Chapter 11 Previous Year Questions - Electricity

(II) Combinations:

  • (i) Potential difference: In a parallel combination, the voltage across each resistor (X and Y) is the same, equal to the battery voltage (2 V).
  • (ii) Current: In a series combination, the same current flows through both resistors (X and Y).

(III)  Current in series:

  • Rtotal = 3 Ω + 6 Ω = 9 Ω.
  • I = V/R = 2/9 ≈ 0.22 A.

Conclusion: Current in series combination is 0.22 A.

Previous Year Questions 2024

Q1: (A) Show how you would connect three resistors each of resistance 6 Ω, so that the combination has a resistance of 9 Ω. Also, justify your answer.

OR
(B) In the given circuit calculate the power consumed in watts in the resistor of 2 Ω:  (3 Marks) (2024)
Class 10 Science Chapter 11 Previous Year Questions - Electricity

Class 10 Science Chapter 11 Previous Year Questions - ElectricityView Answer  Class 10 Science Chapter 11 Previous Year Questions - Electricity

Ans: (A) When two 6 Ω resistances are connected in parallel and the third resistance of 6 Ω  is connected in series combinations to this, then equivalent resistance will be 9 Ω
Class 10 Science Chapter 11 Previous Year Questions - Electricity

1Rp = 1 + 1

∴ Rp = 3Ω

Rs = 6 + 3 = 9Ω

OR

(B) Equivalent resistance = R1 + R2 = 1Ω + 2Ω = 3Ω

The circuit contains a 1Ω and a 2Ω resistor in series. The total resistance is:

Rtotal = 1 + 2 = 3Ω

Using Ohm's law:

I = VRtotal = 6V = 2A

Power consumed by 2Ω resistor is given by:

P = I² × R

P = (2)² × 2 = 4 × 2 = 8W


Q2: (A) (i) Define electric power. Express it in terms of potential difference (V) and resistance (R).  (4 to 5 Marks) (2024)
(ii) An electric oven is designed to work on the mains voltage of 220 V. This oven consumes 11 units of electrical energy in 5 hours. Calculate : (a) power rating of the oven (b) current drawn by the oven (c) resistance of the oven when it is red hot
OR
(B) (i) Write the relation between resistance R and electrical resistivity p of the material of a conductor in the shape of cylinder of length / and area of cross-section A. Hence derive the SI unit of electrical resistivity.
(ii) The resistance of a metal wire of length 3 m is 60 Ω. If the area of the cross-section of the wire is 4 x 10-7 m, calculate the electrical resistivity of the wire.
(iii) State how would electrical resistivity be affected if the wire (of part ‘ii’) is stretched so that its length is doubled. Justify your answer.

Class 10 Science Chapter 11 Previous Year Questions - ElectricityView Answer  Class 10 Science Chapter 11 Previous Year Questions - Electricity

Ans: (A) (i) Electric power: Rate at which electrical energy is dissipated or consumed / Rate of supplying energy to maintain the flow of current through a circuit.
Class 10 Science Chapter 11 Previous Year Questions - Electricity

(ii) (a) Energy consumed = 11 units

E = 11 kWh = 11 × 1000

P = 11000 W5 h = 2200 W

Thus, the power rating of the oven is 2200 W or 2.2 kW.

(b) I = PV = 2200220 = 10A

(c) R = P = (220)²2200 = 22 Ω

OR

(B)

(i) R = ρ lA

ρ = R × Al

= Ohm × (metre)²metre = ohm metre or Ωm

(ii)

Here l = 3 m, A = 4 × 10⁻⁷ m², R = 60 Ω

ρ = R × Al

= 60 × 4 × 10⁻⁷3 = 80 × 10⁻⁷ Ωm

(iii) When a wire is stretched to double its length, its electrical resistivity (ρ) remains constant. A material's electrical resistivity is intrinsic and does not alter its dimensions (length, cross-sectional area). Therefore, doubling the length of the wire will not affect its electrical resistance.


Q3: Study the I-V graph for three resistors of resistances R1, R2 and Rand select the correct statement from the following: (1 Mark) (2024)
Class 10 Science Chapter 11 Previous Year Questions - Electricity(a)
R1 = R2 = R3    
(b) R> R2 > R3
(c) R3 > R2 > R1    
(d) R2 > R3 > R1

Class 10 Science Chapter 11 Previous Year Questions - ElectricityView Answer  Class 10 Science Chapter 11 Previous Year Questions - Electricity

Ans: (c) R3 > R2 > R1  

This is a graph of current (I) versus voltage (V) for three resistors R1, R2, and R3. The slope of each line in an I-V graph is related to the conductance, which is the reciprocal of resistance (R). Thus, the steeper the slope, the lower the resistance.

From the graph:

  • R1 has the steepest slope, indicating the lowest resistance.
  • R3 has the least steep slope, indicating the highest resistance.

Correct interpretation:

The resistances follow the order:

R3 > R2 > R1


Q4: Use Ohm’s law to determine the potential difference across the 3 Ω resistor in the circuit shown in the following diagram when the key is closed.   (2 Marks) (2024)Class 10 Science Chapter 11 Previous Year Questions - Electricity

Class 10 Science Chapter 11 Previous Year Questions - ElectricityView Answer  Class 10 Science Chapter 11 Previous Year Questions - Electricity

Ans:

Series Resistance Calculation:

Rs = R1 + R2 + R3

= 1 + 2 + 3 = 6 Ω

Current Calculation:

I = VR

= 2V = 13 A

Voltage Calculation:

V = IR

= 13 A × 3(Ω) = 1 V


Q5: In the case of four wires of the same material, the resistance will be minimum if the diameter and length of the wire respectively are  
(1 Mark) (2024)
(a) 
D/2 and L/4
(b) D/4 and 4L
(c) 2D and L
(d) 4D and 2L

Class 10 Science Chapter 11 Previous Year Questions - ElectricityView Answer  Class 10 Science Chapter 11 Previous Year Questions - Electricity

Ans: (d)
The resistance of a wire is inversely related to its cross-sectional area and directly related to its length. To minimize resistance, you should use a wire with a larger diameter and a shorter length. Therefore, if you choose a diameter of 4D (making the cross-sectional area much larger) and a length of 2L (shorter compared to the original), you will achieve the minimum resistance, making the correct answer (d) 4D and 2L.


Q6: Explain in brief the function of an electric fuse in a domestic circuit. An electric heater of current rating 3 kW; 220 V is to be operated in an electric circuit of rating 5 A. What is likely to happen when the heater is switched ‘ON’ ? Justify your answer with the necessary calculation.  (3 Marks) (CBSE 2024)

Class 10 Science Chapter 11 Previous Year Questions - ElectricityView Answer  Class 10 Science Chapter 11 Previous Year Questions - Electricity

Ans:

  •  An electric fuse is a safety device used in electrical circuits to prevent excessive current from flowing through the wires and damaging the circuit components. 
  •  It is designed to melt and break the circuit when the current exceeds a certain limit (which is its rated value). 
  •  This helps protect the wiring and connected appliances from damage due to overcurrent.
Here P = 3 kW = 3000 W, V = 220 V, I = ?
P = V I
Class 10 Science Chapter 11 Previous Year Questions - Electricity
  • The current drawn by the heater is 13.64 A, but the current rating of the circuit is only 5 A.
  • This means the current drawn by the heater is significantly higher than the circuit's rated current.
  • Since the current drawn by the heater (13.64 A) exceeds the current rating of the circuit (5 A), the circuit will be overloaded, and the fuse will blow to protect the circuit.
  • The fuse will disconnect the heater from the circuit, preventing further damage to the wires and avoiding potential hazards like overheating or fire.


Q7: (a) State Ohm’s law. Write the formula for the equivalent resistance R of the parallel combination of three resistors of values R1, R2, and R3.
(b) Find the resistance of the following network of resistors:  (3 Marks) (2024)
Class 10 Science Chapter 11 Previous Year Questions - Electricity

Class 10 Science Chapter 11 Previous Year Questions - ElectricityView Answer  Class 10 Science Chapter 11 Previous Year Questions - Electricity

Ans: (a) Ohm’s Law: The potential difference, V, across the ends of a given metallic wire in an electric circuit is directly proportional to the current flowing through it, provided its temperature remains the same.

Formula:

1Rp = 1R1 + 1R2 + 1R3

(b) R + R2 = 3R2


Q8: Case/Source-based questions.  (4 to 5 Marks) (CBSE 2024)
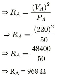
In a domestic circuit, five LED bulbs are arranged as shown. The source voltage is 220 V and the power rating of each bulb is marked in the circuit diagram. Based on the following circuit diagram, answer the following questions:
Class 10 Science Chapter 11 Previous Year Questions - Electricity

(a) State what happens when (i) key K1 is closed. (ii) key K2 is closed.
(b) Find the current drawn by the bulb B when it glows.
(c) Calculate (i) the resistance of bulb B, and (ii) the total resistance of the combination of four bulbs B, C, D, and E.
OR
(c) What would happen to the glow of all the bulbs in the circuit when keys Kand K2 both are closed and the bulb C suddenly gets fused? Give a reason to justify your answer.

Class 10 Science Chapter 11 Previous Year Questions - ElectricityView Answer  Class 10 Science Chapter 11 Previous Year Questions - Electricity

Ans: (a) (i) Bulb A glows  (ii) Bulbs B, C, D and E glow    
(b) P = V × I
Class 10 Science Chapter 11 Previous Year Questions - Electricity
(c) (i) Resistance of bulb B,Class 10 Science Chapter 11 Previous Year Questions - Electricity
(alternative formula for calculationClass 10 Science Chapter 11 Previous Year Questions - Electricity
(ii) Total resistance of the series combination of four bulbs = 4 x 275 = 1100 W
OR
(c) 

  • Bulb A will keep glowing with same brightness. 
  • Other bulbs i.e., B, D and E will stop glowing.
  • Reason: As the bulbs B, D and E are connected in series with fused bulb C, so no current flows through them and thus they will not glow. The bulb A remains unaffected as it is connected in parallel combination.


Q9: Consider the following combinations of resistors:  (1 Mark) (2024)
Class 10 Science Chapter 11 Previous Year Questions - ElectricityThe combinations having equivalent resistance 1 is/are: 
(a)
I and IV  
(b) Only IV  
(c) I and II  
(d) I, II and III  

Class 10 Science Chapter 11 Previous Year Questions - ElectricityView Answer  Class 10 Science Chapter 11 Previous Year Questions - Electricity

Ans: (c)
To determine which combinations of resistors have an equivalent resistance of 1 ohm, you need to analyze the given arrangements (I, II, III, and IV) based on how resistors are connected, either in series or parallel. Combinations that meet the criteria of having an equivalent resistance of 1 ohm are identified in options I and II. Therefore, the correct answer is (c) I and II.


Q10: An electric iron of resistance 20Ω  draws a current of 5 A. The heat developed in the iron in 30 seconds is:   (1 Mark) (2024)
(a) 
15000 J  
(b) 6000 J  
(c) 1500 J  
(d) 3000 J 

Class 10 Science Chapter 11 Previous Year Questions - ElectricityView Answer  Class 10 Science Chapter 11 Previous Year Questions - Electricity

Ans: (a)
To calculate the heat developed in the electric iron, we can use the formula H = I2 Rt, where H is the heat produced, I is the current (5 A), R is the resistance (20 ohms), and t is the time (30 seconds). 
Plugging in the values: H = (52) × 20 × 30 = 25 × 20 × 30 = 15000J 
So, the heat developed in the iron is 15000 J, making the correct answer (a) 15000 J.


Q11: Two wires A and B of the same material, having the same lengths and diameters 0·2 mm and 0·3 mm respectively, are connected one by one in a circuit. Which one of these two wires will offer more resistance to the flow of current in the circuit? Justify your answer.  (1 Mark) (2024)

Class 10 Science Chapter 11 Previous Year Questions - ElectricityView Answer  Class 10 Science Chapter 11 Previous Year Questions - Electricity

Ans: Wire A will offer more resistance
Justification:
Class 10 Science Chapter 11 Previous Year Questions - Electricity 

  • Smaller diameter ⇒ Smaller cross-sectional area ⇒ Higher resistance.
  • Wire A (0.2 mm diameter) has higher resistance than wire B (0.3 mm diameter).


Q12: The following questions are source-based/case-based questions. Read the case carefully and answer the questions that follow.
Study the following circuit:  (4 to 5 Marks) (2024)
Class 10 Science Chapter 11 Previous Year Questions - Electricity

On the basis of this circuit, answer the following questions:  
(a) Find the value of total resistance between points A and B.  
(b) Find the resistance between the points B and C.  
(c) (i) Calculate the current drawn from the battery, when the key is closed.  
OR
(c) (ii) In the above circuit, the 16 Ω resistor or the parallel combination of two resistors of 8 Ω, which one of the two will have more potential difference across its two ends? Justify your answer. 

Class 10 Science Chapter 11 Previous Year Questions - ElectricityView Answer  Class 10 Science Chapter 11 Previous Year Questions - Electricity

Ans: (a) Rs = 4 Ω + 6 Ω + 16 Ω = 26 Ω

Formula:

1Rp = 1R1 + 1R2 + 1R3

(b) 

1RP = 18 + 18

1RP = 28

RP = 4Ω

(c) (i) Total resistance = 26Ω + 4Ω = 30Ω

Potential difference = V = 6V

Current I = VR

= 630 = 15 A or 0.2 A

OR
(c) (ii) 16 Ω
Justification: According to Ohm’s law when same current flows, the potential difference across a higher resistance is always higher.
Potential difference across 16 Ω = V = IR = 0.2 x 16 = 3.2V
Potential difference across 8 Ω = V = IR(total) = 0.2 x 4 = 0.8V


Q13: An electric source can supply a charge of 500 coulomb. If the current drawn by a device is 25 mA, find the time in which the electric source will be discharged completely.   (1 Mark) (2024)

Class 10 Science Chapter 11 Previous Year Questions - ElectricityView Answer  Class 10 Science Chapter 11 Previous Year Questions - Electricity

Ans: Q = I x t
Class 10 Science Chapter 11 Previous Year Questions - Electricity


Q14: (a) (i) The potential difference across the two ends of a circuit component is decreased to one-third of its initial value, while its resistance remains constant. What change will be observed in the current flowing through it? Name and state the law which helps us to answer this question.
(ii) Draw a schematic diagram of a circuit consisting of a battery of four 1.5 V cells, a 5 Ω resistor, a 10 Ω resistor and a 15 Ω resistor, and a plug key, all connected in series. Now find (I) the electric current passing through the circuit, and (II) the potential difference across the 10 Ω resistor when the plug key is closed.
OR
(b) (i) When is the potential difference between two points said to be 1 volt?
(ii) A copper wire has a diameter of 0.2 mm and resistivity of 1.6 x 10-8 Ω m. What will be the length of this wire to make its resistance 14 Ω? How much does the resistance change if the diameter of the wire is doubled?  (4 to 5 Marks(2024)

Class 10 Science Chapter 11 Previous Year Questions - ElectricityView Answer  Class 10 Science Chapter 11 Previous Year Questions - Electricity

Ans: (a) (i) 

  • Current becomes one-third of its initial value.
  • Ohm’s Law

The potential difference across the ends of a conductor is directly proportional to the current flowing through it, provided its temperature remains the same.      
(ii)
Class 10 Science Chapter 11 Previous Year Questions - Electricity
Total Voltage = V = 4 x 1·5 V = 6 V
Total resistance, R(s) = R1+ R2 + R3
= 5 Ω + 10 Ω + 15 Ω = 30 Ω

(I) Current, I = VR = 6 V30 Ω = 0.2 A

(II) V = IR = 0.2 A × 10 Ω = 2 V

OR

(b) (i) When 1 joule of work is done to move a charge of 1 coulomb from one point to the other.

(ii) d = 0.2 mm = 2 × 10⁻⁴ m; R = 14 Ω

ρ = 1.6 × 10⁻⁸ Ω m; A = πd²4

R = ρ lA = 4 ρ lπd² or l = π d² R4 ρ

l = 227 × (2 × 10⁻⁴)²4 × 1.6 × 10⁻⁸ × 14

= 27.5 m

When the diameter is doubled, d' = 2d A' = 4A

R'R = AA' or R' = RAA' = RA4A

R'14 = A4A

R' = 3.5 Ω

Change (14.0 - 3.5) = 10.5 Ω


Q15:  In the given circuit the total resistance between X and Y is:

Class 10 Science Chapter 11 Previous Year Questions - Electricity(a) 12Ω
(b) 4 Ω
(c) 6 Ω
(d) 1 Ω
      (1 Mark) (CBSE 2024)

Class 10 Science Chapter 11 Previous Year Questions - ElectricityView Answer  Class 10 Science Chapter 11 Previous Year Questions - Electricity

Ans: (d)
To find the total resistance between points X and Y, we need to analyze the circuit configuration.

The given resistances are:
2 Ω, 3 Ω, and 6 Ω.

Looking at the circuit:
The 3 Ω and 6 Ω resistors are connected in parallel.
This parallel combination is then in series with the 2 Ω resistor.
Step 1: Calculate the equivalent resistance of the parallel combination of 3 Ω and 6 Ω.
Using the formula for parallel resistance:

1Rparallel = 13 + 16

1Rparallel = 2 + 16 = 36 = 12

So, Rparallel = 2Ω.
Step 2: Add the series resistance.
Now, the 2 Ω (from the parallel combination) is in series with the 2 Ω resistor at the start:
Rtotal = 2 + 2 = 4Ω
Therefore, the total resistance between points X and Y is 4 Ω.
The correct answer is (b) 4 Ω.


Q16: Draw a schematic diagram of a circuit consisting of a battery of four dry cells of 1.5 V each, a 2 Ω resistor, a 6 Ω resistor, a 16 Ω resistor and a plug key all connected in series. Put an ammeter to measure the current in the circuit and a voltmeter across the 16 Ω resistor to measure the potential difference across its two ends. Use Ohm’s law to determine: 
(A) ammeter reading, and 
(B) voltmeter reading when the key is closed.  (3 Marks) (2024)

Class 10 Science Chapter 11 Previous Year Questions - ElectricityView Answer  Class 10 Science Chapter 11 Previous Year Questions - Electricity

Ans: 

Class 10 Science Chapter 11 Previous Year Questions - Electricity

Equivalent resistance in the circuit: 
R = 2 + 6 + 16 
= 24 Ω 
The voltage supplied by the battery: 
V = 4 × 1.5 = 6 V 
(A) Using Ohm’s law we can calculate ammeter’s reading I. 
I = V / R = 6 / 24 = = 0.25 A 
(B) Voltmeter’s reading is: 
V' = IR = 0.25 ×16 = 4 V

Previous Year Questions 2023

Q1: The expressions that relate (i) Q, I and t and (ii) Q, V and W respectively are (here the symbols have their usual meanings):  
(1 Mark) (2023)
(a) (i) I = Q/t (ii) W = V/Q 
(b) (i) Q = I × t (ii) W = V × Q 
(c) (i) Q = I/t (ii) V = W/Q 
(d) (i) I = Q/t (ii) Q = V/W

Class 10 Science Chapter 11 Previous Year Questions - ElectricityView Answer  Class 10 Science Chapter 11 Previous Year Questions - Electricity

Ans: (b)
The correct expressions that relate charge (Q), current (I), time (t), voltage (V), and work done (W) are as follows: 
For the relationship between charge, current, and time: Q = I × t (the total charge is the product of current and time). 
For the relationship between work, voltage, and charge: W = V × Q (the work done is the product of voltage and charge). 
Thus, the correct answer is (b) (i) Q = I × t and (ii) W = V × Q.


Q2: (i) How is electric current related to the potential difference across the terminals of a conductor? Draw the labelled circuit diagram to verify this relationship.  (4 to 5 Marks) (2023)
(ii) Why should an ammeter have low resistance?
(iii) Two V-I graphs A and B for series and parallel combinations of two resistors are as shown.
Giving reason state which graph shows (a) series, (b) parallel combination of the resistors.  
Class 10 Science Chapter 11 Previous Year Questions - Electricity

Class 10 Science Chapter 11 Previous Year Questions - ElectricityView Answer  Class 10 Science Chapter 11 Previous Year Questions - Electricity

Ans: (i) It states that the potential difference V, across the ends of a given metallic wire in an electric circuit is directly proportional to the current flowing through it, provided its temperature remains the same. Mathematically,
V ∝ I
V = RI
where R is resistance of the conductor.
Class 10 Science Chapter 11 Previous Year Questions - Electricity
(ii) To measure the entire current passing through the circuit, the ammeter should have low resistance.
(iii) Series Combination:

RS = R1 + R2 = Maximum resistance. Therefore, the V-I graph for a series combination will have a steeper slope, indicating that the current increases less with the potential difference.
Parallel Combination:

Class 10 Science Chapter 11 Previous Year Questions - Electricity

Therefore, the V-I graph for a parallel combination will have a flatter slope, showing that the current increases more sharply with the potential difference.

So, RA > RB
Class 10 Science Chapter 11 Previous Year Questions - Electricity

Graph A: The graph with a steeper slope corresponds to the series combination of resistors.

Graph B: The graph with a flatter slope corresponds to the parallel combination of resistors.


Q3: (a) Define electric power and state its SI unit. The commercial unit of electrical energy is known as 'unit'. Write the relation between this 'unit' and joule.   (5 Marks) (2023)
(b) In a house, 2 bulbs of 50 W each are used for 6 hours daily and an electric geyser of 1 kW is used for 1 hour daily. Calculate the total energy consumed in a month of 30 days and its cost at the rate of ₹ 8.00 per kWh.

Class 10 Science Chapter 11 Previous Year Questions - ElectricityView Answer  Class 10 Science Chapter 11 Previous Year Questions - Electricity

Ans: (a) The electric power of an electrical device is the rate at which electric energy is dissipated or consumed in an electric circuit.
Power = Work/Time = Energy/Time
The SI unit of electric power is watt (W).
1W = 1 volt x 1 ampere = 1
VA 1 unit = 1 kWh = 3.6 x 10J
(b) 2 bulbs: P = 50 W, t = 6 hr daily
1 geyser: P = 1 kW, t = 1hr
E=P x t used by every 2 bulbs + energy used by geyser
= 30 days, Rs. = 8/kWh
Now, total energy consumed in one day
= 2 × 50 × 6 + 1 x 1000 =  1600 Wh
Total energy consumed in 30 days
= 30 x 1600 Wh = 48 kWh
Bill = 8 x 48 = Rs. 384.


Q4: If four identical resistors, of resistance 8 ohms, are first connected in series so as to give an effective resistance Rs, and then connected in parallel so as to give an effective resistance Rp, then the ratio RS / Ris:
(a) 32 
(b) 2 
(c) 0.5 
(d) 16
  (1 Mark) (CBSE 2023)

Class 10 Science Chapter 11 Previous Year Questions - ElectricityView Answer  Class 10 Science Chapter 11 Previous Year Questions - Electricity

Ans: (d)
Given:
Four identical resistors, each with a resistance of 8Ω.
Calculate the total resistance in series (
R_S
RS):
When resistors are connected in series, the total resistance is the sum of individual resistances:
RS = 8 + 8 + 8 + 8 = 4 × 8 = 32Ω
Calculate the total resistance in parallel (RP):When resistors are connected in parallel, the total resistance is given by:

Class 10 Science Chapter 11 Previous Year Questions - Electricity

So, RP = 2Ω
Calculate the ratio RS / RPClass 10 Science Chapter 11 Previous Year Questions - Electricity

Therefore, the correct answer is (d) 16.


Q5: In the following diagram, the position of the needle is shown on the scale of a voltmeter. The least count of the voltmeter and the reading shown by it respectively are: 

Class 10 Science Chapter 11 Previous Year Questions - Electricity

(a) 0.15 V and 1.6 V 
(b) 0.05 V and 1.6 V 
(c) 0.15 V and 1.8 V 
(d) 0.05 V and 1.8 V 
     (1 Mark) (CBSE 2023)

Class 10 Science Chapter 11 Previous Year Questions - ElectricityView Answer  Class 10 Science Chapter 11 Previous Year Questions - Electricity

Ans: (c)
To determine the least count of the voltmeter and the reading shown by the needle, let's analyze the diagram.

Least Count Calculation:

  • The scale on the voltmeter ranges from
    0 to
    3
    3 volts.
  • There are 15 divisions between 0.0 and
    1.5
    1.5 volts, and similarly 15 divisions between 1.5 and
    3 volts.
  • Therefore, each division represents: 1.5V / 15 = 0.1V
  • So, the least count of the voltmeter is 0.1 V.

Reading of the Voltmeter:

  • The needle is positioned at 1.8 V on the scale.

Based on this analysis, the correct answer is:

  • Least count: 0.1 V
  • Reading shown by the voltmeter: 1.8 V

Thus, the correct option is (c) 0.15 V and 1.8 V.


Q6: (A) An electric iron consumes energy at a rate of 880 W when the heating is at the maximum rate and 330 W when the heating is at the minimum. If the source voltage is 220 V, calculate the current and resistance in each case. 
(B) What is the heating effect of electric current? 
(C) Find an expression for the amount of heat produced when a current passes through a resistor for some time. (4 to 5 Marks) (CBSE 2023)

Class 10 Science Chapter 11 Previous Year Questions - ElectricityView Answer  Class 10 Science Chapter 11 Previous Year Questions - Electricity

Ans: (A) Power = VI = V2 / R, 
where V is voltage, I is current, R is resistance. 
First case, 
Power = 880 W 
Voltage = 220 V 
⇒ 880 = 220 × I 
⇒ I  = 4 A 
⇒ 880 = 2202 / R 
⇒ R = 55 Ω 
Second Case, 
Power = 330 W
P = VI = V2/R
P = 220 × I 
⇒ 330 = 2202 / R 
⇒ R = 440 / 3 Ω
(B) When a conductor provides resistance to current flow, the work done by the current in overcoming this resistance is converted into heat energy. This is known as the current heating effect.
(C) The amount of work done W in carrying a charge Q through a wire of resistance R in time t is given by: 
W = Q × V Since Q = I × t 
Therefore. 
W = V × I × t 
where V is the potential difference across the wire. 
Since by Ohm’s law, 
V = IR
Therefore, W = I2Rt 
The electric energy dissipated or consumed is directly proportional to the square of the current I, directly proportional to the resistance R and to the time t during which current flows. 
H = I2Rt

Previous Year Questions 2022

Q1: (a) State Ohm's Law. Represent it mathematically.  (2022)
(b) Define 1 ohm.
(c) What is the resistance of a conductor through which a current of 0.5 A flows when a potential difference of 2V is applied across its ends?  

Class 10 Science Chapter 11 Previous Year Questions - ElectricityView Answer  Class 10 Science Chapter 11 Previous Year Questions - Electricity

Ans: (a) Ohm's law states that the electric current flowing through a conductor is directly proportional to the potential difference applied across its ends, provided physical conditions like temperature etc., are kept unchanged.
Mathematically, V ∝ I
or V/I = constant or V/I = R ⇒ V = IR
where, R is called the resistance of the conductor. SI unit of resistance is ohm and is denoted by Ω. It is a constant of proportionality and its value depends upon the size, nature of material and temperature. (b) If the potential difference across the two ends of a conductor is 1 V and the current through it is 1 A, then the resistance R, of the conductor is said to be 1Ω.
We know that, R = V/l

Therefore, 1 ohm = 1 volt1 ampere or 1Ω = 1 V1 A

(c) Given, potential difference V = 2V

Current, I = 0.5 A

Using Ohm's law, V = IR

⇒ R = VI ⇒ R = 2V0.5 A = 4Ω


Q2:  In the following figure, three cylindrical conductors A, B and C are shown along with their lengths and areas of cross-section.
Class 10 Science Chapter 11 Previous Year Questions - Electricity

If these three conductors are made of the same material and RA,RB, and RC be their respective resistances, then find 
(I) RA/RB, and (II)RA/RC .  (2022)

Class 10 Science Chapter 11 Previous Year Questions - ElectricityView Answer  Class 10 Science Chapter 11 Previous Year Questions - Electricity
Ans: (i) L We have three cylindrical conductors A, B and C-
Class 10 Science Chapter 11 Previous Year Questions - Electricity
These three conductors are made of the same materials and their respective resistance are σ RA. RB and Rc.

∴ R = ρ LA

So, RA = ρ × LA = ρ LA

RB = ρ × L / 22Aρ L4A

RC = ρ × LA / (2 × 2)ρ LA

Then, (I) RARB = ρ LA / ρ L4A ⇒ 4; RA : RB = 4

(II) RARC = ρ LA / ρ LA ⇒ 1


Q3: (a) List the factors on which the resistance of a uniform cylindrical conductor of a given material depends.
(b) The resistance of a wire of 0.01 cm radius is 10Ω. If the resistivity of the wire is 50 x 10-8 Ω m, find the length of this wire.  (2022)
Class 10 Science Chapter 11 Previous Year Questions - ElectricityView Answer  Class 10 Science Chapter 11 Previous Year Questions - Electricity
Ans: (a) The resistance of a uniform cylindrical conductor depends on
(i) Length of the conductor (l)
(ii) Area of cross-section of the conductor (A)
(b) The formula of resistance, R = ρl/A,

Given, Radius, r = 0.01 cm = 0.0001 m

Resistance, R = 10 Ω

Resistivity, ρ = 50 × 10⁻⁸ Ω m

R = ρ (L / A)

L = (R × A) / ρ

= (10 × 3.14 × (0.0001)²) / (50 × 10⁻⁸)

= 0.628 m

Hence, the length of the wire is 0.628 m.


Q4: Calculate the equivalent resistance of the following electric circuit:  (2022)

Class 10 Science Chapter 11 Previous Year Questions - Electricity

Class 10 Science Chapter 11 Previous Year Questions - ElectricityView Answer  Class 10 Science Chapter 11 Previous Year Questions - Electricity

Ans: First, calculate the resistance of 2 series resistors inside the loop, i.e., = R1 +R2
 =10Ω + 10Ω
= 20Ω
To calculate the equivalent resistance in the given electric circuit, let us find the parallel resistance. For that we use

= R1 × R2R1 + R2

= 20Ω × 20Ω20Ω + 20Ω

= 400Ω40Ω

= 10Ω

Now, again applying the series formula to add the resistors together =10Ω + 10Ω + 20Ω = 40Ω
So the total resistance of the given 40Ω


Q5: (i) Write the formula for determining the equivalent resistance between A and B of the two combinations (I) and (II) of three resistors and arranged as follows:Class 10 Science Chapter 11 Previous Year Questions - Electricity

(ii) If the equivalent resistance of the arrangements (I) and (II) are and respectively, then which one of the following graphs is correctly labelled? Justify your answer.  (2022)Class 10 Science Chapter 11 Previous Year Questions - Electricity

Class 10 Science Chapter 11 Previous Year Questions - ElectricityView Answer  Class 10 Science Chapter 11 Previous Year Questions - Electricity

Ans:  (i)Class 10 Science Chapter 11 Previous Year Questions - Electricity
We know that resistance R1, R2 and R3 are in series.
So, RAB = R1 + R2 + R3
Class 10 Science Chapter 11 Previous Year Questions - Electricity
So,

1R = 1R1 + 1R2 + 1R3

1R = R2R3 + R3R1 + R1R2R1R2R3

or

R = R1R2R3R1R2 + R2R3 + R3R1

(ii) The slope of V-I graph gives the resistance. The greater the slope greater will be the resistance. We know, Rs > R
∴ Graph (I) is correct


Q6: Study the following electric circuit in which the resistors are arranged in three arms A, B and C  (2022)
Class 10 Science Chapter 11 Previous Year Questions - Electricity(a) Find the equivalent resistance of arm A. 
(b) Calculate the equivalent resistance of the parallel combination of the arms B and C. 
(c) (i) Determine the current that flows through the ammeter. 
OR 
(ii) Determine the current that flows in the ammeter when the arm B is withdrawn from the circuit

Class 10 Science Chapter 11 Previous Year Questions - ElectricityView Answer  Class 10 Science Chapter 11 Previous Year Questions - Electricity

Ans: The equivalent resistance in the arm A = 5Ω + 15Ω + 20Ω =40 Ω
(b) The equivalent resistance of the parallel combination of the arms B and C= ((1/10Ω + 1/20Ω + 1/30Ω) + (1/5Ω + 1/10Ω + 1/15Ω))-1 =20Ω
(c) (i) Current flow flowing through the ammeter = 6/60 = 0.1 A
OR
(ii) Current that flows in the ammeter when the arm B is withdrawn
from the circuit = 6/60 = 0.1A


Q7: (i) State Joule's law of heating. Express it mathematically when an appliance of resistance R is connected to a source of voltage V and the current I flows through the appliance for a time t.
(ii) Α 5 Ω resistor is connected across a battery of 6 volts. Calculate the energy that dissipates as heat in 10 seconds.  (2022)

Class 10 Science Chapter 11 Previous Year Questions - ElectricityView Answer  Class 10 Science Chapter 11 Previous Year Questions - Electricity

Ans: (i) According to Joule's law of heating, when a current (I) is passed through a conductor of resistance (R) for a certain time (t), the conductor gets heated up and the amount of energy released is given by
Class 10 Science Chapter 11 Previous Year Questions - Electricity
Class 10 Science Chapter 11 Previous Year Questions - Electricity
Class 10 Science Chapter 11 Previous Year Questions - Electricity
Class 10 Science Chapter 11 Previous Year Questions - Electricity


Q8: (a) Calculate the resistance of a metal wire of length 2 m and area of cross-section 1.55 × 10-6 m(Resistivity of the metal is 2.8 × 10-8 Ωm)
(b) Why are alloys preferred over pure metals to make the heating elements of electrical heating devices? (2022)

Class 10 Science Chapter 11 Previous Year Questions - ElectricityView Answer  Class 10 Science Chapter 11 Previous Year Questions - Electricity

Ans: (a) Here, the length of the wire, l = 2m
Area of cross-section, A = 1.55 × 10-6 m
Resistivity of metal, ρ = 2.8 × 10-8 Ω m
Class 10 Science Chapter 11 Previous Year Questions - Electricity

Class 10 Science Chapter 11 Previous Year Questions - Electricity

(b) Why Alloys Are Preferred Over Pure Metals for Heating Elements

  1. Higher Resistivity: Alloys have higher resistivity than pure metals, which helps in generating more heat.
  2. Less Oxidation & Corrosion: Alloys do not oxidize or corrode easily at high temperatures, increasing durability.
  3. Better Heat Tolerance: Alloys can withstand high temperatures without melting or softening.
  4. Stable Resistance: The resistance of alloys does not change significantly with temperature, ensuring consistent heating.
    Thus, alloys are preferred for making heating elements in electrical heating devices. 


Q9: An electric heater rated 1100 W operates at 220 V. Calculate 
(i) its resistance, and 
(ii) the current drawn by it.  (2022)

Class 10 Science Chapter 11 Previous Year Questions - ElectricityView Answer  Class 10 Science Chapter 11 Previous Year Questions - Electricity

Ans: Power of electric heater, P = 1100 W
Operating voltage, V = 220 V
(i) Its resistance, R= V2/P
R = 220 x 220/1100 Ω : R = 44 Ω
operating voltage, V = 220 V
So, current I = V/R = 220/44= 5A
(ii) Using the formula:
I = P / V
= 1100 / 220
= 5 A


Q10: (a) What is the meaning of electric power of an electrical device? Write its SI unit.
(b) An electric kettle of 2kW is used for 2 hours. Calculate the energy consumed in
(i) kilowatt-hour and
(ii) joules  (2022)

Class 10 Science Chapter 11 Previous Year Questions - ElectricityView Answer  Class 10 Science Chapter 11 Previous Year Questions - Electricity

Ans: (a) The electric power of an electrical device is the rate at which electric energy is dissipated or consumed in an electric circuit.
Power = Work/Time = Energy/Time
The SI unit of electric power is watt (W)
1 W =1 volt × 1 ampere = 1 V A
(b) (i) Electrical energy is the product of power and time.
E = P x t
= 2 kW × 2h = 4kW h
(ii) Electric energy consumed in joules
1 kWh =3.6× 106 J
4 kW h = 3.6 × 106 x 4 = 14.4 x 106 J.


Q11: (i) Define electric power and write its SI unit.
(ii) Two lamps, one rated 100 W at 220 V, and the other 60 W at 220 V, are connected in parallel to an electric mains supply. What current is drawn from the line if the supply voltage is 220 V? (2022)

Class 10 Science Chapter 11 Previous Year Questions - ElectricityView Answer  Class 10 Science Chapter 11 Previous Year Questions - Electricity

Ans: (i) The rate at which electric energy is dissipated or consumed in an electric circuit is called electric power.
SI unit of electric power is watt (W).
(ii) Given, P1 = 100 W, V1 = 220 V
P2 = 60 W, V2 = 220 V
P = VI
Class 10 Science Chapter 11 Previous Year Questions - Electricity
∴ Total current = l1 + l2 = 0.45 + 0.27 = 0.72 A


Q12: Define the term electric power. An electric device of resistance R when connected across an electric source of voltage V draws a current I. Derive an expression for the power in terms of resistance R and voltage V. What is the power of a device of resistance 400 Ω operating at 200 V ?  (2022)

Class 10 Science Chapter 11 Previous Year Questions - ElectricityView Answer  Class 10 Science Chapter 11 Previous Year Questions - Electricity

Ans: Electric Power: The rate at which electrical energy is consumed or dissipated is called electrical power.
Class 10 Science Chapter 11 Previous Year Questions - Electricity
P = VI,
[∵ V = IR]
P = (IR) I = I2 R

Given:

  • Resistance (R) = 400 Ω
  • Voltage (V) = 200 V

Power Calculation:
Using the formula:
P = V² / R
= (200 × 200) / 400
= 40000 / 400
= 100 W

Previous Year Questions 2021

Q1: Two lamps one rated 100W at 220V, and the other 60W at 220V, are connected in parallel to electric mains supply. What current is drawn from the line if the supply voltage is 220V?  (2021)

Class 10 Science Chapter 11 Previous Year Questions - ElectricityView Answer  Class 10 Science Chapter 11 Previous Year Questions - Electricity

Ans: Current drawn by 1st lamp rated 100W at 220V

I1 = P1V = 100220 = 511 A

and current drawn by 2nd lamp rated 60W at 220V

I2 = P2V = 60220 = 311 A

In parallel arrangement the total current

I = I1 + I2 = 511 + 311 = 811 A = 0.73 A

Previous Year Questions 2020

Q1: If a person has five resistors each of value 5Ω, then the maximum resistance he can obtain by connecting them is  (2020)
(a) 1Ω
(b) 5Ω
(c) 10Ω
(d) 25Ω

Class 10 Science Chapter 11 Previous Year Questions - ElectricityView Answer  Class 10 Science Chapter 11 Previous Year Questions - Electricity

Ans: (d)
Sol: The maximum resistance can be obtained from a group of resistors by connecting them in series. Thus,

Rtotal = R + R + R + R + R = 5R
Rtotal = 5 x 5Ω

 
Q2: The maximum resistance which can be made using four resistors each of resistance 2 Ω is  (2020)
(a) 2 Ω
(b) 1 Ω
(c) 2.5 Ω
(d) 8 Ω

Class 10 Science Chapter 11 Previous Year Questions - ElectricityView Answer  Class 10 Science Chapter 11 Previous Year Questions - Electricity

Ans: (d)
Sol: A group of resistors can produce maximum resistance when they all are connected in series.

Rtotal = R1 + R2 + R3 + R4.

Substitute R1 = R2 = R3 = R4 = 2Ω:

Rtotal = 2Ω + 2Ω + 2Ω + 2Ω = 8Ω.


Q3: The maximum resistance which can be made using four resistors each of resistance 1/2 Ω is  (2020)
(a) 2Ω
(b) 1Ω 
(c) 2.5Ω 
(d) 8Ω

Class 10 Science Chapter 11 Previous Year Questions - ElectricityView Answer  Class 10 Science Chapter 11 Previous Year Questions - Electricity

Ans: (a)
Sol: The maximum resistance can be produced from a group of resistors by connecting them in series.
Thus,
Rtotal = 12 + 12 + 12 + 12 = 4 × 12 = 2Ω


Q4: A V-I graph for a nichrome wire is given below. What do you infer from this graph? Draw a labelled circuit diagram to obtain such a graph.   (2020)

Class 10 Science Chapter 11 Previous Year Questions - Electricity

Class 10 Science Chapter 11 Previous Year Questions - ElectricityView Answer  Class 10 Science Chapter 11 Previous Year Questions - Electricity

Ans: V-I graph: The nichrome cable's V-I graph exhibits a straight line. It signifies that the resistance of the wire stays unchanged while the current supply has been varied. That is an ohmic conductor because it follows the ohm's law.
Mathematically, ohm's law can be represented as:
V = IR
Here,
R is the resistance.
V is the voltage.
I is the current.
The resistance of a wire will be:
⇒ R = V/I
= 0.4/0.1
= 4Ω
Thus, the circuit diagram for the given case is,
Class 10 Science Chapter 11 Previous Year Questions - Electricity
Therefore, because nichrome wire has a constant resistance of 4 but also obeys Ohm's law, it is classified as an ohmic conductor.


Q5: (a) Write the mathematical expression for Joule's law of heating. 

(b) Compute the heat generated while transferring 96000 coulomb of charge in two hours through a potential difference of 40 V.   (2020)

Class 10 Science Chapter 11 Previous Year Questions - ElectricityView Answer  Class 10 Science Chapter 11 Previous Year Questions - Electricity

Ans: (a) As per mathematical expression for Joule.s law of heating
Heat produced H = VIt = I2 Rt = V2/R t
When a voltage V is applied across a resistance R for time t so that a current I flows through it.
(b) Here charge Q = 96000 C, time t = 2 h and potential difference V = 40 V
Heat generated H=VIt = VQ
⇒ H = 40 x 96000 = 3840000 J = 3.84 x 106 J


Q6: Two bulbs of 100 W and 40 W are connected in series. The current through the 100 W bulb is 1A. The current through the 40 W bulb will be:   (2020)
(a) 0.4A
(b) 0.6A
(c) 0.8A
(d) 1A

Class 10 Science Chapter 11 Previous Year Questions - ElectricityView Answer  Class 10 Science Chapter 11 Previous Year Questions - Electricity

Ans: 
Sol: Current through bulb:

  • The same current will flow through both bulbs in series.
  • When the same current flows through all of the circuit's components, the circuit is said to be connected in series.
  • The current has only one path in such circuits.
  • As an example of a series circuit, consider the household decorative string lights.
  • This is nothing more than a string of tiny bulbs connected in series.
  • If one of the bulbs in a series burns out, none of the others will light up.
  • Hence, Option (D) is correct.


Q7: (a) What is meant by the statement, "The resistance of a conductor is one ohm"?
(b) Define electric power. Write an expression relating electric power, potential difference and resistance.
(c) How many 132 Ω resistors in parallel are required to carry 5 A on a 220 V line?  (2020)

Class 10 Science Chapter 11 Previous Year Questions - ElectricityView Answer  Class 10 Science Chapter 11 Previous Year Questions - Electricity

Ans: (a) If a current of 1 ampere flows through it when the potential difference across it is 1 volt
(b) The electric power is the electric work done per unit time [P=W/T]. the relation between electric power , potential difference and resistance is P = V2/R
(c) R= V/I
= 220/5 = 44 ohm
R= 44 = 132/n
hence, 132/44 = 3 Resistors 


Q8: (a) Write the mathematical expression for Joule's law of heating. 
(b) Compute the heat generated while transferring 96000 coulombs of charge in two hours through a potential difference of 40 V. (2020)

Class 10 Science Chapter 11 Previous Year Questions - ElectricityView Answer  Class 10 Science Chapter 11 Previous Year Questions - Electricity

Ans: (a) The Joule's law of heating implies that heat produced in a resistor is
(i) directly proportional to the square of current for a given resistance,
(ii) directly proportional to resistance for a given current, and
(iii) directly proportional to the time for which the current flows through the resistor. i.e., H = I2 Rt
(b) Given, charge q = 96000C time t = 2h = 7200s and potential difference V = 40V
We know,
Class 10 Science Chapter 11 Previous Year Questions - Electricity
Class 10 Science Chapter 11 Previous Year Questions - Electricity


Q9: A cylindrical conductor of length ‘l‘ and uniform area of cross-section ‘A‘ has resistance ‘R‘. Another conductor of length 2.5l and resistance 0.5R and of the same material has area of cross-section: 
(a) 5A 
(b) 2.5A 
(c) 0.5A 
(d) 1 / 5A (CBSE 2020)

Class 10 Science Chapter 11 Previous Year Questions - ElectricityView Answer  Class 10 Science Chapter 11 Previous Year Questions - Electricity

Ans: (a)

For a conductor, resistance R is given by:

Class 10 Science Chapter 11 Previous Year Questions - Electricitywhere:

  • ρ is the resistivity of the material (constant for a given material),
  • l is the length of the conductor,
  • A is the area of cross-section.

Given:

  1. A conductor with length ll, area A, and resistance RR.
  2. Another conductor of the same material with length 2.5l and resistance 0.5R.

Let the area of cross-section of the second conductor be A′.

Since the two conductors are made of the same material, their resistivity ρ is the same. We can set up the resistance formulas for each conductor:

For the first conductor:

R = ρ ⋅ lA

For the second conductor:

0.5R = ρ ⋅ (2.5l)A'

Now, substitute R = ρ ⋅ lA into the equation for the second conductor:

0.5 ⋅ ρ ⋅ lA = ρ ⋅ (2.5l)A'

Canceling ρ and l from both sides:

0.5 ⋅ 1A = 2.5A'

Rearranging to solve for A':

A' = 2.5 × 0.5A = 5A

Therefore, the area of cross-section AA'A′ of the second conductor is 5A.


Q10The resistance of a resistor is reduced to half of its initial value. In doing so, if other parameters of the circuit remain unchanged, the heating effects in the resistor will become: 
(a) two times 
(b) half 
(c) one-fourth 
(d) four times (CBSE 2020)

Class 10 Science Chapter 11 Previous Year Questions - ElectricityView Answer  Class 10 Science Chapter 11 Previous Year Questions - Electricity

Ans: (a)

The heating effect HH in a resistor is given by Joule's law of heating:

H = I2Rt

where:

  • II is the current,
  • RR is the resistance,
  • tt is the time.

If the resistance RR is reduced to half of its initial value, and assuming the voltage VV across the resistor remains unchanged, the current I through the resistor will increase.

Using Ohm’s law:  I = V/R

When R is reduced to R/2, the new current I' becomes:

I' = VR/2 = 2 × VR = 2I

Now, substituting into the heating formula:

H' = (I')² R' t = (2I)² × R2 × t

= 4I² × R2 × t = 2I² R t

Thus, the heating effect becomes twice the initial heating effect.
Therefore, the correct answer is (a) two times.


Q11: Assertion (A): Alloys are commonly used in electrical heating devices like electric iron and heater.
Reason (R): Resistivity of an alloy is generally higher than that of its constituent metals but the alloys have low melting points than their constitutent metals.
(a) Both (A) and (R) are true, and (R) is the correct explanation of (A). 
(b) Both (A) and (R) are true, and (R) is not the correct explanation of (A). 
(c) (A) is true but (R) is false. 
(d) (A) is false but (R) is true.  (CBSE 2020)

Class 10 Science Chapter 11 Previous Year Questions - ElectricityView Answer  Class 10 Science Chapter 11 Previous Year Questions - Electricity

Ans: (a)
Assertion (A): Alloys are commonly used in electrical heating devices like electric irons and heaters. This is true because alloys have certain properties that make them suitable for these applications, such as high resistivity, which allows them to produce heat effectively.
Reason (R): Resistivity of an alloy is generally higher than that of its constituent metals but the alloys have low melting points than their constituent metals." This statement is also generally true. Alloys like nichrome have a higher resistivity, which is beneficial for heating applications, and they also tend to have controlled melting points, which can sometimes be lower than certain individual metals but still appropriate for their purpose in heating devices.
Therefore, both the assertion and reason are correct, and the reason correctly explains why alloys are used in heating devices.
So, the correct answer is (a) Both (A) and (R) are true, and (R) is the correct explanation of (A).


Q12: Assertion (A): At high temperatures, metal wires have a greater chance of short circuiting.
Reason (R): Both resistance and resistivity of a material vary with temperature.
(a) Both (A) and (R) are true, and (R) is the correct explanation of (A). 
(b) Both (A) and (R) are true, and (R) is not the correct explanation of (A). 
(c) (A) is true but (R) is false. 
(d) (A) is false but (R) is true.  (CBSE 2020)

Class 10 Science Chapter 11 Previous Year Questions - ElectricityView Answer  Class 10 Science Chapter 11 Previous Year Questions - Electricity

Ans: (b)
Assertion (A): "At high temperatures, metal wires have a greater chance of short circuiting." This statement is true. At high temperatures, metal wires can overheat, which may lead to insulation breakdown, increasing the risk of short circuits.
Reason (R): "Both resistance and resistivity of a material vary with temperature." This statement is also true. The resistance and resistivity of metals generally increase with temperature due to increased atomic vibrations, which impede the flow of electrons.
However, the reason is not the direct cause of the assertion. The increased risk of short circuiting at high temperatures is mainly due to the possibility of insulation breakdown and not solely because of changes in resistance or resistivity.
Therefore, the correct answer is (b) Both (A) and (R) are true, and (R) is not the correct explanation of (A).


Q13: (A) An electric bulb is rated at 200 V; 100 W. What is its resistance? 
(B) Calculate the energy consumed by 3 such bulbs if they glow continuously for 10 hours for complete month of November. 
(C) Calculate the total cost if the rate is ₹ 6.50 per unit.  (CBSE 2020)

Class 10 Science Chapter 11 Previous Year Questions - ElectricityView Answer  Class 10 Science Chapter 11 Previous Year Questions - Electricity

Ans: (A) 

V = 200 V

P = 100 W

R = ?

P = VI

V = IR

I = VR

P = V × VR or P = R

R = P

R = 200 × 200100

R = 400 Ω

(B) P = 100 W (given 3 such bulbs)
= 100 / 1000  = 0.1 kW
No. of bulbs = 3
time, t = 10 hours
Number of days in the month of November
= 30
E = P × t
Total energy consumed by 3 bulbs in 30 days
= 3 × 0.1 × 10 × 30
= 90 kWh
Hence, the energy consumed by 3 such bulbs for the month of November will be 90 kWh.
(C) Total cost = ? 
Rate of per unit = ₹ 6.50 per unit 
1 kWh = 1 unit 
90 kWh = 90 units 
Tost cost = 90 × 6.50 = ₹ 585.00 
Hence, the total of operating 3 such bulbs will  ₹ 585.

Previous Year Questions 2019

Q1: A student carries out an experiment and plots the V-I graph of three samples of nichrome wire with resistances R1, R2 and R3 respectively. Which of the following is true?  (2019)
Class 10 Science Chapter 11 Previous Year Questions - Electricity(a) R1 = R2 = R3
(b) R1 > R2 > R3
(c) R3 > R2 > R1
(d) R2 > R3 > R
1

Class 10 Science Chapter 11 Previous Year Questions - ElectricityView Answer  Class 10 Science Chapter 11 Previous Year Questions - Electricity

Ans: (c)
Sol: Resistance is given by the slope of V-I graph.
Here the graph is I-V graph.
So, resistance is given by the inverse of the slope.
From the graph, the order of the slope is slope of R1 > slope of R2 > slope of R3
Therefore order of resistance is R> R2 > R1.
Hence, option (c) is correct.


Q2: When do we say that the potential difference between two points of a circuit in 1 volt?   (2019)

Class 10 Science Chapter 11 Previous Year Questions - ElectricityView Answer  Class 10 Science Chapter 11 Previous Year Questions - Electricity

Ans: Potential difference between two points of an electric circuit is said to be 1 volt, when a work of 1 J is to be done for moving a charge of 1 C between these two points.


Q3: Define resistance. Give its SI unit.   (2019)

Class 10 Science Chapter 11 Previous Year Questions - ElectricityView Answer  Class 10 Science Chapter 11 Previous Year Questions - Electricity

Ans: Resistance of a conductor is the measure of opposition offered by it for the flow of electric charge through it. SI unit of resistance is ‘ohm’ (Ω).


Q4: State ohm’s law.   (2019)

Class 10 Science Chapter 11 Previous Year Questions - ElectricityView Answer  Class 10 Science Chapter 11 Previous Year Questions - Electricity

Ans: According to Ohm’s law, temperature remaining constant, the current passing through a conductor is directly proportional to the potential difference across its ends, i.e.,
V ∝ I or V = IR
Here, constant R is known as the resistance of given conductor.


Q5: In the circuit given below, the resistors and have the values and respectively, which have been connected to a battery of 12 V. Calculate

Class 10 Science Chapter 11 Previous Year Questions - Electricity(a) the current through each resistor,(b) the total circuit resistance, and(c) the total current in the circuit.  (2019)

Class 10 Science Chapter 11 Previous Year Questions - ElectricityView Answer  Class 10 Science Chapter 11 Previous Year Questions - Electricity

Ans:
Class 10 Science Chapter 11 Previous Year Questions - Electricity

(a) As all the resistances are in parallel, the voltage across each of them will be the same, which is 12V.

I1 = V / R1 = 12 / 5 = 2.4A

I2 = V / R2 = 12 / 10 = 1.2A

I3 = V / R3 = 12 / 30 = 0.4A

(b) Total current = I1 + I2 + I3 = 2.4 + 1.2 + 0.4 = 4A

(c) Total circuit resistance = V / Total current = 12 / 4 =


Q6: On what factors does the resistance of a conductor depend?
Or
List the factors on which the resistance of a conductor in the shape of a wire depends.  (2019)

Class 10 Science Chapter 11 Previous Year Questions - ElectricityView Answer  Class 10 Science Chapter 11 Previous Year Questions - Electricity

Ans: Resistance is defined as the opposition to the flow of electrical current through a conductor. The resistance of an electric circuit can be measured numerically. Conductivity and resistivity are inversely proportional. The more conductive, the less resistance it will have.
Resistance = Potential difference/ Current
Factors on which the conductor depends

  • The temperature of the conductor 
  • The cross-sectional area of the conductor 
  • Length of the conductor 
  • Nature of the material of the conductor

Electrical resistance is directly proportional to the length (L) of the conductor and inversely proportional to the cross-sectional area (A). It is given by the following relation.
R = ρl/A
where ρ is the resistivity of the material (measured in Ωm, ohm meter)
Resistivity is a qualitative measurement of a material’s ability to resist flowing electric current. Obviously, insulators will have a higher value of resistivity than of conductors.
Class 10 Science Chapter 11 Previous Year Questions - Electricity


Q7: (a) A bulb is rated 40 W, 220 V. Find the current drawn by it when it is connected to a 220 V supply. Also, find its resistance.
(b) If the given blub is replaced by a blub of rating 25 W, 220 V, will there be any change in the value of current and resistance? Justify your answer and determine the change.   (2019)

Class 10 Science Chapter 11 Previous Year Questions - ElectricityView Answer  Class 10 Science Chapter 11 Previous Year Questions - Electricity

Ans: (a) Here power of bulb P = 40 W and voltage V = 220 V

∴ Current drawn by the bulb I = PV = 40220 = 211 A

and resistance of the bulb R = VI = 220(2 / 11) = 220 × 112 = 1210 Ω

(b) On taking another bulb of power P' = 25 W and voltage V = 220 V, there is a change in the value of current and resistance because their values depend on the power of the bulb.

New current I' = P'V = 25220 = 544 A

and new resistance R' = VI' = 220(5 / 44) = 220 × 445 = 1936 Ω


Q8: Derive the expression for power P consumed by a device having resistance R and potential difference V.
Or
A device of resistance R is connected across a source of V voltage and draws a current I . Derive an expression for power in terms of voltage (or current) and resistance.  (2019)

Class 10 Science Chapter 11 Previous Year Questions - ElectricityView Answer  Class 10 Science Chapter 11 Previous Year Questions - Electricity

Ans: Amount of work done in carrying a charge Q through a potential difference V is
W = QV.
But Q = It  ∴ W = VIt

As power is defined as the rate of doing work, hence

Power P = Wt = VItt = VI

If R is the value of resistance of the conductor, then V = RI and hence

P = VI = (RI)I = I²R

Again P = VI = V × VR = R

Thus, in general, we can say that electric power is given by

P = VI = I²R = R


Q9: Compare the power used in 2 Ω resistor in each of the following circuits shown in Fig. (a) and (b) respectively.  (2019)
Class 10 Science Chapter 11 Previous Year Questions - Electricity

Class 10 Science Chapter 11 Previous Year Questions - ElectricityView Answer  Class 10 Science Chapter 11 Previous Year Questions - Electricity

Ans: When a 2 Ω resistor is joined to a 6 V battery in series with 1 Ω and 2 Ω resistors, total resistance of the combination Rs = 2 + 1 + 2 = 5Ω

∴ Current in the circuit I1 = 6V = 1.2 A

∴ Power used in the 2Ω resistor P1 = I1² R = (1.2)² × 2 = 2.88 W.

(ii) When 2Ω resistor is joined to a 4V battery in parallel with 12Ω and 2Ω resistors, current flowing in 2Ω resistor is independent of the other resistors.

∴ Current flowing through 2Ω resistor I2 = 4V = 2 A

∴ Power used in the 2Ω resistor P2 = I2² R = (2)² × 2 = 8 W

P1P2 = 2.88 W8 W = 0.36 : 1.


Q10: Derive the relation R = R1 + R2 + R3 when resistors are joined in series.  (2019)

Class 10 Science Chapter 11 Previous Year Questions - ElectricityView Answer  Class 10 Science Chapter 11 Previous Year Questions - Electricity

Ans:
Class 10 Science Chapter 11 Previous Year Questions - Electricity
In series combination, the same current flows in all the resistances but the potential difference across each of the resistance is different.

According to Ohm’s law, we have

V1 = IR1, V2 = IR2, V3 = IR3

If the total potential difference between A and B is V, then

V = V1 + V2 + V3

= IR1 + IR2 + IR3

= I(R1 + R2 + R3)

Let the equivalent resistance be R, then

V = IR

and hence IR = I(R1 + R2 + R3)

⇒ R = R1 + R2 + R3.


Q11: (a) Write the relation between resistance and electrical resistivity of the material of a conductor in the shape of a cylinder of length 'l' and area of cross-section 'A' Hence derive the SI unit of electrical resistivity.
(b) Resistance of a metal wire of length 5 m is 100 Ω. If the area of cross-section of the wire is 3 x 10-7 m2, calculate the resistivity of the material.  (2019)

Class 10 Science Chapter 11 Previous Year Questions - ElectricityView Answer  Class 10 Science Chapter 11 Previous Year Questions - Electricity

Ans: (a) The resistance R of a conductor, the shape of a cylinder, of length l and area of cross-section A is given as:
Class 10 Science Chapter 11 Previous Year Questions - Electricity
where ρ is a constant, which is known as the electrical resistivity of the material of conductor.
Thus, resistivity ρ = RA/l
∴ SI unit of resistivity ρ shall be Class 10 Science Chapter 11 Previous Year Questions - Electricity = Ω-m
(b) Here l = 5 m, R = 100 Ω and A = 3 x 10-7 m2
∴ Resistivity of the material of wire ρ = RA/l = Class 10 Science Chapter 11 Previous Year Questions - Electricity


Q12: (a) With the help of a suitable circuit diagram prove that the reciprocal of the equivalent resistance of a group of resistors joined in parallel is equal to the sum of the reciprocals of the individual resistances.
(b) In an electric circuit two resistors of 12Ω each are joined in parallel to a 6 V battery. Find the current drawn from the battery.  (2019)

Class 10 Science Chapter 11 Previous Year Questions - ElectricityView Answer  Class 10 Science Chapter 11 Previous Year Questions - Electricity

Ans: (a)
Class 10 Science Chapter 11 Previous Year Questions - Electricity
In parallel combination of three resistances R1 R2 and R3, the current in each of the resistances is different. If I is the current drawn from the cell then it is divided into branches I1 Iand I3. Thus,
I = I1 + I2 + I3.
The potential difference across each of these resistances is the same.

Thus, from Ohm’s law

I1 = VR1, I2 = VR2, I3 = VR3

If R is the equivalent resistance then,

I = V/R

VR = VR1 + VR2 + VR3

and

1R = 1R1 + 1R2 + 1R3

(b) Here R1 = R2 = 12Ω and V = 6V

Net resistance R of the parallel grouping is:

1R = 1R1 + 1R2 = 112 + 112 = 16 ⇒ R = 6Ω

∴ Current drawn by the circuit from the battery I = VR = 6V = 1 A.


Q13: Study the circuit of Fig. and find out : (i) Current in 12 Ω, resistor (ii) difference in the readings of A1 and A2 if any.  (2019)
Class 10 Science Chapter 11 Previous Year Questions - Electricity

Class 10 Science Chapter 11 Previous Year Questions - ElectricityView Answer  Class 10 Science Chapter 11 Previous Year Questions - Electricity

Ans: (i) In the circuit resistor of R1 = 12 Ω is connected in series with parallel combination of two resistors R2 and R3 of 24 Ω each.
The effective resistance of parallel combination of R2 and R3 is given as :

1R23 = 1R2 + 1R3 = 124 + 124 = 112 ⇒ R23 = 12Ω

∴ Net resistance of the circuit R = R1 + R23 = 12 + 12 = 24Ω

∴ Current through 12Ω resistor = Circuit current I = VR = 6V24Ω = 0.25 A

(ii) Both ammeters A1 and A2 give the same reading of 0.25 A and there is no difference in their readings.


Q14: (i) Draw a schematic diagram of a circuit consisting of a battery of five 2 V cells, a 5 Ω resistor, a 10 Ω  resistor and a 15 Ω  resistor and a plug key all connected in series.
(ii) Calculate the electric current passing through the above circuit when the key is closed. (iii) Potential difference across 15 Ω  resistor.  (2019)

Class 10 Science Chapter 11 Previous Year Questions - ElectricityView Answer  Class 10 Science Chapter 11 Previous Year Questions - Electricity

Ans:
Class 10 Science Chapter 11 Previous Year Questions - Electricity
(i) The schematic diagram is given in Fig. 12.25.
(ii) Here total voltage V = 5 x 2 = 10 V
and total resistance R = R1 + R2 + R3
= 5 + 10 + 15 = 30 Ω
∴ Current passing through the circuit when the key is closed Class 10 Science Chapter 11 Previous Year Questions - Electricity
(iii) Potential difference across resistor R3 of 15 Ω
Class 10 Science Chapter 11 Previous Year Questions - Electricity


Q15: An electric lamp of resistance 20 Ω and a conductor of resistance 4 Ω are connected to a 6 V battery as shown in the circuit. Calculate
(а) the total resistance of the circuit,
(b) the current through the circuit,
(c) the potential difference across the (i) electric, lamp and (ii) conductor, and
(d) power of the lamp.  (2019)

Class 10 Science Chapter 11 Previous Year Questions - Electricity

Class 10 Science Chapter 11 Previous Year Questions - ElectricityView Answer  Class 10 Science Chapter 11 Previous Year Questions - Electricity

Ans: Here voltage of battery V = 6 V, resistance of electric lamp = R= 20 Ω  and resistance of conductor R2 = 4 Ω.
(a) Since R1 and R2 are connected in series, the total resistance of the circuit
R = R1 + R2 = 20 + 4 = 24 Ω
(b) The current through the circuit I = V/R = 6/24 = 0.25 A
(c) (i) Potential difference across the electric lamp V1 = IR= 0.25 x 20 = 5 V
(ii) Potential difference across the conductor V= IR= 0.25 x 4 = 1 V
(d) Power of the lamp P = I2R1 = (0.25) x 20 = 1.25 W


Q16: (a) Three resistors R1, R2 and R3 are connected in parallel and the combination is connected to a battery, ammeter, voltmeter and key. Draw suitable circuit diagram and obtain an expression for the equivalent resistance of the combination of the resistors.
(b) Calculate the equivalent resistance of the network shown in Fig.  (2019)

Class 10 Science Chapter 11 Previous Year Questions - Electricity

Class 10 Science Chapter 11 Previous Year Questions - ElectricityView Answer  Class 10 Science Chapter 11 Previous Year Questions - Electricity

Ans: 
Class 10 Science Chapter 11 Previous Year Questions - Electricity
(a) The arrangement is shown in circuit diagram of Fig.
In parallel combination of three resistances R1 R2 and R3, the current in each of the resistances is different. If I is the current drawn from the cell then it is divided into branches I1 Iand I3. Thus,
I = I1 + I2 + I3.
The potential difference across each of these resistances is the same.

Thus, from Ohm’s law

I1 = VR1, I2 = VR2, I3 = VR3

If R is the equivalent resistance then,

I = V/R

VR = VR1 + VR2 + VR3

and

1R = 1R1 + 1R2 + 1R3

(b) In the network, resistors of 20Ω and 20Ω are joined in parallel and make a resistance R1, where

1R1 = 120 + 120 = 110 or R1 = 10Ω.

This combined resistance R1 = 10Ω is joined in series with a given 10Ω resistance. Hence, the equivalent resistance of the network will be

R = 10 + 10 = 20Ω.


Q17: (a) Three resistors o f resistances R1, R2 and R3 are connected in (i) series, and (ii) parallel. Write expression for the equivalent resistance of the combination in each case.
(b) Two identical resistances of 12 Ω each are connected to a battery of 3 V.

Calculate the ratio of the power consumed by the resulting combinations with minimum resistance and maximum resistance.  (2019)

Class 10 Science Chapter 11 Previous Year Questions - ElectricityView Answer  Class 10 Science Chapter 11 Previous Year Questions - Electricity

Ans: (a) (i) In series arrangement, equivalent resistance Rs = R1 + R2 + R3
(ii) In parallel arrangement, equivalent resistance Rp is given as:

1Rp = 1R1 + 1R2 + 1R3

(b) Here R1 = R2 = 12Ω and V = 3V.

For minimum resistance, two resistors must be connected in parallel so that

1Rp = 1R1 + 1R2 = 112 + 112 = 16 ⇒ Rp = 6Ω

Hence power

Pp = Rp = (3)²6 = 1.5 W

For maximum resistance, two resistors must be connected in series so that

Rs = R1 + R2 = 12 + 12 = 24Ω

So, the power

Ps = Rs = (3)²24 = 0.375 W

PpPs = 1.50.375 = 41


Q18: Experimentally prove that in series combination of three resistances:
(а) current flowing through each resistance is same, and
(b) total potential difference is equal to the sum of potential differences across individual resistors.  (2019)

Class 10 Science Chapter 11 Previous Year Questions - ElectricityView Answer  Class 10 Science Chapter 11 Previous Year Questions - Electricity

Ans: Series combination o f resistors : We take three resistors R1 R2 and R3 and join them in series between the points X and Y in an electric circuit as shown in Fig. 12.42.
Class 10 Science Chapter 11 Previous Year Questions - Electricity
(a) Plug the key and note the ammeter reading.
Then change the position of ammeter to anywhere in between the resistors and again note the ammeter reading. We find that ammeter reading remains unchanged. It shows that in series arrangement same current flows through each resistor.
Class 10 Science Chapter 11 Previous Year Questions - Electricity
(b) 

  • Insert a voltmeter across the ends X and Y of the series combination of resistors. 
  • Plug the key so as to complete the circuit and note the voltmeter reading V across the series combination of resistors.
  • Take out plug from key K and disconnect the voltmeter. Now insert the voltmeter across the ends of first resistor R1 as shown in Fig. 12.43. 
  • Plug the key and note the voltmeter reading V1. Similarly, measure the potential difference across the other two resistors R2 and R3 separately. 
  • Let these potential differences be V2 and V3, respectively. Experimentally we find that
    V = V1 + V2  + V3
  • It shows that in series arrangement of resistors total potential difference is equal to the sum of potential differences across individual resistors.


Q19: Unit of electric power may also be expressed as: 
(a) volt-ampere 
(b) kilowatt-hour 
(c) watt-second 
(d) joule-second (CBSE 2019)

Class 10 Science Chapter 11 Previous Year Questions - ElectricityView Answer  Class 10 Science Chapter 11 Previous Year Questions - Electricity

Ans: (a)
The unit of electric power can be expressed in terms of volt-ampere (V·A), which represents the power calculated as the product of voltage (in volts) and current (in amperes). This is particularly common in electrical engineering, where 1 watt = 1 volt × 1 ampere.
Here's an explanation of the other options:
(b) kilowatt-hour: This is a unit of energy, not power. It represents the amount of energy used over time (1 kilowatt of power used for 1 hour).
(c) watt-second: This is also a unit of energy, as it represents the power used over a second (1 watt of power used for 1 second).
(d) joule-second: This is a unit related to angular momentum or action in physics, not specifically for electric power.
Therefore, the correct answer is (a) volt-ampere.


Q20: When a 4 V battery is connected across an unknown resistor there is a current of 100 mA in the circuit. The value of the resistance of the resistor is: 
(a) 4 Ω 
(b) 40 Ω 
(c) 400 Ω 
(d) 0.4 Ω
    (CBSE 2019)

Class 10 Science Chapter 11 Previous Year Questions - ElectricityView Answer  Class 10 Science Chapter 11 Previous Year Questions - Electricity

Ans: (b)
Using Ohm’s law:
V = I × R
where:
V = 4V (voltage),
I = 100mA = 0.1A (current).
We can rearrange the formula to solve for R
:

Class 10 Science Chapter 11 Previous Year Questions - Electricity

Therefore, the resistance of the resistor is 40 Ω.


Q21: (A) In a given ammeter, a student saw that needle indicates 12th division in ammeter while performing an experiment to verify Ohm’s law. If ammeter has 10 divisions between 0 to 0·5 A, then what is the ammeter reading corresponding to 12th division? 
(B) How do you connect an ammeter and a voltmeter in an electric circuit? (CBSE 2019)

Class 10 Science Chapter 11 Previous Year Questions - ElectricityView Answer  Class 10 Science Chapter 11 Previous Year Questions - Electricity

Ans: (A) Least count of ammeter = 0.5/10 = 0.05 A 
Thus, value corresponding to 12 divisions = 0.05 ×12 = 0.6 A 
(B) An ammeter is connected in series and a voltmeter is connected in parallel in an electric circuit.

Previous Year Questions 2018

Q1: Show how would you join three resistors, each of resistance 9 Ω so that the equivalent resistance of the combination is (i) 13.5 Ω, (ii) 6 Ω?   (2018)

Class 10 Science Chapter 11 Previous Year Questions - ElectricityView Answer  Class 10 Science Chapter 11 Previous Year Questions - Electricity

Ans: Here resistances R1 - R2 = R3 = 9Ω
(i) To obtain an equivalent resistance Req = 13.5Ω, we connect one resistor R1 in series to the parallel com bination o f R2 and R3 as shown in figure (i). Then
Class 10 Science Chapter 11 Previous Year Questions - Electricity
Class 10 Science Chapter 11 Previous Year Questions - Electricity
(ii) To obtain equivalent resistance Req = 6 Ω, we connect resistor Rin parallel to the series combination of R2 and R3 as shown in figure (ii). Then
Class 10 Science Chapter 11 Previous Year Questions - Electricity
Class 10 Science Chapter 11 Previous Year Questions - Electricity


Q2: State Joule’s law of heating.  (2018)

Class 10 Science Chapter 11 Previous Year Questions - ElectricityView Answer  Class 10 Science Chapter 11 Previous Year Questions - Electricity

Ans: As per Joule’s law the heat produced in a resistor is (i) directly proportional to square of current flowing through it, (ii) directly proportional to resistance, and (iii) directly proportional to time. Mathematically,
Heat H = I2Rt


Q3: Why are metals good conductors of electricity whereas glass is a bad conductor of electricity? Give reason.  (2018)

Class 10 Science Chapter 11 Previous Year Questions - ElectricityView Answer  Class 10 Science Chapter 11 Previous Year Questions - Electricity

Ans: 

  • The electrons in the metal are loosely bound while the electrons in the glass are tightly bound together. 
  • Glass has one of the lowest possible heat conduction a solid. A good electrical conductivity is the same as a small electrical resistance. 
  • Silver is the best conductor because its electrons are freer to move than those of the other elements.  
  • When electricity is applied to the metal, ions start to migrate from one end to the other end of the metal, but it is not possible for electrons to travel freely in glass in which electrons are tightly bound. 
  • Glass is a bad conductor of electricity as it has high resistivity and has no free electrons.

Previous Year Questions 2017

Q1: Nichrome is used to make the element of an electric heater. Why? (2017)

Class 10 Science Chapter 11 Previous Year Questions - ElectricityView Answer  Class 10 Science Chapter 11 Previous Year Questions - Electricity

Ans: Nichrome is an alloy of high resistivity and high melting point and does not oxidise easily.


Q2: Derive the relation Class 10 Science Chapter 11 Previous Year Questions - Electricity when resistors are joined in parallel. (2017)

Class 10 Science Chapter 11 Previous Year Questions - ElectricityView Answer  Class 10 Science Chapter 11 Previous Year Questions - Electricity

Ans:
Class 10 Science Chapter 11 Previous Year Questions - Electricity
In parallel combination of three resistances R1 R2 and R3, the current in each of the resistances is different. If I is the current drawn from the cell then it is divided into branches I1 Iand I3. Thus,
I = I1 + I2 + I3.
The potential difference across each of these resistances is the same.
Thus, from Ohm’s law Class 10 Science Chapter 11 Previous Year Questions - Electricity
If R is the equivalent resistance then,
I = V/R
Class 10 Science Chapter 11 Previous Year Questions - Electricity
and Class 10 Science Chapter 11 Previous Year Questions - Electricity

Previous Year Questions 2016

Q1: Why do electricians wear rubber hand gloves while working?  (2016)

Class 10 Science Chapter 11 Previous Year Questions - ElectricityView Answer  Class 10 Science Chapter 11 Previous Year Questions - Electricity

Ans: Rubber is an electrical insulator. Hence electrician can work safely while working on an electric circuit without a risk of getting any electric shock.


Q2: How are two resistors with resistances R1Ω and R2Ω are to be connected to a battery of emf 3 volts to obtain maximum current flowing through it?  (2016)

Class 10 Science Chapter 11 Previous Year Questions - ElectricityView Answer  Class 10 Science Chapter 11 Previous Year Questions - Electricity

Ans: For maximum current flow, the net resistance of circuit must be least possible. Hence resistors R1 and R2 should be connected in parallel.


Q3: What potential difference is needed to send a current of 5 A through the electrical appliance having a resistance of 18 Ω?  (2016)

Class 10 Science Chapter 11 Previous Year Questions - ElectricityView Answer  Class 10 Science Chapter 11 Previous Year Questions - Electricity

Ans: Potential difference V = R x I = 18 x 5 = 90 V.


Q4: Power of a lamp is 60 W. Find the energy in SI unit consumed by it in 1 s.   (2016)

Class 10 Science Chapter 11 Previous Year Questions - ElectricityView Answer  Class 10 Science Chapter 11 Previous Year Questions - Electricity

Ans: We know that the power can be stated as the amount of electric energy consumed per unit time.
Class 10 Science Chapter 11 Previous Year Questions - Electricity
On solving For Energy, we get
Energy, E = P/T
Here; P = 60W
t = 1s
E = 60W x 1sec
∴ E = 60J
Thus, the energy in joules is 60J.


Q5: (a) What do you mean by the resistance of a conductor? Define its unit.
(b) In an electric circuit with a resistance wire and a cell, the current flowing is I. What would happen to this current if the wire is replaced by another thicker wire of the same material and the same length? Give reason.   (2016)

Class 10 Science Chapter 11 Previous Year Questions - ElectricityView Answer  Class 10 Science Chapter 11 Previous Year Questions - Electricity

Ans: (a) The resistance of a conductor is a property of the conductor, which affects the flow of current through it on maintaining a potential difference across its ends.
Unit of resistance is ohm. Resistance of a conductor is said to be 1 ohm, if a potential difference of 1 V is to be applied across its ends for maintaining flow of 1 A current.
(b) If given resistance wire is replaced by another thicker wire o f same material and same length then cross-section area of wire is increased and consequently its resistance decreases Class 10 Science Chapter 11 Previous Year Questions - Electricity So the current flowing in the circuit increases.


Q6: (a) Why are electric bulbs filled with chemically inactive nitrogen or argon gas?
(b) The resistance of a wire of 0.01 cm radius is 10 Ω. If the resistivity of the material of the wire is 50 x 10-8 Ω-m, find the length of the wire.  (2016)

Class 10 Science Chapter 11 Previous Year Questions - ElectricityView Answer  Class 10 Science Chapter 11 Previous Year Questions - Electricity

Ans: (a) Electric bulbs are generally filled with some inert gas like nitrogen or argon. This enables to prolong the life of the filament of electric bulb.
(b) Here radius of wire r = 0.01 cm = 0.01 x 10-2 m, resistance R = 10 Ω and resistivity p = 50 x 10-8 Ω-m.

As R = ρLA = ρLπr², hence length L = Rπr²ρ

⇒ L = 10 × 22 × (0.01 × 10⁻²)²7 × 50 × 10⁻⁸ = 2235 m = 0.629 m or 62.9 cm


Q7: (a) Define electric power. Express it in terms of V, I and R where V stands for potential difference, R for resistance and I for current.
(b) V -I graphs for two wires A and B are shown in the Fig. 12.34. Both of them are connected in series to a battery. Which of the two will produce more heat per unit time? Give justification for your answer.  (2016)
Class 10 Science Chapter 11 Previous Year Questions - Electricity

Class 10 Science Chapter 11 Previous Year Questions - ElectricityView Answer  Class 10 Science Chapter 11 Previous Year Questions - Electricity

Ans: (a) Electric power is defined as the rate of supplying electrical energy for maintaining current flow through a circuit.
Electric power P = VI = I2R = V2/R.
(b) We know that slope of V-I graph for a given wire gives its resistance and in given figure slope of graph is more for wire A. It means that RA > RB.
In series arrangement same current I flows through both the resistance.
As heat produced per unit time is given by I2R, hence it is obvious that more heat will be produced per unit time in wire A.


Q8: (a) Establish a relationship to determine the equivalent resistance IS of a combination of three resistors having resistances R1, R2 and R3 connected in parallel.
(b) Three resistors are connected in an electrical circuit as shown. Calculate the resistance between A and B.  (2016)Class 10 Science Chapter 11 Previous Year Questions - Electricity

Class 10 Science Chapter 11 Previous Year Questions - ElectricityView Answer  Class 10 Science Chapter 11 Previous Year Questions - Electricity

Ans: 
(a) The arrangement is shown in circuit diagram of Fig. 12.39.
In parallel combination of three resistances R1 R2 and R3, the current in each of the resistances is different. If I is the current drawn from the cell then it is divided into branches I1 Iand I3. Thus,
I = I1 + I2 + I3.
The potential difference across each of these resistances is the same.

Thus, from Ohm’s law

I1 = VR1, I2 = VR2, I3 = VR3

If R is the equivalent resistance then,

I = V/R

VR = VR1 + VR2 + VR3

and

1R = 1R1 + 1R2 + 1R3

(b) Here series combination of R1 and R2 is joined to R3 in parallel arrangement. Hence the net resistance R between points A and B is given as

1R = 1R1 + R2 + 1R3 = 14 + 4 + 18 = 18 + 18 = 14

⇒ r = 4Ω


Q9: (a) Establish a relationship to determine the equivalent resistance R of a combination of three resistors having resistances R1, R2 and R3 connected in series.
(b) Calculate the equivalent resistance R of a combination of three resistors of 2 Ω, 3 Ω and 6 Ω joined in parallel.  (2016)

Class 10 Science Chapter 11 Previous Year Questions - ElectricityView Answer  Class 10 Science Chapter 11 Previous Year Questions - Electricity

Ans: (a)
Class 10 Science Chapter 11 Previous Year Questions - Electricity

  • In series combination, the same current flows in all the resistances but the potential difference across each of the resistance is different.

  • According to Ohm’s law, we have
  • V1 = IR1, V2 = IR2, V3 = IR3

    • If the total potential difference between A and B is V, then
  • V = V1 + V2 + V3

    = IR1 + IR2 + IR3

    = I(R1 + R2 + R3)

    • Let the equivalent resistance be R, then
  • V = IR

    and hence IR = I(R1 + R2 + R3)

    ⇒ R = R1 + R2 + R3.

    (b) Here R1 = 2Ω, R2 = 3Ω, and R3 = 6Ω

    The equivalent resistance R for the parallel combination of resistors will be

    1R = 1R1 + 1R2 + 1R3

    = 12 + 13 + 16 = 11 ⇒ R = 1Ω

Previous Year Questions 2015

Q1: Identify the following symbols of commonly used components in a circuit diagram:   (2015)
Class 10 Science Chapter 11 Previous Year Questions - Electricity

Class 10 Science Chapter 11 Previous Year Questions - ElectricityView Answer  Class 10 Science Chapter 11 Previous Year Questions - Electricity

Ans: (a) A rheostat, (b) A closed plug key.


Q2: Define electric current.   (2015)

Class 10 Science Chapter 11 Previous Year Questions - ElectricityView Answer  Class 10 Science Chapter 11 Previous Year Questions - Electricity

Ans: Time rate of flow of charge through any cross-section of a conductor is called electric current.


Q3: State the SI unit of electric current and define it.   (2015)

Class 10 Science Chapter 11 Previous Year Questions - ElectricityView Answer  Class 10 Science Chapter 11 Previous Year Questions - Electricity

Ans: An ampere (A), which is defined as the rate of flow of 1 coulomb of charge per second.


Q4: In an electric circuit, state the relationship between the direction of conventional current and the direction of flow of electrons.   (2015)

Class 10 Science Chapter 11 Previous Year Questions - ElectricityView Answer  Class 10 Science Chapter 11 Previous Year Questions - Electricity

Ans: 

Key Points:

  • Conventional current: The flow of positive charge from the positive terminal to the negative terminal.
  • Electron flow: The movement of negatively charged electrons from the negative terminal to the positive terminal (opposite to conventional current).

Thus, the direction of conventional current is opposite to the direction of the flow of electrons.

In summary:

  • The conventional current flows from positive to negative (from high potential to low potential).
  • The flow of electrons occurs from negative to positive (from low potential to high potential).


Q5: What is meant by the statement "potential difference between points A and B in an electric field is 1 volt”?   (2015)

Class 10 Science Chapter 11 Previous Year Questions - ElectricityView Answer  Class 10 Science Chapter 11 Previous Year Questions - Electricity

Ans: Amount of work done to bring 1 C charge from point B to point A in the electric field is 1 joule.


Q6: Define kW h.   (2015)

Class 10 Science Chapter 11 Previous Year Questions - ElectricityView Answer  Class 10 Science Chapter 11 Previous Year Questions - Electricity

Ans: A kilowatt hour (kW h) is the commercial unit of electrical energy. It is the energy consumed when 1 kW (1000 W) power is used for 1 hour.


Q7: How many joules are equals to 1 kW h?   (2015)

Class 10 Science Chapter 11 Previous Year Questions - ElectricityView Answer  Class 10 Science Chapter 11 Previous Year Questions - Electricity

Ans: 3.6 x 106 J = 1 kW h.
1 kWh = 1000 × joule/sec × 60 × 60 sec
⇒ 1 kWh = 1000 × 60 × 60 joule/sec × sec
⇒ 1 kWh = 1000 × 60 × 60 joule
⇒ 1 kWh = 36, 00, 000 joule


Q8: Define an electric circuit. Draw a labelled, schematic diagram of an electric circuit comprising of a cell, a resistor, an ammeter, a voltmeter and a closed switch. Distinguish between an open and a closed circuit.   (2015)

Class 10 Science Chapter 11 Previous Year Questions - ElectricityView Answer  Class 10 Science Chapter 11 Previous Year Questions - Electricity

Ans: 

  • A continuous and closed path of an electric current is called an electric circuit.
  • A labelled, schematic diagram of an electric circuit showing a cell E, a resistor R, an ammeter A, a voltmeter V and a closed switch S is shown here.
  • An electric circuit is said to be an open circuit when the switch is in ‘off’ mode (or key is unplugged) and no current flows in the circuit.
  • The circuit is said to be a closed circuit when the switch is in 'on' mode (or key is plugged) and a current flows in the circuit.
    Class 10 Science Chapter 11 Previous Year Questions - Electricity


Q9: (a) n electrons, each carrying a charge -e, are flowing across a unit cross section of a metallic wire in unit time from east to west. Write an expression for electric current and also give its direction of flow. Give reason for your answer.
(b) The charge possessed by an electron is 1.6 x 10-19 coulomb. Find the number of electrons that will flow per second to constitute a current of 1 ampere.   (2015)

Class 10 Science Chapter 11 Previous Year Questions - ElectricityView Answer  Class 10 Science Chapter 11 Previous Year Questions - Electricity

Ans: (a) Electric current in a circuit is defined as the time rate of flow of electric charge through any cross-section and its direction is opposite to that of flow of electrons. Hence in present case
electric current I = Class 10 Science Chapter 11 Previous Year Questions - Electricity
As electrons are flowing from east to west, the direction of electric current is from west to east.
(b) Here current I = 1 A, time t = 1 s and charge on each electron e = 1.6 x 10-19 C.
Hence, number of electrons flowing n = Class 10 Science Chapter 11 Previous Year Questions - Electricity


Q10: (a) List the factors on which the resistance of a cylindrical conductor depends and hence write an expression for its resistance.
(b) How will the resistivity of a conductor change when its length is tripled by stretching it?   (2015)

Class 10 Science Chapter 11 Previous Year Questions - ElectricityView Answer  Class 10 Science Chapter 11 Previous Year Questions - Electricity

Ans: (a) The resistance of a cylindrical conductor i.e., a wire (R) is (i) directly proportional to its length L, (ii) inversely proportional to its cross-section area A and (iii) depends on the nature of material of wire. Mathematically,
Class 10 Science Chapter 11 Previous Year Questions - Electricity
Here, ρ is known as the resistivity of given material. It is defined as the resistance offered by a unit cube of given material when current flows perpendicular to the opposite faces.
(b) The resistivity of the conductor remains unchanged.


Q11: (a) V-I graphs for two wires A and B are shown in the Fig. If both the wires are made of same material and are of same length, which of the two is thicker? Give justification for your answer.
(b) A wire of length L and resistance R is stretched so that the length is doubled and area of cross-section halved.

How will (i) resistance change, and (ii) resistivity change?   (2015)
Class 10 Science Chapter 11 Previous Year Questions - Electricity

Class 10 Science Chapter 11 Previous Year Questions - ElectricityView Answer  Class 10 Science Chapter 11 Previous Year Questions - Electricity

Ans: (a) Resistance R of wire A is more than that of B (RA > RB) because slope of V-I graph for A is more.
The resistance of a wire is inversely proportional to its cross-section area.
Hence area of cross-section of wire B, of smaller resistance, must be more. Thus, wire B is thicker.
(b) (i) The new resistance of wire Class 10 Science Chapter 11 Previous Year Questions - Electricity
Thus, resistance increases to four times its original value.
(ii) The resistivity remains unchanged because it does not depend on the dimensions of a conductor of given material.


Q12: Study the electric circuit of Fig. and find (i) the current flowing in the circuit, and (ii) the potential difference across 10 Ω resistor.   (2015)
Class 10 Science Chapter 11 Previous Year Questions - Electricity

Class 10 Science Chapter 11 Previous Year Questions - ElectricityView Answer  Class 10 Science Chapter 11 Previous Year Questions - Electricity

Ans: (i) Here V = 3 V, R1 = 10 Ω and R 2 = 20 Ω. Since R1 and R2 are connected in series, the effective resistance of the circuit
R = R1 + R2 = 10 + 20 - 30 Ω
∴ Current flowing in the circuit Class 10 Science Chapter 11 Previous Year Questions - Electricity
(ii) The potential difference across R 1 = 10 Ω resistor is V1 = IR1 = 0.1 x 10 = 1.0 V.


Q13: Three resistors of 3 Ω each are connected to a battery of 3 V as shown in Fig Calculate the current drawn from the battery.   (2015)
Class 10 Science Chapter 11 Previous Year Questions - Electricity

Class 10 Science Chapter 11 Previous Year Questions - ElectricityView Answer  Class 10 Science Chapter 11 Previous Year Questions - Electricity

Ans: In the electric circuit shown the series combination of R1 and R2 is joined in parallel to the resistance R3. Hence equivalent resistance R of the circuit is

1R = 1R1 + R2 + 1R3 = 13 + 3 + 16 + 13 = 12

⇒ R = 2Ω

∴ Current drawn from the battery I = VR = 32 = 1.5 A


Q14: A 5 Ω resistor is connected across a battery of 6 volts. Calculate:
(i) the current flowing through the resistor.
(ii) the energy that dissipates as heat in 10 s.   (2015)

Class 10 Science Chapter 11 Previous Year Questions - ElectricityView Answer  Class 10 Science Chapter 11 Previous Year Questions - Electricity

Ans: Here V = 6 V and R = 5 Ω
(i) The current flowing through the resistor I = Class 10 Science Chapter 11 Previous Year Questions - Electricity
(ii) Energy dissipated as heat in time t = 10 s is
∴ H = I2Rt = (1.2)2 x 5 x 10 = 72 J


Q15: Calculate the amount of heat generated while transferring 90000 coulombs of charge between the two terminals of a battery of 40 V in one hour. Also determine the power expended in the process.   (2015)

Class 10 Science Chapter 11 Previous Year Questions - ElectricityView Answer  Class 10 Science Chapter 11 Previous Year Questions - Electricity

Ans: Here charge transferred Q = 90000 C, potential difference b etw een the terminals o f battery V = 40 V and time t = 1 h = 3600 s.
Current = Class 10 Science Chapter 11 Previous Year Questions - Electricity
Amount of heat generated H = Vlt = 40 x 25 x 3600 = 3600000 J = 3.6 x 106 J
and power expended Class 10 Science Chapter 11 Previous Year Questions - Electricity


Q16: How many 40 W; 220 V lamps can be safely connected to a 220 V, 5 A line?
Justify your answer.   (2015)

Class 10 Science Chapter 11 Previous Year Questions - ElectricityView Answer  Class 10 Science Chapter 11 Previous Year Questions - Electricity

Ans: The current drawn by a 40 W, 220 V electric lamp Class 10 Science Chapter 11 Previous Year Questions - Electricity
As the electric line is o f rating 220 V, 5 A, hence we can connect n lamps in parallel where
Class 10 Science Chapter 11 Previous Year Questions - Electricity
Thus, we can safely connect 27 lamps of 40 W, 220 V rating to a 220 V, 5 A line.


Q17: What is meant by electric current ? Name and define its SI unit. In a conductor electrons are flowing from B to A. What is the direction of conventional current ? Give justification for your answer.
A steady current of 1 ampere flows through a conductor. Calculate the number of electrons that flow through any section of the conductor in 1 second.
(Charge on electron — 1.6 x 10-19 coulomb)   (2015)

Class 10 Science Chapter 11 Previous Year Questions - ElectricityView Answer  Class 10 Science Chapter 11 Previous Year Questions - Electricity

Ans: 

  • Electric current is defined as the rate of flow of electric charge through a cross- section of a conductor. 
  • If Q charge passes through a section of a conductor in time t, then-current I = Q/t.
  • SI unit of electric current is an ampere (A). Current is said to be one ampere, if rate of flow of charge through a cross-section of conductor be 1 coulomb per second.
  • Direction of conventional current is taken as the direction of flow of positive charge or opposite to the direction of flow of negative charge. If negatively charged in a conductor flow from B to A then the direction of conventional current will be from A to B.
  • Here current I = 1 A, time t = 1 s and charge on electron e = 1.6 x 10-19 C
  • Let n electrons flow through a section of conductor so that charge passing through the section is Q= ne.
    Class 10 Science Chapter 11 Previous Year Questions - Electricity


Q18: What is heating effect of electric current ? Find an expression for amount of heat produced. Name some appliances based on heating effect of current.   (2015)

Class 10 Science Chapter 11 Previous Year Questions - ElectricityView Answer  Class 10 Science Chapter 11 Previous Year Questions - Electricity

Ans: When a current flows through a conducting wire (resistance wire), heat is developed, and the temperature of the wire rises. It is known as the heating effect of electric current.
If V is the potential difference maintained across the ends of a wire then, by definition, the amount of work done for flow of 1 C charge through the wire is V.
∴ Work done for flow of Q charge
W = VQ = VIt  [∵ Q = It]
where I is the current flowing in time t.
As V = IR, hence
W= VIt = (IR)It = I2Rt
This work done (i.e., electrical energy dissipated) is converted into heat. Hence, the amount of heat produced, Q = I2Rt J
This is known as Joule’s law of heating.
Incandescent lamps, electric irons, electric stoves, toasters, geysers, electric room heaters, etc., are appliances based on the heating effect of electric current.


Q19:  What is the minimum resistance which can be made using five resistors, each of 1 / 5Ω?
(a) 1 / 5Ω
(b) 1 / 25Ω
(c) 1 / 10Ω
(d) 25Ω (CBSE 2015, 13, 12)

Class 10 Science Chapter 11 Previous Year Questions - ElectricityView Answer  Class 10 Science Chapter 11 Previous Year Questions - Electricity

Ans: (b)
To achieve the minimum resistance, all resistors should be connected in parallel because the equivalent resistance of resistors in parallel is always less than any individual resistor.
Given:
Each resistor has a resistance of 1/5Ω.
There are five resistors.
When resistors are connected in parallel, the equivalent resistance Req is given by:

1Req = 1R1 + 1R2 + 1R3 + 1R4 + 1R5

Since each resistor has the same resistance R = 15 Ω:

1Req = 15 + 15 + 15 + 15 + 15

1Req = 5 + 5 + 5 + 5 + 5 = 25

Thus:

R_{\text{eq}} = \frac{1}{25} \, \OmegaReq = 1 / 25 Ω
Therefore, the minimum resistance that can be made using five resistors, each of 1/5Ω, is 1/25Ω.

Previous Year Questions 2014

Q1: Should the resistance of an ammeter be low or high? Give reason. (CBSE 2014)

Class 10 Science Chapter 11 Previous Year Questions - ElectricityView Answer  Class 10 Science Chapter 11 Previous Year Questions - Electricity

Ans: 

The resistance of an ammeter should be low.

Reason:

An ammeter is used to measure the current flowing through a circuit. To ensure accurate measurement of current, the ammeter should have very low resistance. This is because if the ammeter had high resistance, it would impede the flow of current, and as a result, the current in the circuit would decrease, leading to an incorrect reading.

By having low resistance, the ammeter minimizes the potential drop across it, ensuring that it does not alter the current in the circuit significantly and provides an accurate measurement.

In summary, low resistance in an ammeter ensures that it doesn't affect the current flow in the circuit, allowing for precise measurement.

The document Class 10 Science Chapter 11 Previous Year Questions - Electricity is a part of the Class 10 Course Science Class 10.
All you need of Class 10 at this link: Class 10
80 videos|569 docs|80 tests

FAQs on Class 10 Science Chapter 11 Previous Year Questions - Electricity

1. What are the key topics covered in the Class 10 Electricity chapter?
Ans.The Class 10 Electricity chapter typically covers topics such as electric current, voltage, resistance, Ohm's law, circuit diagrams, series and parallel circuits, and the applications of electricity in daily life.
2. How can I solve numerical problems related to electricity in Class 10?
Ans.To solve numerical problems in electricity, you should first identify the known and unknown variables. Apply Ohm's law (V = I × R) and the formulas for series and parallel circuits to find the required values. Practice various problems to enhance your understanding and speed.
3. What is Ohm's law, and why is it important in the study of electricity?
Ans.Ohm's law states that the current flowing through a conductor between two points is directly proportional to the voltage across the two points, provided the temperature remains constant. It is important because it forms the foundation for understanding how electrical circuits operate.
4. What are series and parallel circuits, and how do they differ?
Ans.Series circuits are those in which components are connected end-to-end, so the same current flows through all components. In contrast, parallel circuits have components connected across the same voltage source, allowing multiple paths for current. This affects how voltage and current are distributed in the circuit.
5. How can I prepare effectively for the Class 10 Electricity examination?
Ans.To prepare effectively, review your textbook and class notes, practice previous year questions, solve sample papers, and understand the concepts thoroughly. Group study can also help clarify doubts and reinforce learning. Additionally, focus on time management during practice to improve exam performance.
Related Searches

Extra Questions

,

Previous Year Questions with Solutions

,

video lectures

,

pdf

,

Objective type Questions

,

Important questions

,

Exam

,

practice quizzes

,

Semester Notes

,

Summary

,

Class 10 Science Chapter 11 Previous Year Questions - Electricity

,

Class 10 Science Chapter 11 Previous Year Questions - Electricity

,

past year papers

,

mock tests for examination

,

Class 10 Science Chapter 11 Previous Year Questions - Electricity

,

Sample Paper

,

ppt

,

Free

,

MCQs

,

study material

,

shortcuts and tricks

,

Viva Questions

;