UPSC Exam  >  UPSC Notes  >  Mental Ability, Analytical & Logical Reasoning- Solved Questions(1995-2020)- 8

Mental Ability, Analytical & Logical Reasoning- Solved Questions(1995-2020)- 8 - UPSC PDF Download

Question 1: DIRECTIONS: The details given below relate to the FOUR items that follow:
Amit wishes to buy a magazine, four magazines one each on politics, sports, science and films are available to choose from. They are edited by Feroz, Gurbaksh, Swami and Ila (not necessarily in that order) and published by Aryan, Bharat, Charan and Dev Publishers (not necessarily in that order) Further, it is given that
(i) Dev publishers have published the magazine edited by Feroz.
(ii) The magazine on politics is published by Aryan Publishers
(iii) The magazine, on films is edited by Swami and is not published by Charan Publishers
(iv) The magazine on science is edited by Ila.
For the following four items, select the correct answer.

The magazine on film is      [2004]
(a) published by Dev Publishers 

(b) published by Bharat Publishers 
(c) edited by Gurbaksh 
(d) published by Charan Publishers

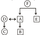
Correct Answer is Option (b).
Mental Ability, Analytical & Logical Reasoning- Solved Questions(1995-2020)- 8 - UPSC
Since, magazines on films is not published by Charan publishers, so it must be published by the remaining publisher, i.e., Bharat publisher. Hence, Charan publisher is left with only one option, i.e. magazine on Science. Only editor left out is Gurubaksh, so it must be placed for the politics’s magazine. Also, only magazine left out is Sports. So it should be put for Dev publisher.
Final arrangement :
Mental Ability, Analytical & Logical Reasoning- Solved Questions(1995-2020)- 8 - UPSC 


Question 2: DIRECTIONS: The details given below relate to the FOUR items that follow:
Amit wishes to buy a magazine, four magazines one each on politics, sports, science and films are available to choose from. They are edited by Feroz, Gurbaksh, Swami and Ila (not necessarily in that order) and published by Aryan, Bharat, Charan and Dev Publishers (not necessarily in that order) Further, it is given that
(i) Dev publishers have published the magazine edited by Feroz.
(ii) The magazine on politics is published by Aryan Publishers
(iii) The magazine, on films is edited by Swami and is not published by Charan Publishers
(iv) The magazine on science is edited by Ila.
For the following four items, select the correct answer.

The magazine on politics is      [2004]
(a) edited by Ila 

(b) edited by Gurbaksh 
(c) published by Dev Publishers 
(d) published by Charan Publishers

Correct Answer is Option (b).
Mental Ability, Analytical & Logical Reasoning- Solved Questions(1995-2020)- 8 - UPSC
Since, magazines on films is not published by Charan publishers, so it must be published by the remaining publisher, i.e., Bharat publisher. Hence, Charan publisher is left with only one option, i.e. magazine on Science. Only editor left out is Gurubaksh, so it must be placed for the politics’s magazine. Also, only magazine left out is Sports. So it should be put for Dev publisher.
Final arrangement :
Mental Ability, Analytical & Logical Reasoning- Solved Questions(1995-2020)- 8 - UPSC


Question 3: Most guitarists are beared males. If A represents all males, B represents beared males and C represents all male guitarists, then the correct diagram for their relations (shaded portion) is    [2001]
(a) Mental Ability, Analytical & Logical Reasoning- Solved Questions(1995-2020)- 8 - UPSC
(b) Mental Ability, Analytical & Logical Reasoning- Solved Questions(1995-2020)- 8 - UPSC
(c) Mental Ability, Analytical & Logical Reasoning- Solved Questions(1995-2020)- 8 - UPSC
(d) Mental Ability, Analytical & Logical Reasoning- Solved Questions(1995-2020)- 8 - UPSC

Correct Answer is Option (a).
As all species comes under the male category, so B and C comes under A. Some guitarists are beared, so B and C have some common elements between them.


Question 4: Consider the following pictures of dice :   
Mental Ability, Analytical & Logical Reasoning- Solved Questions(1995-2020)- 8 - UPSC
What is the number opposite to 3 ?    [2000]
(a)1 
(b) 4 
(c) 5 
(d) Data insufficient

Correct Answer is Option (b).
From figure (i) & (ii). It is clear that 2 is adjacent to 3 and 4 is adjacent to 2, hence 4 must be opposite to 3.


Question 5: A, B, C, D, E and F not necessarily in that order are sitting in six chairs regularly placed around a round table. It is observed that.
A is between D and F 
C is opposite to D 
D and E are not on neighbouring chairs 
Which one of the following must be true     [2000]
(a) A is opposite B 
(b) D is opposite E 
(c) C and B are neighbours 
(d) B and E are neighbours

Correct Answer is Option (d).
Mental Ability, Analytical & Logical Reasoning- Solved Questions(1995-2020)- 8 - UPSC
Fix the position of  A and proceed according to the given conditions. There can be two cases as above in the figure. In both B and E are neighbours.


Question 6: In a certain code, MARCH is written as OCTEJ, how is RETURN written in that code?    [2000]
(a) TFUVSM 
(b) QGSTQM 
(c) TGVWTP 
(d) TGRVSO

Correct Answer is Option (c).
Position of each letter of the 1st word has been incremented by two alphabets in the 2nd word.
Mental Ability, Analytical & Logical Reasoning- Solved Questions(1995-2020)- 8 - UPSC


Question 7: Examine the following relationships among members of  a family of six persons A, B, C, D, E and F. 

  1. The number of males equals that of females
  2. A and E are sons of F. 
  3. D is the mother of two, one boy and one girl 
  4. B is the son of A 
  5. There is only one married couple in the family at present

Which one of the following inferences can be drawn from the above?    [2000]
(a) A, B and C are all females 
(b) A is the husband of D 
(c) E and F are children of D 
(d) D is the grand daughter of F

Correct Answer is Option (b).
‘O’ → Female, Mental Ability, Analytical & Logical Reasoning- Solved Questions(1995-2020)- 8 - UPSC →Male, ‘↔’ → Couple, ‘↓’ → Offspring
Mental Ability, Analytical & Logical Reasoning- Solved Questions(1995-2020)- 8 - UPSC
Since, there is only 1 married couple, so D must be married to A, as D is the mother of two and B is the son of A. Also, as number of males and females are equal, so F must be a female.


Question 8: In a code language, 'SOLID' is ,written as 'WPSLPIMFHA', What does the code' ATEXXQIBVO' refer to?    [1999]
(a) EAGER 
(b) WAFER 
(c) WAGER
(d) WATER

Correct Answer is Option (d).
Mental Ability, Analytical & Logical Reasoning- Solved Questions(1995-2020)- 8 - UPSC
Mental Ability, Analytical & Logical Reasoning- Solved Questions(1995-2020)- 8 - UPSC
If same is applied with  ATEXXQIBVO
Mental Ability, Analytical & Logical Reasoning- Solved Questions(1995-2020)- 8 - UPSC
So code ‘ATEXXQIBVO’ refers to ‘WATER’.


Question 9: On another planet, the local terminology for earth, water, light, air and sky are 'sky', 'light', 'air', 'water' and 'earth' respectively. If someone is thirsty there, what would he drink?    [1999]
(a) Sky 
(b) Water 
(c) Air 
(d) Light

Correct Answer is Option (d).
Mental Ability, Analytical & Logical Reasoning- Solved Questions(1995-2020)- 8 - UPSC
If someone is thirsty, then he would drink water. Now, water on that planet means light, so he would drink light.


Question 10: In a group of five people, K, L and M are ambitious, M, N, and R are honest, L, M and N are intelligent and K, N and R are industrious. Among these neither industrious nor ambitious person(s) would include    [1999]
(a) K alone 
(b) L and R 
(c) M and N 
(d) none of the group

Correct Answer is Option (d).
K – A/ID N – H/I/ID
L – A/I R – ID/H
M – A/H/I
Where,
A – Ambitious
H – Honest
I – Intelligent
ID – Industrious
Here, clearly everyone is either industrious or ambitious.


Question 11: If in a certain code SAND is VDQG and BIRD is ELUG, then what is the code for LOVE?    [1998]
(a) PRYG 
(b) ORTG 
(c) NPUH 
(d) ORYH

Correct Answer is Option (d).
Mental Ability, Analytical & Logical Reasoning- Solved Questions(1995-2020)- 8 - UPSC
Similarly,
Mental Ability, Analytical & Logical Reasoning- Solved Questions(1995-2020)- 8 - UPSC


Question 12: A, B, C, D, E and F, not necessarily in that order, are sitting on six chairs regularly placed around a round table. It is observed that A is between D and F, C is opposite to D and D and E are not on neighbouring chairs. 
Which one of the following pairs must be sitting on neighbouring chairs?    [1998]
(a) A and B 
(b) C and E 
(c) B and F 
(d) A and C

Correct Answer is Option (b).
Mental Ability, Analytical & Logical Reasoning- Solved Questions(1995-2020)- 8 - UPSC
As it can be seen from the figure, C and E are sitting on the neighbouring chairs.


Question 13: Which one of the following satisfies relationship    [1998]
Dda: aDD : : Rrb : ?  
(a) DDA 
(b) RRR 
(c) bRR 
(d) BBr

Correct Answer is Option (c).
First and third letters have been interchanged. Middle letter becomes capital.


Question 14: A, B, C, D, E, F and G are members of a family consisting of 4 adults and 3 children, two of whom, F and G are girls. A and D are brothers and A is a doctor. E is an engineer married to one of the brothers and has two children. B is married to D and G is their child. Who is C ?    [1998]
(a) G's brother 
(b) F's father 
(c) E's father 
(d) A's son

Correct Answer is Option (d).
‘ ↔ ’ → brothers, ‘=’ → couple, ‘↓’ →offspring, Mental Ability, Analytical & Logical Reasoning- Solved Questions(1995-2020)- 8 - UPSC → male, ‘O’ → female, ‘X’ → unknown
Mental Ability, Analytical & Logical Reasoning- Solved Questions(1995-2020)- 8 - UPSC
Clearly, C and F are the remaining members to be adjusted in place of two x. since, there are 3 children out of which two are girls, i.e. G and F, so clearly the third children C is a boy. So C is the son of E and A.


Question 15: In a dinner party both fish and meat were served. Some took only fish and some only meat. There were some vegetarians who did not accept either. The rest accepted both fish and meat
Which one of the following logic diagrams correctly reflects the above situation?       [1998]
(a) Mental Ability, Analytical & Logical Reasoning- Solved Questions(1995-2020)- 8 - UPSC
(b) Mental Ability, Analytical & Logical Reasoning- Solved Questions(1995-2020)- 8 - UPSC
(c) Mental Ability, Analytical & Logical Reasoning- Solved Questions(1995-2020)- 8 - UPSC
(d) Mental Ability, Analytical & Logical Reasoning- Solved Questions(1995-2020)- 8 - UPSC

Correct Answer is Option (a).
The given relation can be shown below :
Mental Ability, Analytical & Logical Reasoning- Solved Questions(1995-2020)- 8 - UPSC


Question 16: Examine the following statements: 

  1. All members of Mohan's family are honest 
  2. Some members of Mohan's family are not employed 
  3. Some employed persons are not honest 
  4. Some honest persons are not employed

Which one of the following inferences can be drawn from the above statements?    [1998]
(a) All members of Mohan's family are employed 
(b) The employed members of Mohan's family are honest 
(c) The honest members of Mohan's family are not employed 
(d) The employed member of Mohan's family are not honest

Correct Answer is Option (b).
F — Mohan’s family members
E — Employed members
H — Honest members
Mental Ability, Analytical & Logical Reasoning- Solved Questions(1995-2020)- 8 - UPSC
Here, shaded area denotes the employed members of Mohan's family members, who are honest.


Question 17: 
Mental Ability, Analytical & Logical Reasoning- Solved Questions(1995-2020)- 8 - UPSC
In the above set of figures (I) to (IV), some parts are shown to change their position in a regular direction. Following the same sequence, which one of the following will appear at the fifth stage?     [1998]
(a) Mental Ability, Analytical & Logical Reasoning- Solved Questions(1995-2020)- 8 - UPSC
(b) Mental Ability, Analytical & Logical Reasoning- Solved Questions(1995-2020)- 8 - UPSC
(c) Mental Ability, Analytical & Logical Reasoning- Solved Questions(1995-2020)- 8 - UPSC
(d) Mental Ability, Analytical & Logical Reasoning- Solved Questions(1995-2020)- 8 - UPSC

Correct Answer is Option (c).
In each alternative figure, one extra side of square extended in anticlockwise direction comes out and in remaining figure, one inside circle comes out.


Question 18: Consider the figures given below:
Mental Ability, Analytical & Logical Reasoning- Solved Questions(1995-2020)- 8 - UPSC
In the given sequence of figures, the figure that would logically appear at 5 is    [1997]
(a) Mental Ability, Analytical & Logical Reasoning- Solved Questions(1995-2020)- 8 - UPSC
(b) Mental Ability, Analytical & Logical Reasoning- Solved Questions(1995-2020)- 8 - UPSC
(c) Mental Ability, Analytical & Logical Reasoning- Solved Questions(1995-2020)- 8 - UPSC
(d) Mental Ability, Analytical & Logical Reasoning- Solved Questions(1995-2020)- 8 - UPSC

Correct Answer is Option (a).
Dark small circles shifts in anticlockwise direction by two triangles.


Question 19: Examine the following statements regarding a set of balls

  1. All balls are black 
  2. All balls are white 
  3. Only some balls are black 
  4. No balls are black

Assuming that the balls can only be black or white, which two of the statements given above can both be true, but cannot both be false? Choose the correct answer from the codes given below:     [1997]
(a) 1 and 4 
(b) 1 and 3 
(c) 2 and 3 
(d) 2 and 4

Correct Answer is Option (a).
According to the given statements, only statement 1 and 4 can both be true because there may be a situation, when all the balls are black (1) or it may be, no balls are black (4). Thus both can be true but both of them can not be false.


Question 20: In the series POQ, SRT, VUW, _________, the blank space refers to     [1997]
(a) XYZ 
(b) XZY 
(c) YXZ 
(d) YZY

Correct Answer is Option (c).
In each group of letters, first letter in the alphabetical order is shifted to its middle position, then next letter to its left and final letter to the extreme right.
As, 1 2 3 similarly, 1 2 3
Mental Ability, Analytical & Logical Reasoning- Solved Questions(1995-2020)- 8 - UPSC


Question 21: Two important characteristics of a hypothesis are that it should be testable and that it should be stated in a manner that it can be refuted. Which one of the following hypothesis fulfills these characteristics?    [ 1996]
(a) Intelligent persons have good memory 
(b) Some birds are animals 
(c) Some businessman are dishonest 
(d) All men are mortal

Correct Answer is Option (a).
According to both the characteristics of the hypothesis, (a) only satisfies the criteria because in case of being testable, intelligent person can be tested positively and in case of refutation also it can be shown that all the persons, having sound memory are not intelligent. While hypothesis (d) neither is testable nor is refutable due to its universal truthness, the hypothesis (b) can not be refuted because no bird can be claimed non-animal. In case of hypothesis (c), it is testable but not refutable.


Question 22: In an accurate clock, in a period of 2 hours 20 minutes (140 minutes), the minute hand will move over    [1996]
(a) 520° 
(b) 320° 
(c) 840° 
(d) 140°

Correct Answer is Option (c).
The minute hand move over in 60 minutes = 360°
So, angle made by minute hand in a minute = 360°/60= 6°
So, in a period of 2 hours 20 minutes the minute hand will move over = 6 × 140° = 840°


Question 23: Examine the following statements: 

  1. George attends Music classes on Monday 
  2. He attends Mathematics classes on Wednesday 
  3. His Literature classes are not on Friday 
  4. He attends History classes on the day following  the day of his Mathematics classes
  5. On Tuesday he attends his Sports classes.

If he attends just one subject in a day and his Sunday is free, then he is also free on     [1996, 2014-II]
(a) Monday 
(b) Thursday 
(c) Saturday 
(d) Friday

Correct Answer is Option (d).
Mental Ability, Analytical & Logical Reasoning- Solved Questions(1995-2020)- 8 - UPSC

Friday cannot have literature classes, so it must be on Saturday as Sunday is free. Only remaining day to be free is Friday, so Friday is free.


Question 24: Mouse is to cat as fly is to :     [1996]
(a) rat 
(b) animal 
(c) spider 
(d) horse

Correct Answer is Option (c).
Cat eats mouse, similarly spider eats flies.


Question 25: The next pair of letters in the series AZ, CX, FU.............. is    [1996]
(a) JQ 
(b) KP 
(c) IR 
(d) IV

Correct Answer is Option (a).
First letter in each pair increases by 2, 3, 4, while the second letter decreases by 2, 3, 4 ....... respectively. So 4 letters after F is J and before U is Q. Hence, next letter is JQ.
Mental Ability, Analytical & Logical Reasoning- Solved Questions(1995-2020)- 8 - UPSC


Question 26: In the given figure, the triangle represents girls, the square represents sports persons and the circle represents coaches. The portion in the figure which represents girls who are sports persons but not coaches is the one labelled, as    [1996]
Mental Ability, Analytical & Logical Reasoning- Solved Questions(1995-2020)- 8 - UPSC
(a) A
(b) B
(c) D
(d) E

Correct Answer is Option (b).
It is the common area between the triangle and the square, but excluding the circle, i.e., B.


Question 27: Which one of the following Venn diagrams correctly illustrates the relationship among the classes: Carrot, Food, Vegetable?    [1996]
(a) Mental Ability, Analytical & Logical Reasoning- Solved Questions(1995-2020)- 8 - UPSC
(b) Mental Ability, Analytical & Logical Reasoning- Solved Questions(1995-2020)- 8 - UPSC
(c) Mental Ability, Analytical & Logical Reasoning- Solved Questions(1995-2020)- 8 - UPSC
(d) Mental Ability, Analytical & Logical Reasoning- Solved Questions(1995-2020)- 8 - UPSC

Correct Answer is Option (a).
Both carrot and vegetable come under the food category, while carrot comes under vegetable category.


Question 28: Six roads lead to a country. They may be indicated by letters X, Y, Z and digits 1, 2, 3. When there is storm, Y is blocked.
When there are floods X, 1 and 2 will be affected. When road 1 is blocked,  Z also is blocked. At a time when there are floods and a storm also blows, which road(s) can be used ?    [1996]
(a) Z and 2
(b) Only Z
(c) Only 3
(d) Only Y

Correct Answer is Option (c).
Y is blocked for storms. For floods X, 1 and 2 are blocked and Z is blocked, whenever 1 is blocked. So, for floods and storms, only unblocked road left is 3.


Question 29: Which of the following can be inferred from the statement that "Either John is stupid or John is lazy" ?    [1995]   

  1. John is lazy/therefore, John is not stupid 
  2. John is not lazy/therefore, John is stupid 
  3. John is not stupid/therefore, John is lazy
  4. John is stupid/therefore, John is not lazy

Codes:
(a) 1 and 2 
(b) 2 and 3 
(c) 3 and 4 
(d) 1 and 4

Correct Answer is Option (b).
According to the given statement “Either John is stupid or John is lazy”, it can be inferred that John can not be stupid and lazy simultaneously. In the light of this inference one can conclude that only statements (2) and (3) can be right while statements (1) and (4) depicts the opposite of inferred.


Question 30: Examine the following statements :    

  1. All children are inquisitive
  2. Some children are inquisitive
  3. No children are inquisitive 
  4. Some children are not inquisitive

Among these statements the two statements which cannot both be true simultaneously but can both be false, would be    [1995]
(a) I and III 
(b) I and IV 
(c) II and III 
(d) III and IV

Correct Answer is Option (a).
As I and III contradict and are opposite to each other. So they cannot be true simultaneously.
Mental Ability, Analytical & Logical Reasoning- Solved Questions(1995-2020)- 8 - UPSC Mental Ability, Analytical & Logical Reasoning- Solved Questions(1995-2020)- 8 - UPSC

The document Mental Ability, Analytical & Logical Reasoning- Solved Questions(1995-2020)- 8 - UPSC is a part of UPSC category.
All you need of UPSC at this link: UPSC
Download as PDF

Top Courses for UPSC

Related Searches

Exam

,

Mental Ability

,

Important questions

,

Semester Notes

,

past year papers

,

ppt

,

Objective type Questions

,

practice quizzes

,

Viva Questions

,

Sample Paper

,

Mental Ability

,

Extra Questions

,

shortcuts and tricks

,

Mental Ability

,

video lectures

,

pdf

,

mock tests for examination

,

Summary

,

Analytical & Logical Reasoning- Solved Questions(1995-2020)- 8 - UPSC

,

Free

,

MCQs

,

Analytical & Logical Reasoning- Solved Questions(1995-2020)- 8 - UPSC

,

Previous Year Questions with Solutions

,

Analytical & Logical Reasoning- Solved Questions(1995-2020)- 8 - UPSC

,

study material

;