Class 10 Exam  >  Class 10 Notes  >  Science Class 10  >  NCERT Solutions: Electricity

NCERT Solutions for Class 10 Science Chapter 11 - Electricity

Page No. 172

Q1: What does an electric circuit mean?
Ans: A continuous and closed path of an electric current is called an electric circuit. An electric circuit consists of electric devices, source of electricity and wires that are connected with the help of a switch.

Q2: Define the unit of current.
Ans: The unit of electric current is ampere(A). 1 A is defined as the flow of 1 C of charge through a wire in 1 s.

Q3: Calculate the number of electrons constituting one coulomb of charge.
Ans: One electron possesses a charge of 1.6 ×10-19C, i.e., 1.6 ×10-19C of charge is contained in 1 electron.
∴ 1 C of charge is contained in NCERT Solutions for Class 10 Science Chapter 11 - Electricity
 Therefore, 6 x 1018 electrons constitute one coulomb of charge.

Page No. 174

Q1: Name a device that helps to maintain a potential difference across a conductor.
Ans: Any source of electricity like a battery, cell, power supply, etc. helps to maintain a potential difference across a conductor.NCERT Solutions for Class 10 Science Chapter 11 - ElectricitySimple Battery CircuitQ2: What is meant by saying that the potential difference between two points is 1 V?
Ans: If 1 J of work is required to move a charge of amount 1 C from one point to another, then it is said that the potential difference between the two points is 1 V.

Q3: How much energy is given to each coulomb of charge passing through a 6V battery?
Ans: The energy given to each coulomb of charge is equal to the amount of work which is done in moving it.
Now we know that,
Potential difference = NCERT Solutions for Class 10 Science Chapter 11 - Electricity
∴ Work done = Potential difference × charge
Where, Charge = 1 C and Potential difference = 6 V
∴ Work done = 6×1
= 6 Joule.

Page No. 181

Q1: On what factors does the resistance of a conductor depend?
Ans: The resistance of a conductor depends upon the following factors:
(a) Length of the conductor
(b) Cross-sectional area of the conductor
(c) Material of the conductor
(d) Temperature of the conductor

NCERT Solutions for Class 10 Science Chapter 11 - Electricity
Q2: Will current flow more easily through a thick wire or a thin wire of the same material, when connected to the same source? Why?
Ans:
Resistance of a wire, NCERT Solutions for Class 10 Science Chapter 11 - Electricity
Where,
ρ = Resistivity of the material of the wire
l = Length of the wire
A = Area of cross-section of the wire
Resistance is inversely proportional to the area of cross-section of the wire.
Thicker the wire, lower is the resistance of the wire and vice-versa. Therefore, current can flow more easily through a thick wire than a thin wire.

Q3: Let the resistance of an electrical component remains constant while the potential difference across the two ends of the component decreases to half of its former value. What change will occur in the current through it?
Ans: 
According to Ohm’s law
V = IR
I= V/R  ... (1)
Now Potential difference is decreased to half
∴ New potential difference Vʹ=V/2
Resistance remains constant
So the new current NCERT Solutions for Class 10 Science Chapter 11 - Electricity
Therefore, the amount of current flowing through the electrical component is reduced by half.

Q4: Why are coils of electric toasters and electric irons made of an alloy rather than a pure metal?
Ans: The resistivity of an alloy is higher than the pure metal. Moreover, at high temperatures, the alloys do not melt readily. Hence, the coils of heating appliances such as electric toasters and electric irons are made of an alloy rather than a pure metal.

Q5: Use the data in Table 12.2 to answer the following
Table 12.2 Electrical resistivity of some substances at 20°C

-

Material

Resistivity (Ω m)

Conductors

Silver

1.60 x 10-8


Copper

1.62 x 10-8


Aluminium

2.63 x 10-8


Tungsten

5.20 x 10-8


Nickel

6.84 x 10-8


Iron

10.0 x 10-8


Chromium

12.9 x 10-8


Mercury

94.0 x 10-8


Manganese

1.84 x 10-6


Constantan (alloy of Cu and Ni)

49 x 10-6

Alloys

Manganin

(alloy of Cu, Mn and Ni}

44 x 10-6

Nichronie

(alloy of Ni, Cr, Mn and Fe)

100 x 10-6

Glass

1010 - 1014

Insulators

Hard rubber

1013 - 1016

Ebonite

Diamond

1015 - 1017

1012 - 1013

Paper (dry)

1012

Ans:
(a) Resistivity of iron = 10.0 x 10-8 Ω
Resistivity of mercury = 94.0 x 10-8 Ω
Resistivity of mercury is more than that of iron. This implies that iron is a better conductor than mercury.
(b) It can be observed from Table 12.2 that the resistivity of silver is the lowest among the listed materials. Hence, it is the best conductor.

Page No. 185

Q1: Draw a schematic diagram of a circuit consisting of a battery of three cells of 2 V each, a 5 Ω resistor, an 8 Ω resistor, and a 12 Ω resistor, and a plug key, all connected in series.
Ans: Three cells of potential 2 V, each connected in series, therefore, the potential difference of the battery will be 2 V + 2 V + 2 V = 6V. The following circuit diagram shows three resistors of resistances 5 Ω, 8 Ω and 12 Ω respectively connected in series and a battery of potential 6 V and a plug key which is closed means the current is flowing in the circuit.


NCERT Solutions for Class 10 Science Chapter 11 - Electricity


Q2: Redraw the circuit of question 1, putting in an ammeter to measure the current through the resistors and a voltmeter to measure the potential difference across the 12 Ω resistor. What would be the readings in the ammeter and the voltmeter?
Ans: An ammeter should be connected in the circuit in series with the resistors. To measure the potential difference across the resistor it should be connected in parallel, as shown in the following figure.

NCERT Solutions for Class 10 Science Chapter 11 - Electricity
The resistances are connected in series.
Ohm’s law can be used to obtain the readings of ammeter and voltmeter. According to Ohm’s law,
V = IR,
Where, Potential difference, V = 6 V
Current flowing through the circuit/resistors = I
Resistance of the circuit, R = 5 + 8 + 12 = 25Ω
I = V/R = 6/25 = 0.24 A
Potential difference across 12 Ω resistor = V1
Current flowing through the 12 Ω resistor, I = 0.24 A
Therefore, using Ohm’s law, we obtain
V1 = IR = 0.24 x 12 = 2.88 V
Therefore, the reading of the ammeter will be 0.24 A.
The reading of the voltmeter will be 2.88 V.

Page No. 188

Q1: Judge the equivalent resistance when the following are connected in parallel − (a) 1 Ω and 106Ω, 
(b) 1 Ω and 103Ω and 106Ω.
Ans: (a) When 1 Ω and 106 Ω are connected in parallel: Let R be the equivalent resistance.

NCERT Solutions for Class 10 Science Chapter 11 - Electricity
Therefore, equivalent resistance ≈ 1 Ω

(b) When 1Ω, 103 Ω and 106 Ω are connected in parallel:
 Let R be the equivalent resistance.

NCERT Solutions for Class 10 Science Chapter 11 - Electricity
Therefore, equivalent resistance = 0.999 Ω

Q2: An electric lamp of 100 Ω, a toaster of resistance 50 Ω, and a water filter of resistance 500 Ω are connected in parallel to a 220 V source. What is the resistance of an electric iron connected to the same source that takes as much current as all three appliances, and what is the current through it?
Ans:
Resistance of electric lamp, R1 = 100 Ω
Resistance of toaster, R2 = 50 Ω
Resistance of water filter, R3 = 500 Ω
Potential difference of the source, V = 220 V
These are connected in parallel, as shown in the following figure.

NCERT Solutions for Class 10 Science Chapter 11 - Electricity
Let R be the equivalent resistance of the circuit.
NCERT Solutions for Class 10 Science Chapter 11 - Electricity

7.04 A of current is drawn by all the three given appliances.
Therefore, current drawn by an electric iron connected to the same source of potential 220 V= 7,04 A
Let R' be the resistance of the electric iron. According to Ohm's law,
V= IR'
NCERT Solutions for Class 10 Science Chapter 11 - Electricity

Therefore, the resistance of the electric iron is 31.25 Ω and the current flowing through it is 7.04 A,

Q3: What are the advantages of connecting electrical devices in parallel with the battery instead of connecting them in series?
Ans: Advantages of connecting electrical devices in parallel:
(i) When the appliances are connected in parallel with the battery, each appliance gets the same potential difference as that of battery which is not possible in series connection.
(ii) Each appliance has different resistances and requires different currents to operate properly. This is possible only in parallel connection, as in series connection, the same current flows through all devices, irrespective of their resistances.
(iii) If one appliance fails to work, others will continue to work properly. If they are connected in parallel.

Q4: How can three resistors of resistances 2Ω, 3Ω and 6Ω be connected to give a total resistance of (a) 4Ω, (b) 1Ω?
Ans: 
There are three resistors of resistances 2Ω, 3Ω, and 6Ω respectively.
(a) The following circuit diagram shows the connection of the three resistors.

NCERT Solutions for Class 10 Science Chapter 11 - Electricity

Here, 6 Ω and 3 Ω resistors are connected in parallel.
Therefore, their equivalent resistance will be given by

NCERT Solutions for Class 10 Science Chapter 11 - Electricity
This equivalent resistor of resistance 2 Ω is connected to a 2 Ω resistor in series.
Therefore, the equivalent resistance of the circuit = 2 Ω + 2 Ω = 4 Ω
Hence the total resistance of the circuit is 4 Ω.
(b) The following circuit diagram shows the connection of the three resistors.

NCERT Solutions for Class 10 Science Chapter 11 - Electricity
All the resistors are connected in series.
Therefore, their equivalent resistance will be given as

NCERT Solutions for Class 10 Science Chapter 11 - Electricity
 Therefore, the total resistance of the circuit is 1 Ω.


Q5: What is (a) the highest, (b) the lowest total resistance that can be secured by combinations of four coils of resistance 4 Ω, 8 Ω, 12 Ω, 24 Ω?
Ans:
There are four coils of resistances 4 Ω, 8 Ω, 12 Ω and 24 Ω respectively.
(a) If these coils are connected in series, then the equivalent resistance will be the highest, given by the sum 4 + 8 + 12 + 24 = 48 Ω

(b) If these coils are connected in parallel, then the equivalent resistance will be the lowest, given by


NCERT Solutions for Class 10 Science Chapter 11 - Electricity

Therefore, 2 Ω is the lowest total resistance.

Page No. 190

Q1: Why does the cord of an electric heater not glow while the heating element does?
Ans: The cord of an electric heater is made up of metallic wire such as copper or aluminium which has low resistance while the heating element is made up of an alloy which has more resistance than its constituent metals. Also, heat produced ‘H’ is
H = I2Rt
Thus, for the same current H ∝ R, more heat is produced by heating element as it has more resistance, and it glows.

Q2: Compute the heat generated while transferring 96000 coulombs of charge in one hour through a potential difference of 50 V.
Ans:
Given Charge, Q = 96000C
Time, t= 1hr = 60 x 60= 3600s
Potential difference, V= 50volts
Now we know that H= VIt
So we have to calculate I first
As I= Q/t
∴ I = 96000/3600 = 80/3 A
NCERT Solutions for Class 10 Science Chapter 11 - Electricity
 Therefore, the heat generated is 4.8 x 106 J.

Q3: An electric iron of resistance 20Ω takes a current of 5 A. Calculate the heat developed in 30s.
Ans:
The amount of heat (H) produced is given by the joule's law of heating as H= Vlt
Where,
Current, I = 5 A
Time, t = 30 s
Voltage, V = Current x Resistance = 5 x 20 = 100 V
H= 100 x 5 x 30 = 1.5 x 104 J.
Therefore, the amount of heat developed in the electric iron is 1.5 x 104 J.

Page No. 192

Q1: What determines the rate at which energy is delivered by a current?
Ans: The rate of consumption of electric energy in an electric appliance is called electric power. Hence, the rate at which energy is delivered by a current is the power of the appliance.

Q2: An electric motor takes 5 A from a 220 V line. Determine the power of the motor and the energy consumed in 2 h.
Ans:
Power (P) is given by the expression,P = VI
Where,
Voltage,V = 220 V
Current, I = 5 A
P= 220 x 5 = 1100 W
Energy consumed by the motor = Pt
Where,
Time, t = 2 h = 2 x 60 x 60 = 7200 s
∴ P = 1100 x 7200 = 7.92 x 106 J
Therefore, power of the motor = 1100 W
Energy consumed by the motor = 7.92 x 106 J

Page No. 193

Exercises

Q1: A piece of wire of resistance R is cut into five equal parts. These parts are then connected in parallel. If the equivalent resistance of this combination is R', then the ratio R/R' is -
(a) 1/25
(b) 1/5
(c) 5
(d) 25
Ans: (d) Resistance of a piece of wire is proportional to its length. A piece of wire has a resistance R. The wire is cut into five equal parts.

Therefore, resistance of each part = (R/5)

All the five parts are connected in parallel. Hence, equivalent resistance (R’) is given as

NCERT Solutions for Class 10 Science Chapter 11 - Electricity

Q2: Which of the following terms does not represent electrical power in a circuit?
(a) I2R
(b) IR2
(c) VI
(d) V2/R
Ans: (b)

(b) Electrical power is given by the expression, P = VI … (i)
According to Ohm’s law, V = IR … (ii)
Where,
V = Potential difference
I = Current
R = Resistance
NCERT Solutions for Class 10 Science Chapter 11 - Electricity
From equation (i), it can be written
P = (IR) × I
NCERT Solutions for Class 10 Science Chapter 11 - Electricity
From equation (ii), it can be written
NCERT Solutions for Class 10 Science Chapter 11 - Electricity

Q3: An electric bulb is rated 220 V and 100 W. When it is operated on 110 V, the power consumed will be -

(a) 100 W
(b) 75 W
(c) 50 W
(d) 25 W
Ans : (d) Energy consumed by an appliance is given by the expression,

NCERT Solutions for Class 10 Science Chapter 11 - Electricity

Where,
Power rating, P = 100 W
Voltage, V = 220V

Resistance, NCERT Solutions for Class 10 Science Chapter 11 - Electricity

The resistance of the bulb remains constant if the supply voltage is reduced to 110 V. If the bulb is operated on 110 V, then the energy consumed by it is given by the expression for power as

NCERT Solutions for Class 10 Science Chapter 11 - Electricity

Therefore, the power consumed will be 25 W.

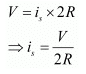
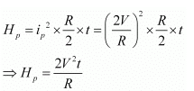
Q4: Two conducting wires of the same material and of equal lengths and equal diameters are first connected in series and then parallel in a circuit across the same potential difference. The ratio of heat produced in series and parallel combinations would be -
 (a) 1:2
 (b) 2:1
 (c) 1:4
 (d) 4:1

Ans:
(c) The Joule heating is given by, H = i2Rt

Let, R be the resistance of the two wires.

The equivalent resistance of the series connection is RS = R + R = 2R

If V is the applied potential difference, then it is the voltage across the equivalent resistance.

NCERT Solutions for Class 10 Science Chapter 11 - Electricity

The heat dissipated in time f is,

NCERT Solutions for Class 10 Science Chapter 11 - Electricity

The equivalent resistance of the parallel connection is NCERT Solutions for Class 10 Science Chapter 11 - Electricity

y is the applied potential difference across this Rp.

NCERT Solutions for Class 10 Science Chapter 11 - Electricity

The heat dissipated in time f is,

NCERT Solutions for Class 10 Science Chapter 11 - Electricity

So; the ratio of heat produced is,

NCERT Solutions for Class 10 Science Chapter 11 - Electricity
Note: H R also H i2 and H ∝ t. In this question, f is same for both the circuit. But the current through the equivalent resistance of both the circuit is different. We could have solved the question directly using H α R if in case the current was also same. As we know the voltage and resistance of the circuits, we have calculated I in terms of voltage and resistance and used in the equation H = I2Rt to find the ratio.

Q5: How is a voltmeter connected in the circuit to measure the potential difference between two points?
Ans: To measure the potential difference between two points, a voltmeter should be connected in parallel to the points.

Q6: A copper wire has a diameter 0.5 mm and resistivity of 1.6 × 10−8 Ω m. What will be the length of this wire to make its resistance 10 Ω? How much does the resistance change if the diameter is doubled?
Ans: 
Area of cross-section of the wire, A =π (d/2)2
Diameter= 0.5 mm = 0.0005 m
Resistance, R = 10 Ω
We know that
NCERT Solutions for Class 10 Science Chapter 11 - Electricity

if the diameter of the wire is doubled , new diameter = 2 x 0.5=1 mm = 0.001 m

let new Resistance be R´

NCERT Solutions for Class 10 Science Chapter 11 - Electricity
 Therefore, the length of the wire is 122.7 m and the new resistance is 2.5 Ω.


Q7: The values of current I flowing in a given resistor for the corresponding values of potential difference V across the resistor are given below −

/ (amperes)

0.5

1.0

2,0

3.0

4.0

V (volts)

1.6

3.4

6.7

10.2

13.2

Ans: Plot a graph between V and I and calculate the resistance of that resistor. The plot between voltage and current is called IV characteristic. The voltage is plotted on x-axis and current is plotted on y-axis. The values of the current for different values of the voltage are shown in the given table.

V (volts)

1.6

3.4

6.7

10.2

13.2

/ (amperes)

0.5

1.0

2.0

3.0

4.0

The IV characteristic of the given resistor is plotted in the following figure.

NCERT Solutions for Class 10 Science Chapter 11 - Electricity
The slope of the line gives the value of resistance (R) as,
NCERT Solutions for Class 10 Science Chapter 11 - Electricity
 Therefore, the resistance of the resistor is 3.4 Ω.


Q8: When a 12 V battery is connected across an unknown resistor, there is a current of 2.5 mA in the circuit. Find the value of the resistance of the resistor.
Ans:

Resistance (R) of a resistor is given by Ohm's law as, V= IR R= V/I

Where,

Potential difference, V= 12 V

Current in the circuit, I= 2.5 mA = 2.5 x 10-3 A

NCERT Solutions for Class 10 Science Chapter 11 - Electricity
Therefore,

the resistance of the resistor is 4.8 kΩ

Q9:  A battery of 9 V is connected in series with resistors of 0.2 Ω, 0.3 Ω, 0.4 Ω, 0.5 Ω and 12 Ω, respectively. How much current would flow through the 12 Ω resistor?
Ans:
There is no current division occurring in a series circuit. Current flow through the component is the same, given by Ohm’s law as

V= IR
(I = (V/ R))
Where,
 R is the equivalent resistance of resistances 0.2 Ω, 0.3 Ω, 0.4 Ω, 0.5 Ω and 12 Ω. These are connected in series. Hence, the sum of the resistances will give the value of R.
 R= 0.2 + 0.3 + 0.4 + 0.5 + 12 = 13.4 Ω
 Potential difference, V= 9 V

(I = { 9/13.4 })= 0.671 A

Therefore, the current that would flow through the 12 Ω resistor is 0.671 A.

Q10: How many 176 Ω resistors (in parallel) are required to carry 5 A on a 220 V line?
Ans:
For x number of resistors of resistance 176 Ω, the equivalent resistance of the resistors connected in parallel is given by Ohm's law asV= IR
(R = V/I))
Where,
Supply voltage, V= 220 V

Current, I = 5 A Equivalent resistance of the combination = R,given as
NCERT Solutions for Class 10 Science Chapter 11 - Electricity
Therefore, four resistors of 176 Ω are required to draw the given amount of current.


Q11: Show how you would connect three resistors, each of resistance 6 Ω so that the combination has a resistance of (i) 9 Ω, (ii) 4 Ω.
Ans: (i) When two 6 Ω resistances are in parallel and the third is in combination with this, the equivalent resistance will be 9Ω.
NCERT Solutions for Class 10 Science Chapter 11 - Electricity
(if) When two 6 Ω resistances are in series and the third is in parallel to them, then it will be 4 Ω.
NCERT Solutions for Class 10 Science Chapter 11 - Electricity

Q12: Several electric bulbs designed to be used on a 220 V electric supply line, are rated 10 W. How many lamps can be connected in parallel with each other across the two wires of 220 V line if the maximum allowable current is 5 A?
Ans: Resistance R1 of the bulb is given by the expression,
Supply voltage, V = 220 V
Maximum allowable current, I = 5 A
Rating of an electric bulb P=10watts

Because of R=V2/P
NCERT Solutions for Class 10 Science Chapter 11 - Electricity

According to ohm's law

V=IR

Let R is the Total Resistance of the circuit for x number of electric bulbs

NCERT Solutions for Class 10 Science Chapter 11 - Electricity

Resistance of each electric bulb, R1 = 4840 Ω

NCERT Solutions for Class 10 Science Chapter 11 - Electricity

∴ Number of electric bulbs connected in parallel is 110.

Q13: A hot plate of an electric oven connected to a 220 V line has two resistance coils A and B, each of 24 Ω resistances, which may be used separately, in series, or in parallel. What are the currents in the three cases?
Ans:
Supply voltage, V= 220 V
Resistance of one coil, R= 24 Ω
(i) Coils are used separately
According to Ohm's law,

V= I1R1 Where,
I1 is the current flowing through the coil
I1 = V/R1 = 220/24 = 9.166 A

Therefore, 9.16 A current will flow through the coil when used separately.

(ii) Coils are connected in series
Total resistance, R2 = 24 Ω + 24 Ω = 48 Ω
According to Ohm's law,V = I2R2 Where,
I2 is the current flowing through the series circuit
 I2 = V/R2 = 220/48 = 4.58 A

Therefore, 4.58 A current will flow through the circuit when the coils are connected in series.

(iii) Coils are connected in parallel
Total resistance, R3 is given as =

NCERT Solutions for Class 10 Science Chapter 11 - Electricity
According to Ohm's law,
V= I3R3

Where,
I3 is the current flowing through the circuit I3 = V/R3 = 220/12 = 18.33 A
Therefore, 18.33
A current will flow through the circuit when coils are connected in parallel.

Q14: Compare the power used in the 2 Ω resistor in each of the following circuits:
(i) a 6 V battery in series with 1 Ω and 2 Ω resistors, and
(ii) a 4 V battery in parallel with 12 Ω and 2 Ω resistors.
Ans:
(i) Potential difference, V = 6 V
1 Ω and 2 Ω resistors are connected in series. Therefore, equivalent resistance of the circuit, R = 1 + 2 = 3 Ω According to Ohm’s law,

V = IR Where,
I is the current through the circuit
I= 6/3 = 2 A
This current will flow through each component of the circuit because there is no division of current in series circuits. Hence, current flowing through the 2 Ω resistor is 2 A.
Power is given by the expression,
P= (I)2R = (2)2 x 2 = 8 W
(ii) Potential difference, V = 4 V 12 Ω and 2 Ω resistors are connected in parallel. The voltage across each component of a parallel circuit remains the same.
Hence, the voltage across 2 Ω resistor will be 4 V.
Power consumed by 2 Ω resistor is given by P= V2/R = 42/2 = 8 W
Therefore, the power used by 2 Ω resistor is 8 W.

Page No. 194 

Exercises

Q15: Two lamps, one rated 100 W at 220 V, and the other 60 W at 220 V, are connected in parallel to electric mains supply. What current is drawn from the line if the supply voltage is 220 V?
Ans:
Both the bulbs are connected in parallel. Therefore, potential difference across each of them will be 220 V, because no division of voltage occurs in a parallel circuit.
Current drawn by the bulb of rating 100 W is given by,
Power = Voltage × Current 
(Current = (Power/ Voltage)=(100/ 220}A)
Similarly, current drawn by the bulb of rating 60 W is given by,
Power = Voltage × Current 
(Current = (Power/Voltage)={60/220}A)
Hence, current drawn from the line NCERT Solutions for Class 10 Science Chapter 11 - Electricity 

Q16: Which uses more energy, a 250 W TV set in 1 hr, or a 1200 W toaster in 10 minutes?
Ans:
Energy consumed by an electrical appliance is given by the expression, H= Pt
Where,
Power of the appliance = P
Time = t
Energy consumed by a TV set of power 250 W in 1 h = 250 ×3600 = 9 ×105 J
Energy consumed by a toaster of power 1200 W in 10 minutes = 1200 ×600
Energy consumed by a toaster of power 1200 W in 10 minutes = 1200 ×600 = 7.2×105 J
Therefore, the energy consumed by a 250 W TV set in 1 h is more than the energy consumed by a toaster of power 1200 W in 10 minutes.

Q17: An electric heater of resistance 8 Ω draws 15 A from the service mains 2 hours. Calculate the rate at which heat is developed in the heater.
Ans:
Rate of heat produced by a device is given by the expression for power as, P= I2R Where, Resistance of the electric heater, R= 8 Ω Current drawn, I = 15 A
P= (15)2 x 8 = 1800 J/s
Therefore, heat is produced by the heater at the rate of 1800 J/s.


Q18: Explain the following.
(a) Why is tungsten used almost exclusively for filament of electric lamps?
(b) Why are the conductors of electric heating devices, such as bread-toasters and electric irons, made of an alloy rather than a pure metal?
(c) Why is the series arrangement not used for domestic circuits?
(d) How does the resistance of a wire vary with its area of cross-section?
(e) Why are copper and aluminium wires usually employed for electricity transmission?
Ans:
(a) Tungsten is a metal that has a high melting point and is resistant to heat, making it ideal for use in electric lamps where the filament needs to be heated to produce light. The filament is the part of the lamp that gets hot and produces light when an electric current is passed through it.
(b) The conductors of electric heating devices such as bread toasters and electric irons are made of alloy because resistivity of an alloy is more than that of metals which produces large amount of heat.
(c) In series circuits voltage is divided. Each component of a series circuit receives a small voltage so the amount of current decreases and the device becomes hot and does not work properly. Hence, series arrangement is not used in domestic circuits.
(d) Resistance (R) of a wire is inversely proportional to its area of cross-section (A), i.e.

NCERT Solutions for Class 10 Science Chapter 11 - Electricity
(e) Copper and aluminium are good conductors of electricity also they have low resistivity. So they are usually used for electricity transmission.

The document NCERT Solutions for Class 10 Science Chapter 11 - Electricity is a part of the Class 10 Course Science Class 10.
All you need of Class 10 at this link: Class 10
80 videos|569 docs|80 tests

FAQs on NCERT Solutions for Class 10 Science Chapter 11 - Electricity

1. What is electricity?
Ans. Electricity is a form of energy that results from the movement of charged particles, such as electrons or ions. It can be generated by various sources like fossil fuels, nuclear reactions, wind, water, and solar energy. It plays a crucial role in our daily lives and is used for lighting, heating, cooling, communication, transportation, and many other purposes.
2. What is an electric circuit?
Ans. An electric circuit is a closed path through which electricity can flow. It consists of a power source, wires, and various components such as switches, resistors, capacitors, and LEDs. The flow of electric current in a circuit depends on the voltage, resistance, and capacitance of the components. A circuit can be either series, parallel, or a combination of both.
3. What is Ohm's law?
Ans. Ohm's law states that the current flowing through a conductor is directly proportional to the voltage applied across it and inversely proportional to its resistance. Mathematically, I = V/R, where I is the current in amperes, V is the voltage in volts, and R is the resistance in ohms. Ohm's law is a fundamental principle of electricity and is widely used in circuit analysis and design.
4. What is electrical power?
Ans. Electrical power is the rate at which electrical energy is transferred or consumed by a device or a circuit. It is measured in watts (W) and is calculated as the product of voltage and current, P = VI. Electrical power is important in determining the efficiency and performance of electrical devices and is used in the design and rating of power systems.
5. What are the safety precautions to be taken while working with electricity?
Ans. Working with electricity can be dangerous and requires proper safety precautions to be taken. Some of the important safety measures include using insulated tools and gloves, wearing protective clothing, working on de-energized circuits, using lockout-tagout procedures, avoiding contact with water or wet surfaces, and following the guidelines and regulations set by the local authorities. It is also important to receive proper training and to be aware of the potential hazards and risks involved in electrical work.
Related Searches

shortcuts and tricks

,

pdf

,

NCERT Solutions for Class 10 Science Chapter 11 - Electricity

,

past year papers

,

Objective type Questions

,

NCERT Solutions for Class 10 Science Chapter 11 - Electricity

,

NCERT Solutions for Class 10 Science Chapter 11 - Electricity

,

Previous Year Questions with Solutions

,

Free

,

Summary

,

Extra Questions

,

Important questions

,

study material

,

Sample Paper

,

ppt

,

MCQs

,

Semester Notes

,

Exam

,

practice quizzes

,

Viva Questions

,

mock tests for examination

,

video lectures

;