| Table of contents | |
| Settling time | |
| Worked example |
In this chapter we discuss the time-domain specifications of a second-order system. The figure below shows the unit step response of a typical under-damped second-order system and indicates the principal time-domain quantities. The response from t = 0 up to the settling time is called the transient response; the response after the settling time is the steady-state response.

Delay time is the time required for the step response to reach half of its final value for the first time. It is denoted by td.
Consider the under-damped step response for t ≥ 0. A schematic of this case is shown below; the final value of the unit step response is unity.

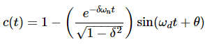
At t = td the response c(t) = 0.5. Substitute this condition into the analytical expression of the step response and solve for td. The intermediate equations used in this substitution are shown below.


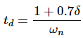
Using a linear approximation (expansion about the origin) to simplify the transcendental equation gives an expression for the delay time. The linearised result is presented in the figure below.

Remarks:
Rise time tr is the time required for the response to rise from 0% to 100% of its final value for under-damped systems. For over-damped systems, it is common to use the interval from 10% to 90% of the final value. The rise time applies to the first crossing of the final value for under-damped systems.
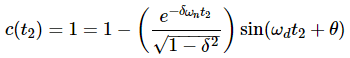
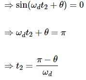
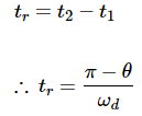
For an under-damped second-order system the unit step response reaches the final value for the first time at t = t2, and c(0) = 0 at t = t1 = 0. Substitute these boundary values in the step response expression and simplify to obtain the rise time relation. The intermediate expressions are shown below.




Using the definitions of the damped frequency and phase angle, substitute t1 and t2 into the formula for rise time.

From the resulting relation one concludes that the rise time tr is inversely proportional to the damped frequency ωd. A commonly used compact expression for the 0-100% rise time of an under-damped second-order system is
tr ≈ (π - φ) / ωd, where φ = cos-1 ζ and ζ is the damping ratio.
Peak time is the time required for the response to reach its first peak (maximum) value. It is denoted by tp. At t = tp the first derivative of the response is zero.
The under-damped unit step response may be written in the standard form below.

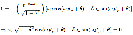
Differentiate c(t) with respect to t and set the derivative equal to zero to find the time of the first maximum.

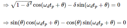
Substitute the condition t = tp and use trigonometric identities to simplify; the algebraic steps are shown in the following images.





From the simplified relation one obtains the standard closed-form formula for the peak time:
tp = π / ωd.
Thus the peak time is inversely proportional to the damped natural frequency ωd.
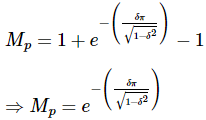
Peak overshoot Mp (also called maximum overshoot) is the amount by which the response exceeds the final steady-state value at the first peak. It is defined as
Mp = c(tp) - c(∞),
where c(tp) is the peak value of the response and c(∞) is the final (steady-state) value. For a unit step final value c(∞) = 1.
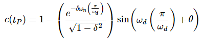
At t = tp the response has the form shown below.

Substitute the trigonometric values at tp and simplify as indicated in the figures below.



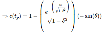
Using the relation between the phase angle and damping ratio,

we obtain the expression for c(tp) as follows.

Substitute c(tp) and c(∞) into the overshoot definition to get Mp. The intermediate step is shown below.

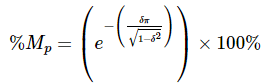
The percentage peak overshoot is

Carrying out the substitution and simplification yields the frequently used compact formula
%Mp = 100 · exp( - ζ π / √(1 - ζ²) ).
Thus the percentage overshoot decreases as the damping ratio ζ increases.

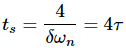
Settling time ts is the time required for the response to enter and remain within a specified tolerance band around the final value. Common tolerance bands are ±5% and ±2%.
The usual design approximations for a second-order under-damped system are


where τ is the time constant associated with the decaying exponential envelope and is given by

Two useful remarks:
Let us now find the time-domain specifications of a closed-loop control system whose transfer function is given by

Begin by writing the standard second-order transfer function form.

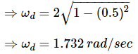
Equate the given closed-loop transfer function to the standard form to identify the undamped natural frequency and damping ratio. From this comparison we obtain
ωn = 2 rad/s and ζ = 0.5.
The damped natural frequency is

Substituting the identified ωn and ζ gives

Substitute the value of ζ in relations for other quantities as needed; an intermediate substitution is shown below.

Now substitute the numerical values into the standard formulae for each time-domain specification and simplify to obtain numerical results for this system. The substitution steps and final numerical values are summarised in the table below.

Final comments
This chapter covered the key time-domain specifications for the under-damped second-order system: delay time, rise time, peak time, peak overshoot and settling time. For each specification the definition, method of calculation and standard compact formula (where available) were presented. When exact closed-form algebraic solutions are not available (for example, for delay time) the response equation must be solved numerically or approximated using a linearisation around the origin. The provided worked example demonstrates how the standard relations are used to obtain numerical values for a given closed-loop transfer function.
53 videos|116 docs|40 tests |