Q1: The transfer function of a phase lead compensator is given by
The frequency (in rad/sec), at which ∠D(jω) is maximum, is (2019)
(a) 
(b) 
(c) 
(d) 
Ans: (b)
Sol:
Frequency at which ∠T(jω) is maximum,

Q2: The transfer function C(s) of a compensator is given below.
The frequency range in which the phase (lead) introduced by the compensator reaches the maximum is (SET-2(2017))
(a) 0.1 < ω < 1
(b) 1 < ω < 10
(c) 10 < ω < 100
(d) ω > 100
Ans: (a)
Sol: Pole zero diagram of compensator transfer function is shown below.
Maximum phase lead is between 0.1 and 1.
0.1 < ω < 1
Q3: For the network shown in the figure below, the frequency (in rad/s) at which the maximum phase lag occurs is, ___________. (SET-2(2016))
(a) 0.15
(b) 0.32
(c) 0.66
(d) 0.92
Ans: (b)
Sol: Assuming
We can write,




Q4: The transfer function of a compensator is given as
The phase of the above lead compensator is maximum at (2012)
(a) √2 rad/s
(b) √3 rad/s
(c) √6 rad/s
(d) 1/√3 rad/s
Ans: (a)
Sol: 
Q5: The transfer function of a compensator is given as
Gc(s) is a lead compensator if (2012)
(a) a = 1, b = 2
(b) a = 3, b = 2
(c) a =- 3, b =- 1
(d) a = 3, b = 1
Ans: (a)
Sol:
For Gc(s) to be a lead compensator
Option (A) Satisfies the above equation.
Q6: The transfer functions of two compensators are given below :
Which one of the following statements is correct ? (2008)
(a) C1 is a lead compensator and C2 is a lag compensator
(b) C1 is a lag compensator and C2 is a lead compensator
(c) Both C1 and C2 are lead compensator
(d) Both C1 and C2 are lag compensator
Ans: (a)
Sol:
Zero at s = -1
Pole at s = -10
As zero is closer origin, zero dominates pole. Hence C1 is lead compensator.
Zero at s = -10
Pole at s = -1
As pole is closer to origin, pole dominates zero. Hence C2 is lag compensator.
Q7: The system
is to be compensated such that its gain-crossover frequency becomes same as its uncompensated phase crossover frequency and provides a 45° phase margin. To achieve this, one may use (2007)
(a) a lag compensator that provides an attenuation of 20 dB and a phase lag of 45° at the frequency of 3 √3 rad/s
(b) a lead compensator that provides an amplification of 20 dB and a phase lead of 45° at the frequency of 3 rad/s
(c) a lag-lead compensator that provides an attenuation of 20 dB and phase lag of 45° at the frequency of √3 rad/s
(d) a lag-lead compensator that provides an attenuation of 20 dB and phase lead of 45° at the frequency of 3 rad/s
Ans: (d)
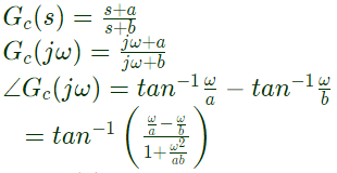
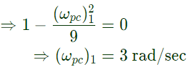
Sol: Let uncompensated syatem,
Phase crossover frequency of uncompensated system = (ωpc), at this frequency phase of T(jω) is −180°
Put s = jω in T(s)

Gain cross frequency of compensated system, (ωgc)2 = phase cross frequency of uncompensated system, (ωpc)1
phase angle of ∠T(jω) is −135° and phase of uncompensated systen is −180° at 3 rad/sec.
Therefore, the compensator provides phase lead of 45° at the frequency of 3 rad/sec.
Let X dB is the gain provided by the compensator, so at gain cross frequency, ∣T(jω)∣com=1 or 0 dB. Gain of uncompensated system 
Gain of compensated system,
So, the compensator provides an attenuation od 20dB. Hence option (D) is correct.
Q8: A lead compensator used for a closed loop controller has the following transfer function
For such a lead compensator (2003)
(a) a<b
(b) a>b
(c) a>Kb
(d) a<Kb
Ans: (a)
Sol: Transfer function
Zero of TF = -a
Pole of TF = -b
For a lead-compensator, the zero is nearer to origin as compared to pole, hence the effect of zero is dominant, therefore, the lead-compensator when introduced in series with forward path of the trnasfer function the phase shift is increased.
So, from pole-zero configuration of the compensator a < b.