|
|
Tanvi Rane answered |
|
|
Pankaj Mehta answered |
|
|
Ravi Singh answered |
|
|
Tanvi Rane answered |
|
|
Sanya Agarwal answered |
|
|
Pallavi Nair answered |
|
|
Pooja Patel answered |

|
|
Sanjana Chopra answered |

|
Cstoppers Instructors answered |




,|
|
Jyoti Basak answered |
|
|
Shail Nambiar answered |
|
|
Yashvi Shah answered |
resistor. The potential circuit is connected through an ideal half wave rectifier in series with 50Hz source of 100V. The inductance of pressure circuit and current coil resistance are negligible. The reading of wattmeter in watts is ______________. (Correct upto nearest integer)
|
Naroj Boda answered |


|
|
Ravi Singh answered |
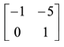
if
and trace of A is 2 then value of y is
|
Pioneer Academy answered |

|
|
Bhavana Reddy answered |

|
|
Ravi Singh answered |

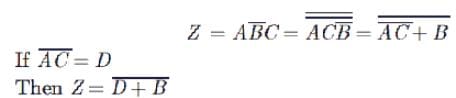
is to be implemented using NAND and NOR gate. Each gate has unit cost. Only A, B and C are available.
|
Naroj Boda answered |


. At no load, the motor draws 1.5 A from a supply voltage of 25 V and runs at 1,500 rpm. The efficiency of the motor (in percentage), while it operates on load at 1,500 rpm and draws a current of 3.5 A from the same source, will be (Answer up to the nearest integer)
|
Cstoppers Instructors answered |




|
Cstoppers Instructors answered |


|
|
Yash Patel answered |

|
Pioneer Academy answered |


|
|
Mansi Datta answered |
|
|
Ishani Iyer answered |
|
|
Pooja Patel answered |

|
|
Pooja Patel answered |


|
|
Maulik Chatterjee answered |
|
|
Mansi Choudhury answered |
|
|
Zoya Sharma answered |








|
|
Zoya Sharma answered |




|
|
Ravi Singh answered |





|
Pioneer Academy answered |


|
|
Zoya Sharma answered |
|
|
Zoya Sharma answered |


|
Uday Kumar answered |

|
|
Pooja Patel answered |




|
Pioneer Academy answered |

|
|
Pooja Patel answered |
9.5 km/h|
|
Divya Singh answered |
|
|
Shivam Ghosh answered |

|
Cstoppers Instructors answered |


|
|
Tarun Chawla answered |
|
|
Kunal Sharma answered |

|
Machine Experts answered |


|
Cstoppers Instructors answered |










|
Cstoppers Instructors answered |




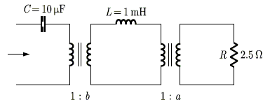
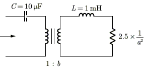
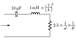
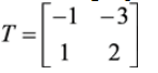
[For cascade connection abcd-parameters are multiplied]|
|
Srestha Kumar answered |
6 Months Preparation for GATE Electrical
675 videos|1390 docs|885 tests
|
